
Denna vägledning är ett stöd för dig som arbetar med prövning av små avloppsanläggningar i kommunal verksamhet. Den är även användbar för dig som arbetar med regional tillsynsvägledning på länsstyrelse.
Klicka på Skriv ut eller spara som PDF (eller CTRL+P/⌘+P) och använd webbläsarens utskriftsinställningar för att skriva ut eller spara vägledningen i PDF-format. Alternativet Spara som PDF brukar finnas under Destination eller Skrivare beroende på webbläsare.
Utskriftsversion: 2026-01-31
Vi har strukturerat vägledningen efter ansökningsprocessen för att den ska fungera som en uppslagsbok. Vår avsikt är att du här ska hitta vägledning i de frågor som du för tillfället söker svar på.
Detta är Havs- och vattenmyndighetens utvecklade vägledning för prövning av små avlopp med utgångspunkt från:
Vägledningen kompletterar HaV:s allmänna råd om små avlopp och ersätter Naturvårdsverkets Handbok 2008:3 ”Små avloppsanläggningar”
Vägledningen avser prövning av avloppsanläggningar som tar emot hushållsspillvatten, dimensionerade för 5-200 personer. Små avloppsanläggningar som är avsedda att rena vatten från verksamheter till exempel spillvatten från slakteri, bageri eller biltvätt omfattas inte av allmänna råd om små avloppsanläggningar (HVMFS 2016:17) eller denna vägledning.
Det varierande omfånget på texten i de olika avsnitten speglar inte frågornas angelägenhetsgrad. Prövning av en liten avloppsanläggning ska ske utifrån förutsättningarna i det enskilda fallet.
Vägledningen bygger på den rättspraxis som vuxit fram genom domar från mark- och miljööverdomstolen. Vägledningen är till skillnad från lagar, förordningar och föreskrifter inte juridiskt bindande, utan just vägledande.
Förhoppningen är att vägledningen bidrar till en enhetlig tillämpning av miljöbalken i landets kommuner. Syftet är både att öka samsynen vid prövning mellan handläggare inom en kommun och samsynen mellan kommuner. Den ökar också möjligheten till en rättssäker och effektiv handläggning.
Avloppsanläggningar som behandlar spillvatten från hushåll brukar delas in i:
HaV:s vägledning avser tillsyn och prövning av avloppsanläggningar i kategori 1, anläggningar dimensionerade för 1-200 personekvivalenter
Naturvårdsverket är den myndighet som vägleder om avloppsanläggningar med beteckningen B och C i 28 kap. miljöprövningsförordningen. Naturvårdsverket vägleder dessutom om:
Små avloppsanläggningar som är avsedda att rena vatten från verksamheter och där innehållet skiljer sig från hushållsspillvatten, till exempel spillvatten från ett slakteri, ett bageri eller en biltvätt omfattas därför inte av AR Små avlopp (HVMFS 2016:17) eller HaV:s vägledning.
Utgångspunkten är att vägledningarna ska vara tillämpbara för alla avloppsanläggningar som är dimensionerade för att behandla hushållsspillvatten för högst 200 pe. Anläggningar som är avsedda för fler än ett eller ett fåtal hushåll kan dock kräva ett utökat beslutsunderlag eller att de skyddsåtgärder som behöver vidtas kan vara mer omfattande än för en mindre anläggning. Exempel på detta är i ett prövningsärende utredning av grundvattennivåer och skyddsavstånd till dricksvattentäkter och i ett tillsynsärende behovet av kontroll när anläggningen är i drift.
HaV:s vägledning är inte avsedd att ge detaljerade riktlinjer om utformning av små avloppsanläggningar. Sedan Naturvårdsverkets allmänna råd om små avloppsanläggningar (NFS 2006:7) kom har vägledningen betonat anläggningarnas funktion istället för teknisk utformning till skillnad från tidigare allmänt råd från 1987. Grunderna för detta är att det framgår av motiven till miljöbalken att myndigheter ska kunna formulera krav i form av funktionskrav. Med detta avses att kraven formuleras i termer av vad som ska uppnås, inte exakt hur detta ska ske. Teknisk kunskap, som kan fungera som referenslitteratur, om markbaserade anläggningar finns bland annat i
och de tekniska rapporterna
De frågor och svar som finns på HaV:s webbplats kompletterar vägledningarna.
Allmän avloppsanläggning, är en avloppsanläggning över vilken en kommun har ett rättsligt bestämmande inflytande och som har ordnats och används för att uppfylla kommunens skyldigheter enligt lagen om allmänna vattentjänster (LAV). Se även begreppet Enskilda avloppsanläggningar.
Avloppsanordning/avloppsanläggning Avloppsanordning är det uttryck som används i 13 § förordning om miljöfarlig verksamhet och hälsoskydd. I vägledningarna används det vardagligare begreppet avloppsanläggning istället för avloppsanordning utom i de fall där det finns en referens till miljöbalken eller förordningen om miljöfarlig verksamhet och hälsoskydd. Enligt Naturvårdsverkets handbok 2008:3 bör en avloppsanordning innefatta ”rörledningar, slamavskiljare, tankar, infiltrationsanordningar och liknande anordningar som ingår i den kompletta anordningen.”
Avloppsvatten definieras i 9 kap. 2 § miljöbalken som:
"Spillvatten och annan flytande orenlighet” omfattar bland annat hushållsspillvatten från hushåll (som i sin tur kan indelas i WC-spillvatten, respektive bad-, disk- och tvättvatten, så kallat BDT-spillvatten), men kan också avse spillvatten från verksamheter.
BDT-spillvatten består av spillvatten från bad, disk och tvätt.
Biohud är beteckning för det skikt av mikroorganismer som utvecklas i markbaserade avloppsanläggningar i anslutning till infiltrationsnivån. Här sker huvuddelen av den biologiska reningen av spillvattnet. Ibland används även uttrycket biofilm, framförallt i anläggningar där bärarmaterialet (alltså det material som mikroorganismerna fäster och tillväxer på) inte utgörs av naturligt markmaterial, till exempel i minireningsverk.
Byggförvaltningen används för den avdelning/enhet/förvaltning inom kommunen som ansvarar för bygglovshanteringen.
Efterpoleringssteg avser ett kompletterande reningssteg som har en viss påvisad funktion med avseende på en specifik parameter, ofta smittämnen. Ett efterpoleringssteg kan till exempel utgöras av en infiltration eller en UV-anläggning medan en stenkista inte är ett tillräckligt väl definierat begrepp med känt utförande och funktion för att kunna utgöra ett efterpoleringssteg.
Enskilda avloppsanläggningar är inte synonymt med små avloppsanläggningar, även om termen ibland används på detta sätt. Begreppet ”enskild avloppsanläggning” finns i lag om allmänna vattentjänster (LAV) där man skiljer på allmän och enskild anläggning. Enskild anläggning är en anläggning som inte är eller inte ingår i en allmän anläggning. Begreppet enskilt avlopp beskriver alltså den organisatoriska formen, inte avloppsanläggningens storlek. Se även begreppet Allmän avloppsanläggning.
Hushållsspillvatten är spillvatten som kommer från bostäder och serviceinrättningar, vilket till övervägande del utgörs av WC-spillvatten (vattentoalett) och BDT-spillvatten (bad, disk och tvätt) oavsett om det kommer från privata hushåll eller från vård- och serviceinrättningar, restauranger, personalkök, affärer etc.
Högsta dimensionerande grundvattenyta, GVdim är den grundvattennivå utifrån vilken konventionella infiltrationer < 25 pe projekteras och byggs. Anges i meter från befintlig markyta. Består av tre delmängder – observerad grundvattennivå, tillägg på grund av att magasinet eventuellt inte var fyllt vid observationstillfället samt ett tillägg på grund av lokal förhöjning under en infiltration i finkornig jordart. Se även avsnitt Dimensionerande grundvattennivå för små avlopp.
Infiltrationsnivån är den nivå där den aktiva biohuden utvecklas i övergångszonen från spridningslager mot underliggande infiltrationsmaterial. Se även avsnittet Vad menas med infiltrationsnivå.
Infiltrationsyta är den yta som belastas med slamavskiljt hushållsspillvatten i en infiltration. Behovet av yta beror av geologiska förutsättningar samt av spillvattnets mängd och sammansättning. Se även avsnitt Siktanalys och perkolationsprov - bedömning av infiltrationskapacitet och dimensionering av infiltrationsyta.
Miljöförvaltningen används för den avdelning/enhet/förvaltning inom kommunen som har prövnings- och tillsynsansvar avseende små avloppsanläggningar samt för Försvarsinspektören för hälsa och miljö som har motsvarande prövnings- och tillsynsansvar i fråga om samtliga verksamheter och åtgärder inom Försvarsmakten, Fortifikationsverket, Försvarets materielverk och Försvarets radioanstalt. (Se 2 kap. 4 § miljötillsynsförordningen (2011:13)
Personekvivalent (pe) definieras som den mängd nedbrytbart organiskt material som har en biokemisk syreförbrukning på 70 gram löst syre per dygn under sju dygn (BOD7) (Naturvårdsverket, 2016).
Definitionen av en pe motsvarar inte siffran i AR Små avlopp, där 48 g/p, d BOD anges. Förklaringen är att siffran i AR Små avlopp har följt med från de tidigare allmänna råden från 2006 och är baserad på:rapport 4425 från NV ”Vad innehåller avlopp från hushåll?”.
I HaV:s förslag till ny föreskrift 2016 föreslogs 65 g/d, p men förändringen är inte genomförd. Att räkna på antalet personekvivalenter som belastar anläggningen blir mest relevant för anläggningar som belastas av annat avloppsvatten än enbart hushållsspillvatten eller när man närmar sig en belastning på 200 pe, för att veta om det handlar om en ansökan enligt 13 § FMH (under 200 pe) eller en anmälan enligt 9 kap. 6 § MB (över 200 pe).
Recipient är det grundvatten, vattendrag eller liknande dit avloppsvattnet leds.
Retention är avskiljning av näringsämnen och andra substanser i mark och grundvatten samt i vattendrag och sjöar genom naturliga biogeokemiska processer.
Små avloppsanläggningar är sådana avloppsanläggningar som omfattas av tillstånds- eller anmälningsplikt enligt 13 § förordningen om miljöfarlig verksamhet och hälsoskydd. Generellt avses därmed alla avloppsanläggningar som är dimensionerade för att ta emot avloppsvatten från 1–200 pe. Något som är gemensamt för begreppet små avloppsanläggningar är att de är byggda med småskalig teknik avsedd för endast ett eller ett mindre antal hushåll, men även för mindre verksamheter. Verksamhetsutövare för små avloppsanläggningar kan vara såväl privatpersoner som juridiska personer (se begreppet Enskilda avloppsanläggningar) och det är också möjligt att en kommun med ansvar enligt lagen om allmänna vattentjänster har en anläggning avsedd för högst 200 pe (se begreppet Allmänna avloppsanläggningar). HaV:s vägledning avser tillsyn och prövning av små avloppsanläggningar dimensionerade för 1-200 personekvivalenter som tar emot hushållsspillvatten eller avloppsvatten som till innehållet kan jämställas med hushållsspillvatten, men inte kommer från bostäder eller serviceinrättningar, se avsnitt Avgränsningar . Torrtoaletter ingår inte i begreppet avloppsanläggning.
En surrogatparameter är en mätbar fysikalisk eller kemisk parameter som har visats ge en direkt korrelation med koncentrationen av en annan parameter. Surrogatparametrar kan användas i fält för att ge en indikation på om en avloppsanläggning fungerar som avsett. Exempelvis kan en kombination av provtagning av ortofosfat och turbiditet ge indikation på om den kemiska fällningen i ett minireningsverk fungerar tillfredsställande.
Spillvatten inkluderar både hushållsspillvatten och industrispillvatten. Industrispillvatten är allt spillvatten som släpps ut från områden som används för kommersiell eller industriell verksamhet och som inte är hushållsspillvatten eller dagvatten.
Spridningslager är den del av en infiltration eller markbädd där avloppsvatten sprids ut innan det tränger ner under infiltrationsnivån.
Tekniska förvaltningen används för den avdelning/enhet/förvaltning/bolag inom kommunen som ansvarar för ledningsnät, kommunalt VA och hämtning av avfall.
VISS är en databas med uppgifter om alla Sveriges större sjöar, vattendrag, grundvatten och kustvatten. Här finns data om övervakning, miljömål, åtgärder, kartläggning och analys för Sveriges vatten. VISS har utvecklats av vattenmyndigheterna, länsstyrelserna och Havs- och vattenmyndigheten.
WC-spillvatten består av spillvatten från vattentoalett.
Förkortningar som används i vägledningen.
Förkortning | Förklaring |
|---|---|
AR Små avlopp | Havs- och vattenmyndighetens Allmänna råd om små avloppsanordningar för hushållspillvatten, HVMFS 2016:17 |
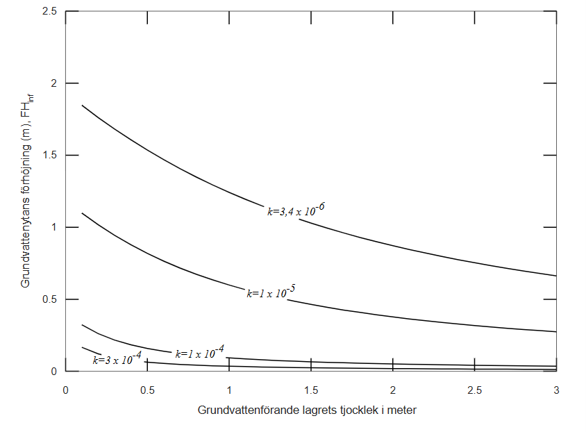
FHinf | Vid beräkning av GVdim det tillägg som görs till en observerad grundvattennivå på grund av infiltration i finkornig jordart |
FHmag | Vid beräkning av GVdim det tillägg som görs till en observerad grundvattennivå på grund av att grundvattenmagasinet inte var fullt vid observationstillfället |
FL | Förvaltningslag (2017:900) |
FMH | Förordning (1989:899) om miljöfarlig verksamhet och hälsoskydd |
FÄ | Fastighetsägare |
GVdim | Dimensionerande grundvattennivå |
HaV | Havs- och vattenmyndigheten |
JO | Justitieombudsmannen |
KML | Kulturmiljölagen (1988:850) |
LAV | Lag om allmänna vattentjänster (2006:412) |
MB | Miljöbalk (1998:808) |
MKB | Miljökonsekvensbeskrivning |
MKN | Miljökvalitetsnorm |
MMD | Mark- och miljödomstolen |
MPF | Miljöprövningsförordning (2013:251) |
MSA | Miljösanktionsavgift |
MÖD | Mark- och miljööverdomstolen/Miljööverdomstolen |
PBL | Plan- och bygglag (2010:900) |
SGU | Sveriges geologiska undersökning |
VA | Vatten- och avlopp |
VISS | Vatteninformationssystem Sverige |
Enligt miljötillsynsförordningen (2011:13) ska HaV ge tillsynsvägledning i frågor om enskilda avlopp medan länsstyrelserna enligt samma förordning har ett generellt ansvar för tillsynsvägledningen till kommunerna i länet. Den gräns som praktiskt används i tillsynsvägledningsarbetet motsvarar indelningen av avloppsreningsanläggningar i 28 kap. miljöprövningsförordningen (MPF) där anläggningar under 201 pe inte omfattas av anmälnings- eller tillståndsplikt enligt 9 kap. 6 miljöbalken. HaV ansvarar för tillsynsvägledning avseende avloppsanläggningar under 201 pe som omfattas av tillstånd- eller anmälningsplikt enligt 9 kap. 7 § miljöbalken och som tar emot hushållsspillvatten eller jämförligt vatten. Se även avsnitt Avgränsningar.
Av 26 kap. 1 a § miljöbalken framgår att med ”tillsynsvägledning” avses utvärdering, uppföljning och samordning av tillsyn samt stöd och råd till tillsynsmyndigheterna.
Därutöver finns i Vattenmyndigheternas åtgärdsprogram för 2022-2027 en åtgärd, ”Havs- och vattenmyndigheten åtgärd 1”, som bl.a. innebär att HaV i frågor kring prövning och tillsyn av enskilda avlopp ska fortsätta att utveckla sin vägledning till länsstyrelser och kommuner om vilka åtgärder som behöver genomföras för att miljökvalitetsnormerna för vatten ska kunna följas. Vägledning för tillsyn och prövning av små avloppsanläggningar är en del i HaV:s genomförande av åtgärden. Se även avsnitt Vattenmyndigheternas åtgärdsprogram.
Vägledningarna för prövning och tillsyn kompletterar HaV:s AR Små avlopp (HVMFS 2016:17) och ersätter Naturvårdsverkets Handbok 2008:3 ”Små avloppsanläggningar”.
Kommunernas miljöförvaltningar är både tillstånds- och tillsynsmyndighet för små avloppsanläggningar, vilket gör handläggningen av dessa ärenden speciell i förhållande till annan miljöfarlig verksamhet. Den bedömning som handläggaren gör vid handläggningen av tillstånd om inrättande eller vid en anmälan är av avgörande betydelse för hur tillsynen sedan kan bedrivas.
Det finns så många gemensamma nämnare mellan handläggning av tillstånd/anmälningar och tillsyn över små avloppsanläggningar att det inte går att endast vägleda om tillsynen om man vill ge det stöd och de råd som de kommunala miljöförvaltningarna efterfrågar och behöver. Även i tidigare vägledning från Naturvårdsverket, har både prövnings- och tillsynsfrågor tagits upp. HaV:s vägledningar innehåller därför både råd om handläggning av ansökningar/anmälningar och om tillsyn.
Vägledningarna är omfattande och behandlar många frågor som kan uppkomma i samband med tillsyn och prövning av små avloppsanläggningar. Långt ifrån alla frågor som beskrivs i vägledningarna är relevanta i varje ärende, och en del frågor blir sannolikt relevanta först när anläggningen uppnår en viss storlek och därmed är dimensionerad för fler än ett eller några få hushåll.
Har miljöförvaltningen tillgång till ett digitalt kartsystem med uppdaterade Gis-lager över skyddade områden, fornlämningar etc. kan handläggaren tidigt i ett prövningsärende sortera bort de frågor som är irrelevanta för den aktuella lokaliseringen och därigenom minska omfånget på handläggningen. Gäller det planering av tillsynen kan Gis-lager på motsvarande sätt ge underlag för prioritering, se avsnitt Tillsynsprioritering.
Annat som kan påverka effektiviteten i handläggningen av såväl tillsyns- som prövningsärenden är till exempel förekomsten av
Regler om små avlopp finns i både miljöbalken och förordningen om miljöfarlig verksamhet och hälsoskydd, i detta avsnitt finns en sammanställning över de viktigaste reglerna och man kan hitta dem
Avloppsvatten definieras i 9 kap. 2 § MB som:
”Spillvatten och annan flytande orenlighet” omfattar bl.a. hushållsspillvatten från hushåll som i sin tur kan indelas i WC-spillvatten, respektive bad-, disk- och tvättvatten (BDT-spillvatten), men kan också avse spillvatten från verksamheter. Se även Begrepp och Avgränsninngar.
Det finns inte någon legal definition av begreppet små avloppsanläggningar. Vad som utgör en avloppsanläggning definieras inte heller i förordningen (1998:899) om miljöfarlig verksamhet och hälsoskydd. En rimlig beskrivning av en avloppsanläggning kan vara ”de samverkande komponenter som ingår i en komplett anläggning vars syfte är att leda, behandla eller samla upp spillvatten, såsom till exempel rörledningar, slamavskiljare, slutna tankar, infiltrationer, markbäddar och reningsverk”.
Till anläggningen räknas inte de rör inomhus som leder spillvattnet till den behandlande eller uppsamlande komponenten, detta gäller oavsett om avloppsanläggningen ligger inomhus eller utomhus. Torrtoaletter ingår inte i begreppet avloppsanläggning. En anlagd våtmark som är utformad för reningsändamål kan ingå i en anmäld eller tillståndsgiven avloppsanläggning, däremot kan inte naturliga våtmarker anses ingå i en anläggning, se MÖD:s avgörande M 5822-16.
Enligt miljöbalkens indelning i anläggningar som regleras genom 13 § FMH respektive sådana anläggningar som omfattas av beteckningen C i 28 kap. 4 § MPF, så går skiljelinjen mellan en liten avloppsanläggning och övriga avloppsanläggningar vid 200 personekvivalenter (pe). Denna vägledning avser anläggningar som dimensioneras för upp till och med 200 personekvivalenter (pe) och där anläggningen tar emot hushållsspillvatten eller jämförligt spillvatten. Av 15 FMH, framgår att bestämmelserna i 13 § inte ska tillämpas på avloppsanläggningar som kräver tillstånd eller anmälan enligt MPF.
Regler om tillståndsprövning, rättsverkningar av tillstånd, tillsyn och egenkontroll finns i 16, 19-24 respektive 26 kap. miljöbalken. I 19 kap. 5 § miljöbalken anges specifikt att i ärenden som prövas av kommunala nämnder ska nämnden tillämpa bestämmelserna i bland annat 22 kap. 1 och 2 §§ miljöbalken, det vill säga bestämmelser om innehåll i ansökan och avvisning om ansökan inte är komplett.
I den mån det saknas processuella regler i miljöbalken gäller förvaltningslagen. Dessutom finns kopplingar till 7 och 11 kap. miljöbalken i och med att samprövning i vissa fall ska ske inom ramen för en prövning enligt 9 kap. miljöbalken. Regler om när det krävs tillståndsprövning eller anmälan för att inrätta eller ändra små avloppsanläggningar finns i 13-14 §§ förordning om miljöfarlig verksamhet och hälsoskydd
Vid tillsyn och prövning av små avloppsanläggningar tillämpas vidare de allmänna hänsynsreglerna i 2 kap. miljöbalken, se vidare avsnittet Miljöbalkens hänsynsregler.
För utsläpp av avloppsvatten finns det även en särskild hänsynsregel i 9 kap. 7 § 1 st miljöbalken som säger att avloppsvatten ska avledas och renas eller tas omhand på något annat sätt så att inte olägenhet för människors hälsa eller miljön uppkommer. För detta ändamål ska lämpliga avloppsanordningar eller andra inrättningar utföras. Denna regel omfattar allt avloppsvatten och alla slag av avloppsanläggningar. Det finns också specifika regler om miljökvalitetsnormer för yt- och grundvatten i 5 kap. miljöbalken, se avsnitt Miljökvalitetsnormer för yt- och grundvatten.
Därtill har HaV givit ut Allmänna råd om små avloppsanordningar för hushållsspillvatten (HVMFS 2016:17), som är myndighetens tolkning av vissa centrala bestämmelser som rör tillsyn och prövning av små avlopp. De allmänna råden är inte bindande men vägledande för myndigheter och domstolar.
I 7 § förordning (2017:966) om miljöbedömningar framgår att ett sådant avlopp eller anslutning som avses i 13 § FMH inte antas ha en betydande miljöpåverkan. Det innebär att en miljökonsekvensbeskrivning inte behöver upprättas. Därmed behöver en tillståndsansökan för en liten avloppsanläggning inte innehålla alternativa lokaliseringar eller lösningar. Om avloppsanläggningen kräver tillstånd enligt 7 kap. 28 a § miljöbalken - om Natura 2000-tillstånd behövs ska dock en miljökonsekvensbeskrivning som bland annat innehåller alternativa lösningar göras. Se även avsnitt Skälighetsavvägning, Natura 2000-områden och Utredningen måste anpassas till förhållandena.
Andra bestämmelser som reglerar avloppsvattenhantering, bland annat plan- och bygglagen och lagen om allmänna vattentjänster finns sammanfattade och beskrivna i rapporten Juridiken kring vatten och avlopp. Se även avsnitten Plan och bygglagen och Enskild eller allmän avloppsanläggning.
Nedan följer en översiktlig regelsammanställning av relevanta paragrafer i miljöbalken och förordning om miljöfarlig verksamhet och hälsoskydd med en kortfattad beskrivning av innebörd och koppling till små avloppsanläggningar.
Bestämmelse i miljöbalken | Innebörd |
|---|---|
Hänsynsreglerna | |
2 kap. 1 § Bevisbördan | Den som använder en befintlig avloppsanordning ska genom utredningar eller på annat sätt kunna visa att verksamheten kan bedrivas på ett miljömässigt godtagbart sätt. |
2 kap. 2 § Kunskapskravet | Verksamhetsutövaren ska ha den kunskap som behövs för att kunna bedöma effekterna för miljön och hälsan av avloppsutsläppet och minimera dess skadeverkningar. |
2 kap. 3 § Försiktighetsprincipen | Verksamhetsutövaren ska vidta de skyddsåtgärder och iaktta de försiktighetsmått som behövs för att förebygga, hindra eller motverkaskada eller olägenhet för människors hälsa och miljön. |
2 kap. 4 § Utbytesprincipen | Vid val av kemikalier ska riskerna för hälsa och miljö bedömas. Om en kemikalie kan ersättas med en produkt som är mindre farlig bör det göras. |
2 kap. 5 § Hushållningsprincipen och kretsloppsprincipen | Alla som bedriver en verksamhet eller vidtar en åtgärd ska hushålla med råvaror och energi samt utnyttja möjligheterna att minska mängden avfall, minska mängden skadliga ämnen i material och produkter, minska de negativa effekterna av avfall och återvinna avfall. |
2 kap. 6 § Lokaliseringsprincipen | För en verksamhet eller åtgärd som tar i anspråk ett mark- eller vattenområde ska det väljas en plats som är lämplig med hänsyn till att ändamålet ska kunna uppnås med minsta intrång och olägenhet för människors hälsa och miljön. |
2 kap. 7 § Skälighetsprincipen | Hänsynsreglerna gäller i den utsträckning det inte kan anses orimligt att uppfylla dem. Trots detta ska de krav ställas som behövs för att följa 5 kap. 4 och 5 §§. |
Tillståndsprövning | |
1 kap. 1 § 2p 3 kap. 6 § Natur- och kulturmiljöer inkl. fornlämningar | Vid tillståndsprövning av en liten avloppsanläggning ska hänsyn tas till natur- och kulturmiljövärden– ”miljöbalken ska tillämpas så att värdefulla natur- och kulturmiljöer skyddas och vårdas”. |
5 kap. 3 och 4 §§ Miljökvalitetsnormer | Myndigheter och kommuner ansvarar för att miljökvalitetsnormerna följs, vilket innebär att kommuner vid varje tillståndsprövning måste beakta hur den sökta verksamheten riskerar att påverka MKN. Tillstånd får inte ges till en verksamhet som riskerar att en norm försämras eller uppnåendet av MKN äventyras. |
7 kap. 16 §, 2p med flera Strandskydd | Vid tillståndsprövning av en liten avloppsanläggning så ska tillståndsmyndigheten hantera frågan om strandskydd inom ramen för prövningen om detta är aktuellt. |
7 kap. 29 b § med flera Natura 2000 | Vid tillståndsprövning av en liten avloppsanläggning där ett Natura 2000-område kan påverkas ska tillståndsmyndigheten pröva anläggningen även utifrån Natura 2000-reglerna. |
9 kap. 7 § Särskild hänsynsregel för avloppsvatten | Avloppsvatten skall avledas och renas eller tas om hand på något annat sätt så att olägenhet för människors hälsa eller miljön inte uppkommer. För detta ändamål ska lämpliga avloppsanordningar eller andra inrättningar utföras |
19 kap. 1, 2, 4 och 5 §§ | Särskilt om kommunernas prövning av miljöfarlig verksamhet. |
22 kap. 1 § | Om en tillståndsansökans innehåll. |
22 kap. 2 § Komplettering och avvisning | Om ofullständig ansökan – föreläggande om komplettering respektive avvisning. |
24 kap. 1 § Rättskraft | Ett tillstånd till en avloppsanläggning enligt 13 § FMH har rättskraft och gäller mot alla. |
24 kap. 3 § och 5 § Omprövning, återkallelse av tillstånd | Tillståndsmyndigheten får återkalla tillstånd som meddelats enligt miljöbalken och förbjuda fortsatt verksamhet alternativt ompröva tillståndet bland annat – när tillståndet, eller villkor som gäller för verksamheten eller åtgärden inte har följts. |
Egenkontroll | |
26 kap. 19 § | Den som bedriver verksamhet eller vidtar åtgärder som kan befaras medföra olägenheter för människors hälsa eller påverka miljön skall fortlöpande planera och kontrollera verksamheten för att motverka eller förebygga sådana verkningar. |
Tillsyn | |
9 kap. 7 § Särskild hänsynsregel för avloppsvatten | Avloppsvatten skall avledas och renas eller tas om hand på något annat sätt så att olägenhet för människors hälsa eller miljön inte uppkommer. För detta ändamål ska lämpliga avloppsanordningar eller andra inrättningar utföras. |
24 kap. 3 § och 5 § Omprövning, återkallelse av tillstånd | Tillståndsmyndigheten får återkalla tillstånd som meddelats enligt MB och förbjuda fortsatt verksamhet alternativt ompröva tillståndet bland annat -om den som har sökt tillståndet har vilselett tillståndsmyndigheten genom att lämna oriktiga uppgifter - när tillståndet, eller villkor som gäller för verksamheten eller åtgärden inte har följts. |
24 kap. 13 § Upphäva tillstånd eller ändra villkor | Efter ansökan av tillståndshavaren får tillståndsmyndigheten besluta att – upphäva ett tillstånd till en miljöfarlig verksamhet om verksamheten har anmälts till tillsynsmyndigheten och om verksamheten slutligt har upphört, eller – ändra eller upphäva villkor, dock att villkoret får upphävas eller mildras endast om det är uppenbart att villkoret inte längre behövs eller är strängare än nödvändigt eller om ändringen påkallas av omständigheter som inte förutsågs när tillståndet gavs. |
26 kap. 1 § Tillsyn | Tillsynen ska säkerställa syftet med miljöbalk och de föreskrifter som har meddelats med stöd av balken. Med tillsyn avses att tillsynsmyndigheten ska
|
26 kap. 9 § och 14 § Föreläggande och förbud | En tillsynsmyndighet får i det enskilda fallet besluta om de förelägganden och förbud som behövs för att denna balk samt föreskrifter, domar och andra beslut som har meddelats med stöd av balken ska följas. Beslut om förelägganden eller förbud får förenas med vite. Förelägganden och förbud får inte begränsa ett beslut eller en dom om tillstånd i ansökningsmål som har rättskraft enligt 24 kap. 1 §. |
26 kap. 15 § Inskrivning i fastighetsboken | Tillsynsmyndigheten får sända beslut om förbud eller föreläggande till inskrivningsmyndigheten för anteckning i fastighetsregistrets inskrivningsdel. Har anteckning gjorts, gäller föreläggandet eller förbudet mot ny ägare av egendomen. Löpande vite gäller mot den nya ägaren räknat från tidpunkten för äganderättsövergången. Annat vite gäller inte mot en ny ägare av egendomen. |
26 kap. 17 § Verkställande av kronofogde | Kronofogdemyndigheten får efter ansökan av tillsynsmyndighet verkställa beslut om det inte åtlyds av adressaten för beslutet. Kronofogdemyndigheten får även meddela särskild handräckning efter brott i 29 kap. 1. 4. 8, 9 eller 10 §§ miljöbalken. |
26 kap. 18 § Rättelse på den felandes bekostnad | I stället för att begära verkställighet enligt 17 § får tillsynsmyndigheten besluta att rättelse skall vidtas på den felandes bekostnad.
Beslut om rättelse på den felandes bekostnad får meddelas utan föregående föreläggande eller förbud, om tillsynsmyndigheten med hänsyn till risken för allvarliga skador finner att rättelse bör göras genast eller det finns andra särskilda skäl. |
26 kap. 21 § Lämna uppgifter | Tillsynsmyndigheten får förelägga den som bedriver verksamhet eller vidtar en åtgärd som det finns bestämmelser om i denna balk eller i föreskrifter som meddelats med stöd av balken, att till myndigheten lämna de uppgifter och handlingar som behövs för tillsynen. |
26 kap. 22 § Undersökning | Den som bedriver en verksamhet eller vidtar en åtgärd som kan befaras medföra olägenheter för människors hälsa eller miljön eller den som annars är skyldig att avhjälpa en olägenhet från sådan verksamhet är skyldig att utföra sådana undersökningar av verksamheten och dess verkningar som behövs för tillsynen. |
Bestämmelse i förordning om miljösanktionsavgift | Innebörd |
3 kap. 1 § FMSA | För en överträdelse av 13 § FMH ska en miljösanktionsavgift betalas
|
Bestämmelse i förordning om miljöfarlig verksamhet och hälsoskydd | Innebörd |
12 § Särskild hänsynsregel för utsläpp av WC-vatten | Det är förbjudet att i vattenområde släppa ut avloppsvatten från vattentoalett eller tätbebyggelse, om avloppsvattnet inte har genomgått längre gående rening än slamavskiljning, såvida inte sådant utsläpp uppenbart kan göras utan risk för olägenhet för människors hälsa eller miljön. |
13–14 § Tillstånds- och anmälningsplikt | Det krävs tillstånd för att inrätta en avloppsanordning som en eller flera vattentoaletter ska anslutas till, eller ansluta en vattentoalett till en befintlig avloppsanordning.
Det krävs anmälan till den kommunala nämnden för att inrätta en annan avloppsanordning än som avses ovan, om inte kommunen föreskrivet tillståndsplikt i lokala föreskrifter.
Det är förbjudet att utan anmälan ändra avloppsanordningar, om åtgärden kan medföra väsentlig ändring av avloppsvattnets mängd eller sammansättning. |
15 § | Bestämmelserna i 13 § första och andra styckena ska inte tillämpas på en avloppsanordning som kräver tillstånd eller anmälan enligt miljöprövningsförordningen (över 200 pe) eller om avloppsanordningen är avsedd att föra avloppsvattnet till enbart en allmän avloppsanläggning. |
16 § | Ledningarna för en avloppsanordning som avses i 13 § skall vara slutna, om inte den kommunala nämnden medger något annat. |
18 § | I beslut om tillstånd att inrätta en avloppsanordning som avses i 13 § får den kommunala nämnden föreskriva att anordningen inte får tas i bruk förrän den har besiktigats och godkänts av nämnden. |
19 § | Ett avloppstillstånd gäller i fem år men förfaller om arbetet med anordningen eller anläggningen inte har påbörjats inom två år. |
Den 1 januari 1999 trädde miljöbalken i kraft. I samband med detta upphävdes bland annat de gamla hälsoskydds- och miljöskyddslagarna. Miljöbalkens första paragraf säger i korthet att balken syftar till att främja en hållbar utveckling och att reglerna i balken ska tillämpas så att detta syfte uppnås. Miljöbalken gäller för allt som kan motverka balkens mål, inklusive små avloppsanläggningar och utsläpp av hushållsspillvatten.
Det övergripande målet om hållbar utveckling uttrycks mer specifikt i de allmänna hänsynsreglerna i 2 kapitlet med de kopplingar som finns där, bland annat till hushållningsbestämmelserna i 3 och 4 kapitlet och reglerna om miljökvalitetsnormer i 5 kapitlet.
De allmänna hänsynsreglerna i 2 kap. miljöbalken gäller för alla som bedriver eller avser att bedriva en verksamhet eller vidta en åtgärd. Dessa hänsynsregler ligger till exempel till grund för bedömningen av om tillstånd ska ges till en avloppsanläggning och vilka villkor som ett tillstånd ska förenas med. Det är verksamhetsutövaren som är skyldig att visa att hänsynsreglerna i 2 kap. miljöbalken iakttas. Det är alltså den sökande som ska visa att anläggningen uppfyller relevanta krav för att verksamheten inte ska medföra skada eller olägenhet för människors hälsa eller miljön.
Den rimlighets- eller skälighetsavvägning som ska göras enligt 2 kap. 7 § miljöbalken innebär att kraven i 1-5 §§ och 6 § första stycket gäller så länge det inte kan anses orimligt att uppfylla dem. Trots detta ska de krav ställas som behövs för att uppfylla 5 kap. 4 § miljöbalken. Detta innebär att en kommun inte får tillåta att en verksamhet eller åtgärd påbörjas eller ändras om det kan leda till en försämring av vattenmiljön, eller som kan äventyra uppnåendet av en miljökvalitetsnorm. Vid prövning ska de villkor och bestämmelser som krävs för att undvika detta beslutas.
Vid prövning och tillsyn av miljöfarliga verksamheter gäller omvänd bevisbörda. Det innebär att det är den som anmäler en verksamhet eller ansöker om tillstånd enligt miljöbalken för att inrätta en avloppsanläggning som genom utredningar eller på annat sätt ska kunna visa att verksamheten kan bedrivas på ett miljömässigt godtagbart sätt i förhållande till hänsynsreglerna.
Det vilar också ett tungt ansvar på verksamhetsutövaren att, när väl avloppsanläggningen är i drift, kunna visa att verksamheten bedrivs utan risk för hälsan eller miljön. Det är den som bedriver en verksamhet eller vidtar en åtgärd som är skyldig att kunna visa att bestämmelserna iakttas. Den omvända bevisbördan innebär dock inte att obegränsade krav kan ställas på den som ansöker om tillstånd till eller har ett litet avlopp i drift. Kostnaderna för det som krävs måste stå i rimlig proportion till den miljönytta som kan förväntas (2 kap. 7 § miljöbalken).
Utgångspunkten för tillsyn av en liten avloppsanläggning bör med utgångspunkt från ovanstående vara: ”Hur kan verksamhetsutövaren visa att denne uppfyller kraven?”. Verksamhetsutövaren kan konkret göra detta genom att till exempel redovisa att avloppsanläggningen är inrättad i enlighet med tillståndet och fungerar som det ursprungligen var avsett, dokumentation av tillfredsställande skötsel och egenkontroll anpassad efter avloppsanläggningens behov. Detta blir del i det underlag som miljöförvaltningen behöver för att kunna bedöma om anläggningen uppfyller kraven eller inte. Se även avsnittet Utredningsskyldighet.
Verksamhetsutövaren är, när det gäller små avloppsanläggningar, oftast en privatperson vilket gör att myndighetens serviceskyldighet får anses gå längre än annars. Det innebär att miljöförvaltningen måste vara extra tydlig vid sina muntliga och skriftliga kontakter med verksamhetsutövaren genom att förklara vilka krav miljöbalken ställer, vilka omständigheter som är avgörande i det speciella ärendet, vilka uppgifter eller undersökningar som efterfrågas och varför kraven ställs. Verksamhetsutövaren måste ges goda möjligheter att ha synpunkter på och komplettera ett beslutsunderlag. Se även avsnitt Handläggarens roll.
Kunskapskravet innebär att det är verksamhetsutövaren som ska skaffa sig den kunskap som behövs för att bedöma effekterna för miljön och hälsa av utsläppet av hushållsspillvatten och samtidigt kunna beskriva hur dess skadeverkningar minimeras. Verksamhetsutövaren ska även skaffa sig den kunskap som behövs för att kunna kontrollera och sköta sin avloppsanläggning så att den fungerar. I många fall när det gäller avloppsanläggningar för ett enstaka eller ett fåtal hushåll är fastighetsägaren verksamhetsutövare. Eftersom enskilda fastighetsägare sällan ansökt om eller anlagt en avloppsanläggning tidigare kan de sakna den kunskap som krävs enligt 2 kap. 2 § miljöbalken och kan därför behöva anlita sakkunniga inom området.
Försiktighetsprincipen ställer krav på att verksamhetsutövaren, så snart det finns skäl att anta att en verksamhet eller åtgärd kan medföra skada eller olägenhet för människors hälsa eller miljön, ska vidta de skyddsåtgärder och iaktta de försiktighetsmått som behövs för att förebygga, hindra eller motverka skada eller olägenhet för människors hälsa och miljön.
I AR Små avlopp (HVMFS 2016:17) finns råd angående tillämpningen av de allmänna försiktighetsprinciper som bör vara utgångspunkt för prövningen. (Havs- och vattenmyndigheten, 2016). I rådet till 2 kap. 3 § miljöbalken ges rekommendationer kring:
Inom försiktighetsprincipen finns också ett krav på att bästa möjliga teknik ska användas, detta krav gäller dock enbart yrkesmässig verksamhet. De flesta verksamhetsutövare för små avloppsanläggningar bedriver inte yrkesmässig verksamhet på sin fastighet; därför kan alltså krav på bästa möjliga teknik sällan ställas i prövningar som rör tillstånd till små avloppsanläggningar.
När det gäller små avloppsanläggningar upp till och med 200 pe kan en yrkesmässig verksamhet vara en avloppsanläggning som drivs av ett företag eller en kommun, se till exempel MÖD:s dom, M 6957-00, där en kommuns tekniska förvaltning ansågs vara näringsidkare när de drev ett kommunalt reningsverk.
En avloppsanläggning för privat bruk är i regel inte yrkesmässig även om verksamhetsutövaren driver en enskild firma, eventuellt med ett fåtal anställda, på fastigheten. Skulle däremot verksamheten tillhandahålla en avloppsanläggning som renar hushållsspillvatten mot betalning åt andra än verksamhetsutövaren så kan det vara fråga om yrkesmässig verksamhet. En verksamhet som vid ett tillfälle inte bedöms vara yrkesmässig kan vid ett senare tillfälle bedömas vara det enbart beroende på att en ny omständighet har tillkommit.
Bästa möjliga teknik utgör utgångspunkten för att bedöma frågan om vilka skyddsåtgärder och försiktighetsmått som ska krävas. Ekonomiska och miljömässiga avvägningar ska sedan ske med tillämpning av skälighetsregeln i 2 kap. 7 § miljöbalken.
Uttrycket ”bästa möjliga teknik” inrymmer både den använda teknologin och det sätt på vilket en anläggning utformas, uppförs, underhålls, drivs samt avvecklas och tas ur bruk (Miljöbalkspropositionen 1997/98:45 del 2 sidan 17). För att miljöförvaltningen ska kunna ställa krav på en särskild teknik som bästa möjliga måste den vara kommersiellt tillgänglig och inte bara förekomma på experimentstadiet.
Miljöförvaltningen bör vid prövningen av en ansökan/anmälan försäkra sig om att samtliga hänsynsregler i balken tillämpas. Det gäller även produktvalsprincipen, kretsloppsprincipen och principen om hushållning med råvaror och energi i 2 kap. 4-5 §§ miljöbalken.
Hänsyn bör därför tas också till råvaror och om dessa till exempel kan bytas ut mot mindre skadliga produkter och hur energiförbrukning kan minimeras. Vid en helhetsbedömning kan den teknik som utnyttjar mindre miljöfarliga råvaror eller exempelvis återvunna produkter, är vattenbesparande eller energisnål, i vissa situationer anses vara bättre för miljön än en teknik som gör det möjligt att minska utsläppen något. (Se till exempel MÖD mål nr M 3682-18, där en ej snålspolande toalett inte ansågs långsiktigt hållbar på en plats med begränsad tillgång till grundvatten.)
För en avloppsanläggning avsedd för ett eller några få hushåll kan det dock i normalfallet inte anses skäligt att ställa sådana specifika krav på produktval/energiförbrukning att detta ensamt blir avgörande för avloppsanläggningens tillåtlighet.
Se även avsnitt Utredningen måste anpassas till förhållandena i det enskilda fallet.
Miljöbalken har en hållbar utveckling som målsättning vilket bland annat innebär att miljöbalken ska tillämpas så att resurshushållning främjas och kretslopp uppnås. Kretsloppsprincipen i 2 kap. 5 § miljöbalken innebär i första hand att kommunen i sin egenskap av avfallsansvarig bör sträva efter att sluta kretsloppet genom att skapa förutsättningar för återförande av näringsämnen från små avloppsanläggningar, exempelvis genom att inrätta system för insamling, behandling och lagring samt överlåtelse till jordbrukare. Det är kommunens ansvar att ha en strategi och en handlingsplan för att hantera näringsämnen från kommunalt avloppsvatten liksom från avloppsfraktioner från små avloppsanläggningar. Kommunala VA-planer kan vara ett verktyg för att underlätta viktiga ställningstaganden beträffande kretslopp av växtnäring från avloppsvatten.
Kretslopp kan också uppnås genom att verksamhetsutövaren tar hand om avfallet själv men detta förutsätter att det finns möjlighet för ett lokalt kretslopp på den egna fastigheten. För att eget omhändertagande av avfall ska kunna räknas som en kretsloppsanpassad lösning så behöver näringen i avfallet nyttiggöras genom odling och produkterna sedan konsumeras eller föras bort från platsen.
Vid en bedömning i ett prövningsärende av om det är orimligt att uppfylla kraven avseende kretslopp och hushållning ska en bedömning göras av om de åtgärder som kraven förutsätter är
Enligt HaV:s bedömning ger rättspraxis hittills inte något enhetligt besked om när det är skäligt respektive oskäligt att i ett prövningsärende ställa krav på kretsloppsanpassade lösningar. Några slutsatser kan man dock dra:

Hygieniseringsanläggning för WC-spillvatten, Uddevalla kommun Foto: Bodil Forsberg
För all verksamhet och alla åtgärder ska alltid väljas en sådan plats att ändamålet kan uppnås med minsta intrång och olägenhet för människors hälsa och miljön. Vid inrättande av avloppsanläggningen ska man välja den plats där risken för störning blir så liten som möjligt, se till exempel dom M 7917-01 från MÖD där lokalisering på genomsläpplig mark i nära anslutning till en sjö var skäl för avslag på ansökan om att anlägga infiltrationsanläggning.
Tillstånd får heller inte lämnas i strid med detaljplan eller områdesbestämmelser enligt PBL, se avsnitt Plan- och bygglagen.
Lokaliseringsbedömningen kan påverkas av de krav som ställs enligt andra bestämmelser. Försiktighetsmått som vidtas kan få till följd att intrång och olägenheter minimeras och den valda platsen kan anses vara lämplig.
I Bedömning av tillåtlighet, platsens förutsättningar görs en närmare genomgång av principer för lokalisering och tillämpliga skyddsavstånd.
I 2 kap. 7 § miljöbalken finns en avvägningsregel som styr vilka krav som kan ställas med stöd av övriga hänsynsregler vid såväl prövning som tillsyn. Denna så kallade skälighetsprincip anger att man vid bedömningen av om en skyddsåtgärd är orimlig ska väga miljönyttan av åtgärden mot kostnaden för åtgärden. Hänsynsreglerna ska alltså tillämpas så att inte orimliga krav ställs på verksamhetsutövaren med hänsyn till den effekt skyddsåtgärderna och försiktighetsmåtten kommer att ha på miljön och kostnaden för dessa åtgärder.
Hur skälighetsprincipen tillämpas skiljer sig dock delvis åt beroende på om det handlar om prövning eller tillsyn.
Utgångspunkten för tillämpningen av 2 kap. 7 § miljöbalken är att det görs en bedömning i varje enskilt fall, där frågorna är:
De krav som ställs av myndigheten i ett prövningsärende måste vara möjliga att uppnå med sådan teknik som finns tillgänglig på den öppna marknaden, i fullskaledrift. Det går inte att ställa krav på att verksamhetsutövaren ska forska fram ny teknik eller använda teknik som inte kan anses finnas på den öppna marknaden utan endast i form av pilotanläggningar eller forskningsprojekt.
Bedömningen av om kostnaden för en skyddsåtgärd är orimlig eller inte ska framförallt göras med hänsyn till den nytta för hälsa och miljö som skyddsåtgärden ger. I denna bedömning ska miljökvalitetsmålen vara styrande.
När det gäller frågan om hur viktigt det är att förebygga eller begränsa påverkan på hälsa och miljö har olägenhetens karaktär, såsom farlighet och omfattning betydelse. Dessutom ska graden av känslighet i det område där påverkan sker och känslighet hos de som utsätts för störningen också beaktas.
Därmed bör oftast strängare krav kunna ställas när omgivningen är känslig för utsläppet eller när det finns stora naturvärden som påverkas eller riskerar att påverkas av verksamheten. Miljönyttan i sådana fall kan normalt anses vara större än när omgivningen är mindre känslig och/eller när stora naturvärden saknas.
I ett prövningsärende bör särskilt beaktas utsläppets mängd och sammansättning i förhållande till omgivningens känslighet. Om det är fråga om lokalisering i ett mycket glest bebyggt område, till exempel norra Norrlands inland eller annan del av landet med liknande förhållanden, så kan det vara oskäligt att ställa höga krav på till exempel reduktion av näringsämnen. Vid bedömning av krav på kvävereduktion kan detta vara oskäligt om de kommunala reningsverken i området saknar särskilda krav på kvävereduktion och nitrathalterna i grundvattnet är låga. (Havs- och vattenmyndigheten, 2016)
När det gäller miljökvalitetsnormerna anger dessa en miniminivå som måste beaktas vid tillämpningen av hänsynsreglerna, detta framgår av 2 kap. 7 § andra stycket. Vid prövning måste därmed de krav ställas på en verksamhet som behövs för att undvika risk för att miljökvalitetsnormerna inte uppfylls. Detta gäller oavsett om kraven kan anses som rimliga eller ej. När det gäller hur miljökvalitetsnormerna påverkar prövningen utvecklas detta vidare i Miljökvalitetsnormer för yt- och grundvatten.
Den omständigheten att en anläggning avses användas i begränsad omfattning bör normalt inte anses ha betydelse vid skälighetsavvägningen i prövningen. Utgångspunkten för skälighetsbedömningen bör vara anläggningens dimensionering och inte den faktiska användningen. Förhållandena kan ju ändras med tiden och ny verksamhetsutövare tillkomma. I övrigt när det gäller prövningsärenden se avsnittet Bedömning av tillåtlighet och skyddsnivåer.
Vid tillsyn på befintliga anläggningar behöver dock nyttjandegrad och vilka installationer som belastar anläggningen tas med i skälighetsbedömningen.
Vid bedömning av om ett krav är ekonomiskt rimligt är utgångspunkten vad ett genomsnitt av den aktuella kategorin av verksamhetsutövare kan anses klara av ekonomiskt, inte vad den enskilde verksamhetsutövaren anses klara av.
För att kunna göra en fullgod skälighetsavvägning behöver det ofta finnas uppgifter om kostnader, både kostnader för utredning av specifika frågor och kostnaderna för åtgärden. Miljöförvaltningen får alltid begära in de uppgifter man anser sig behöva för sin prövning och tillsyn (22 kap. 1 § 1 st, 19 kap. 5 § och 26 kap. 21 § miljöbalken) men en skälighetsavvägning ska göras för att undvika att kräva in uppgifter som är oskäligt dyra att ta fram. Se till exempel domarna M 4335-05 och M 9677-99 från MÖD och avsnitten Komplettering samt Nyttan av åtgärden ska vägas mot kostnaden.
För den som söker tillstånd till att bygga en ny anläggning kan det finnas stora skillnader i kostnader beroende på var en anläggning placeras, även om det är samma teknik och typ av anläggning som jämförs. Det är alltså svårt att göra generella ställningstaganden kring rimliga kostnader eftersom variationerna är stora både i landet, inom kommuner och ibland till och med mellan angränsande fastigheter. I vissa fall kommer det att vara rimligt att en avloppsanläggning kostar mer på grund av naturgivna förutsättningar eller att nyttan med försiktighetsåtgärderna är särskilt stora.
Utgångspunkter för att bedöma om en viss kostnadsnivå är rimlig i det enskilda fallet kan till exempel vara:
I ett tillsynsärende behöver bedömning också göras av om det är ekonomiskt rimligt att vidta försiktighetsmått enligt 2 kap. 3 § miljöbalken. Det bör då beaktas om avloppsanläggningen redan är inrättad i enlighet med tillståndet och om den fungerar som det ursprungligen var avsett, exempelvis kan krav på långtgående fosforreduktion bli orimligt kostnadskrävande i förhållande till den miljönytta som en uppgradering av en i övrigt väl fungerande anordning skulle medföra. (HaV, 2016) Se även avsnitt Bedömning av skälighet vid tillsyn.
För att skydda, bevara och inte försämra vattenkvaliteten används i miljöbalken MKN som mått på den kvalitet som ska råda i yt- och grundvattenförekomster. MKN fungerar också som ett verktyg för att förbättra och bibehålla kvaliteten i yt- och grundvatten .
I de fall då det finns risk för att MKN inte kommer att uppnås på grund av påverkan från små avloppsanläggningar ska de krav på begränsningar och försiktighetsmått ställas som behövs för att säkerställa att en otillåten påverkan inte sker. Rimlighetsavvägningen enligt 2 kap. 7 § MB får i dessa fall inte begränsa vilka åtgärder som ska vidtas.
Bedömningen av om en verksamhet påverkar möjligheten att uppnå MKN ska göras utifrån påverkan på hela den berörda vattenförekomsten.
Vid prövning av en ny avloppsanläggning och dess effekt på MKN ska miljöförvaltningen ta hänsyn till det större område som fastigheten ingår i och följden av en generell utbredning i detta område av avloppsanläggningar liknande den tillståndssökta.
MKN för yt- och grundvatten har sin grund i EU:s vattendirektiv som infördes i svensk lagstiftning 2004 genom 5 kap. MB och vattenförvaltningsförordning (2004:660) .
De fem regionala vattenmyndigheterna klassificerar sedan 2007 vilken status som en viss vattenförekomst har och fastställer vilka MKN, kvalitetskrav, som ska gälla för yt- och grundvattenförekomster i respektive vattendistrikt. Grundkravet är att god status skulle ha nåtts till 2015 om inte undantag beslutats.
För att veta vad som behöver göras för att behålla eller förbättra vattenkvaliteten görs det en statusklassning, en påverkansanalys och en riskbedömning:
Det är hänsynsreglerna i 2 kap. MB som utgör grunden för bedömningen av behovet av skyddsåtgärder, försiktighetsmått och begränsningar vid en tillståndsprövning. I de fall det handlar om påverkan på en vattenförekomst som helhet är regelverket om MKN i 5 kap. MB tillämpligt. Av reglerna framgår att en verksamhet inte får medföra att det sker en otillåten försämring eller att uppnåendet av god status i en vattenförekomst äventyras. För vatten som inte omfattas av regelverket om MKN se avsnitt Övriga vatten. Många av Sveriges grundvattentillgångar är t ex inte utpekade som grundvattenförekomster och saknar därmed det skydd som miljökvalitetsnormerna ger. För grundvatten som inte pekats ut som grundvattenförekomster ska miljöbalkens allmänna hänsynsregler i 2 kap tillämpas. Tillståndsgivningen måste ta hänsyn till den breda användningen av grundvatten för enskild dricksvattenförsörjning, även när det inte handlar om grundvattenförekomster.
För föroreningar som inte regleras av regelverket kring MKN, ska miljöbalkens allmänna hänsynsregler i 2 kap tillämpas. Se även avsnitt Bedömning av rening av andra ämnen än smittämnen och näringsämnen.
Vattenmyndigheternas åtgärdsprogram ligger till grund för vilka åtgärder som behöver vidtas för att MKN ska kunna följas och är styrande när myndigheterna ställer krav.
Av förvaltningsplaner och VISS och länsstyrelsernas åtgärdsunderlag framgår vilka vattenförekomster som inte uppnår, eller riskerar att inte uppnå, god status. Vattenmyndigheterna klassificerar en vattenförekomst genom att utgå från kvalitetsfaktorer för ekologisk status, gränsvärden för kemisk ytvattenstatus, gränsvärden samt vända trend-värden för kemisk grundvattenstatus. För kvantitativ grundvattenstatus finns ingen motsvarighet till kvalitetsfaktorer eller gränsvärden utan endast mer allmänna resonemang. Åtgärdsprogrammet talar också om vilka åtgärder som behöver genomföras av myndigheter, länsstyrelser och kommuner för att MKN ska kunna följas.
Det är myndigheter och kommuner som ansvarar för att MKN följs och det är för dessa som normerna är bindande och styrande. Detta gör tillsynsmyndigheten exempelvis genom att ta fram och följa egna lokala åtgärdsprogram och koncentrera tillsynen till de vattenförekomster där MKN inte följs samt att i fysisk planering beakta och planera utifrån den aktuella vattenkvaliteten i området.
Detta innebär att det övergripande ansvaret för att MKN följs vilar - i de delar där kommunen som organisation har rådighet - på kommunstyrelsen och kommunfullmäktige, som ska strukturera arbetet och fördela resurser till de nämnder som berörs. I första hand är det miljö- och byggnadsnämnderna.
Normerna får effekt för verksamhetsutövare först efter att de omvandlats till någon form av krav från prövnings- eller tillsynsmyndigheten, till exempel genom ett tillståndsbeslut med villkor för en liten avloppsanläggning.
När det gäller små avloppsanläggningar är det främst utsläppen av näringsämnen som har störst påverkan på ytvattenmiljön och möjligheten att uppnå MKN. Vanligtvis handlar det om fosfor men i till exempel grunda havsvikar kan även utsläpp av kväve från små avloppsanläggningar ha negativ påverkan. HaV:s bedömning är att utsläpp från en enstaka avloppsanläggning sällan kan anses påverka möjligheterna att följa en MKN, men att kumulativa effekter av utsläppen av fosfor från ett flertal små avloppsanläggningar inom ett visst avrinningsområde kan ha en sådan betydelse att dessa utsläpp kan påverka möjligheten att nå god status.
I punkt 4 i Vattenmyndigheternas åtgärdsprogram som riktar sig till kommunerna finns en åtgärd som syftar till att kommunerna ska säkerställa minskade utsläpp från enskilda avlopp, genom att
Åtgärden ska påbörjas omgående och genomföras kontinuerligt. Vattenmyndigheterna uppskattar i åtgärdsprogrammen för 2016-2021 att det för 1 890 av Sveriges ca 22 000 ytvattenförekomster behövs åtgärder för att minska fosforbelastningen från små avloppsanläggningar för att bidra till att MKN ska kunna följas. I VISS visas registrerade möjliga åtgärder för hur åtgärdsbehovet för ytvattenförekomsten kan omvandlas till fysiska åtgärder.
Vattenmyndigheterna har för ytvattenförekomster med övergödningsproblem utifrån tillgängliga uppgifter om fördelningen av avloppstekniker på kommunnivå, räknat fram hur många små avloppsanläggningar som kan behöva åtgärdas till normal skyddsnivå respektive hög skyddsnivå vid enskilda ytvattenförekomster för att MKN ska kunna följas. Merparten av de möjliga åtgärderna till normal skyddsnivå antar Vattenmyndigheterna kommer att genomföras eftersom avloppsanläggningar som inte når upp till normal skyddsnivå oftast inte heller uppfyller lagkraven. I ett mindre antal fall föreslås att avloppsanläggningarna åtgärdas till hög skyddsnivå istället för normal. Eftersom åtgärderna är framräknade med hjälp av uppgifter om fördelning av avloppsteknik på kommunnivå och reningsschabloner för olika tekniker finns dock osäkerheter i bedömningarna. Det kvarstår alltså för kommunerna att med hjälp av lokal kunskap göra de specifika bedömningar som krävs för att avgöra om en avloppsanläggning behöver åtgärdas samt hur höga krav som ska ställas på en ny anläggning.
För framförallt vissa kväveföreningar i ytvatten finns specifika rikt- och gränsvärden , se Övriga ämnen i ytvatten.
Se även Kriterier för hög och normal skyddsnivå.
Många små avloppsanläggningar på en begränsad yta skulle kunna bidra till belastning på recipienten av andra oönskade ämnen i vattenmiljön.
I HVMFS 2013:19 (bilaga 2 och 5) finns angivet så kallade Särskilda Förorenande Ämnen (SFÄ). Till SFÄ räknas till exempel diklofenak, beta-östradiol och nitrat som är ämnen som små avlopp kan vara källa till. Se även avsnitt Bedömning av rening av andra ämnen än smittämnen och näringsämnen.
Den största risken för påverkan från små avloppsanläggningar på grundvattenförekomster bedöms vara utsläpp av näringsämnen, men även läkemedelsrester kan utgöra ett problem. I SGU-FS 2013:2 beskrivs hur statusklassificeringen ska göras och hur riktvärden fastställs för en grundvattenförekomst. Generella riktvärden för grundvatten på nationell nivå och utgångspunkt för att vända trender finns i SGU-FS 2016:1. Exempel på ämnen som kan vara relevanta är nitrat, nitrit, ammonium och fosfat.
För grundvattenförekomster ska en riskbedömning identifiera ämnen som kan utgöra en risk. Då kan läkemedelsrester och olika organiska miljö- och hälsorelaterade ämnen ingå. För varje grundvattenförekomst kan specifika MKN och riktvärden sättas av Vattenmyndigheten. Beslutade riktvärden för en specifik grundvattenförekomst återfinns i länsstyrelsernas föreskrifter om miljökvalitetsnormer. De ska även framgå av uppgifter i VISS.
Kopplat till miljökvalitetsnormen för kemisk grundvattenstatus finns, förutom riktvärde, även ”utgångspunkt för att vända trend”. ”Vända-trendvärdet” är en procentandel av riktvärdet och anger den koncentration av ett ämne då åtgärder ska sättas in för att förhindra att riktvärdet överskrids. Grundvatten är tröga system och ett förorenat grundvatten är svårt att rena, därför ska åtgärder vidtas redan vid en lägre nivå än riktvärdet. I punkt 4 i Vattenmyndigheternas åtgärdsprogram som riktar sig till kommunerna finns en åtgärd som syftar till att kommunerna ska säkerställa minskade utsläpp av fosfor och kväve från enskilda avlopp (se avsnitt Näringsämnen i ytvatten). Åtgärden avser även grundvattenförekomster.
Vattenmyndigheterna har i den senaste riskbedömningen ( förvaltningscykel 3) pekat ut 19 grundvattenförekomster där diffusa utsläpp från enskilda avlopp bedöms orsaka risk att god kemisk status inte uppnås. Bedömningen är gjord för grundvattenförekomsterna som helhet och platser med endast lokala problem i en del av vattenförekomsten ingår inte. Underlaget för riskbedömningen varierar stort mellan olika grundvattenförekomster vilket sannolikt innebär att det finns fler grundvattenförekomster än de 19 utpekade där påverkan från små avlopp utgör ett problem.
HaV:s bedömning är att utsläpp från en enstaka avloppsanläggning sällan kan anses påverka möjligheterna att följa en MKN, men att kumulativa effekter av utsläppen av framförallt kväve från ett flertal små infiltrerande avloppsanläggningar till en grundvattenförekomst kan ha en sådan betydelse att dessa utsläpp kan påverka möjligheten att nå god status. För grundvatten kan situationen se lite annorlunda ut jämfört med ytvatten eftersom det inte är samma omblandning av vattenmassan i förekomsten. Höga halter av förorenande ämnen kan påverka en grundvattenförekomst lokalt. Möjligheterna att följa MKN kan påverkas, särskilt när grundvattenförekomsten är liten i förhållande till påverkansområdet.
Se även avsnitt Bedömning av rening av andra ämnen än smittämnen och näringsämnen.
Ett exempel på när små avloppsanläggningar kan påverka den kvantitativa statusen i en grundvattenförekomst är en ökad grundvattenförbrukning uppkommen genom installation av vattentoaletter. Det kan finnas risk att vattnet i det aktuella området inte räcker eller att det finns en ökad risk för saltvatteninträngning om en redan hårt belastad grundvattentillgång belastas ytterligare. Om risken för saltvatteninträngning förväntas öka och grundvattnet tas från en grundvattenförekomst innebär det en negativ påverkan på MKN för kvantitativ status. Se även avsnitt Begränsad dricksvattentillgång.
Det finns ett antal rättsfall från MÖD som tydliggör hur tillståndsmyndigheterna ska beakta miljökvalitetsnormer vid prövning av miljöfarlig verksamhet. Domstolen klargör till exempel i M 9616-14, att bedömningen av en verksamhets påverkan utifrån miljökvalitetsnormerna ska göras på vattenförekomstnivå.
Av domarna i mål M 5802-16, M 5910-16 och M 5911-16, som hänvisar till tidigare domar från MÖD (MÖD 2006:27 och 2006:53) framgår att vid prövning av en ny avloppsanläggning ska hänsyn alltid tas till det större område där avloppsanläggningen planeras och till vad följden skulle bli av en generell utbredning av avloppsanläggningar liknande den tillståndssökta i området (så kallade kumulativa effekter). Av dessa domar framgår vidare att om recipienten utgör ett särskilt känsligt och skyddsvärt område kan högre krav än vad som följer av kraven på hög skyddsnivå i AR Små avlopp ställas.
Även i två andra domar, M 10800–15 och M 10805–15, har MÖD slagit fast att miljöförvaltningen vid bedömningen av skyddsnivå för miljöskydd måste beakta den påverkan som anläggningen, tillsammans med andra liknande anläggningar inom samma område, har på möjligheten att följa MKN i den vattenförekomst dit avrinning/utsläpp sker. I Skyddsnivåer framgår hur hänsyn ska tas till MKN vid bedömning av skyddsnivå för miljöskydd.
För att säkerställa att en otillåten påverkan inte uppkommer ska en verksamhetsutövare översiktligt kunna redogöra för hur den egna verksamheten påverkar eller kan påverka möjligheten att följa MKN i de vattenförekomster som berörs. Detta följer av den s.k. bevisbörderegeln i 2 kap. 1 § MB.
När det gäller små avloppsanläggningar och möjligheten att följa MKN kan dock inte enskilda fastighetsägare förväntas göra denna fördjupade bedömning själva utan här behöver miljöförvaltningen istället göra en samlad bedömning av möjligheterna att uppnå MKN i den eller de berörda vattenförekomsterna.
Som stöd för bedömningen av när MKN i ytvatten riskerar att inte uppnås på grund av övergödning finns ett Gis-stöd som har utvecklats med utgångspunkt från bl.a. en vetenskapligt baserad bedömning av retention samt påverkan på MKN för ytvatten med avseende på fosfor och kväve. Gis-stödet är utformat för att ge en bild av risken för påverkan på en ytvattenrecipient (men inte om recipienten är grundvatten) från en tillkommande avloppsanläggning. Gis-stödet väger däremot inte in kumulativa effekter från många nytillkommande avloppsanläggningar, denna bedömning behöver miljöförvaltningen därför göra för både ytvattenförekomster och grundvattenförekomster.
Det är vanligt att man som handläggare av avloppsfrågor på en miljöförvaltning kommer i kontakt med frågor som rör plan- och bygglagen (PBL). När handläggaren behandlar en ansökan om att inrätta en avloppsanläggning är det viktigt att se till att tillstånd inte ges i strid med en detaljplan eller områdesbestämmelser.
Dessutom remitteras ärenden om bygglov och förhandsbesked från kommunens byggförvaltning till miljöförvaltningen och handläggaren förväntas kunna ge beslutsunderlag när det gäller att bedöma vilka möjligheter som finns att ordna en lösning för hushållsspillvattnet. Arbetet med att svara på sådana remisser ligger utanför själva handläggningen av tillstånds- och anmälningsärenden enligt MB, vi har ändå valt att ta upp remissarbetet i denna vägledning. Eftersom den information och de bedömningar som i remissen levereras från miljöförvaltningen till byggförvaltningen också kan komma att ligga till grund för möjligheten att ordna bra avloppslösningar. Det är därför viktigt att samarbetet mellan bygg- och miljöförvaltningen fungerar smidigt i kommunen och att handläggarna på respektive kontor väl känner till sina roller. Vidare finns i PBL ett förvanskningsförbud för byggnader, bebyggelseområden och allmänna platser som anses särskilt värda att bevara på grund av dess kulturvärde, vilket innebär att miljöförvaltningen i vissa speciella fall kan behöva höra byggförvaltningen innan tillstånd till en avloppsanläggning beviljas.
Syftet med detta avsnitt är att ge vägledning om:
Eftersom detta avsnitt har många beröringspunkter med vägledning för hur plan- och bygglagens bestämmelser ska tillämpas och även i viss mån omfattar handläggningen på byggförvaltningarna är det avstämt med Boverket. För mer detaljerad vägledning i PBL-relaterade frågor hänvisas till PBL Kunskapsbanken på Boverkets webbplats.
Inom kommunen kan användningen av mark- och vattenområden samt bebyggelse och byggnadsverk regleras med detaljplaner eller områdesbestämmelser. Både detaljplaner och områdesbestämmelser har bindande rättsverkan. Den bedömning som görs i en detaljplan ger ramarna för prövningen av framtida bygglovsärenden.
Planläggningens syfte är att reglera och fastställa en lämplig användning av mark- och vattenområden. En grundläggande princip är att användningen ska vila på avvägningar mellan olika allmänna och enskilda intressen. Att bebyggelse ska lokaliseras till mark som är lämpad för ändamålet innebär bland annat att hänsyn ska tas till vattenförhållandena, möjligheterna att ordna vattenförsörjning och avlopp samt möjligheter till att förebygga vattenföroreningar. Detta framgår av 2 kap. 1, 2, 4 och 5 §§ PBL.
En detaljplan består av en karta som tillsammans med planbestämmelserna är rättsligt bindande. Därutöver ska det finnas en planbeskrivning där det ska framgå hur planen ska förstås och hur den ska genomföras, till exempel en redogörelse för planeringsförutsättningarna och de överväganden som har legat till grund för planens utformning med hänsyn till motstående intressen. Planbeskrivningen är inte rättsligt bindande, men angivna syften och kommentarer kan få betydelse vid tolkningen av planbestämmelserna.
Motsvarande gäller för områdesbestämmelser. Det är själva områdesbestämmelserna och den karta som kan finnas till bestämmelserna, och som visar var bestämmelserna gäller, som är bindande.
När en detaljplan tas fram görs en lokaliseringsprövning för hela planområdet. Vid prövning av bygglov eller förhandsbesked inom detaljplan görs därför ingen ny lokaliseringsprövning utan istället prövas om åtgärden stämmer överens med den reglering som bestämts i detaljplanen. Åtgärdens närmare placering och utformning på en viss plats prövas också, utöver det som framgår av bestämmelserna i detaljplanen.
Planbestämmelser måste ha stöd i PBL:s fjärde kapitel och de måste vara tydliga. Villkor för bygglov kan i detaljplan endast regleras enligt det som anges i 4 kap. 14 § PBL. I denna paragraf framgår bland annat att kommunen i en detaljplan får bestämma att lov eller startbesked för en åtgärd som innebär en väsentlig ändring av markens användning endast får ges under förutsättning att en viss anläggning för vattenförsörjning eller avlopp, som kommunen inte ska vara huvudman för, har kommit till stånd.
Bestämmelsen har förmodligen sin största betydelse inom omvandlingsområden (sammanhängande fritidshusområden där omvandling mot permanentboende pågår), då kommunen genom detaljplanen kan utvidga byggrätten och på så vis stimulera till nya bygglovsansökningar. En viktig begränsning är dock att bestämmelsen endast gäller vid åtgärder som innebär en väsentlig förändring av markens användning, vilket innebär att främst nybyggnationer eller större tillbyggnader berörs. Skyldigheten för fastighetsägaren att ordna VA triggas igång när första bygglovsansökan för området behandlas.
Ett miljöbalkstillstånd eller en dispens (till exempel strandskyddsdispens) får inte ges i strid med en detaljplan eller områdesbestämmelser enligt plan- och bygglagen. Små avvikelser får dock göras, om syftet med planen eller bestämmelserna inte motverkas. Detta följer av 2 kap. 6 § 3 st MB. Miljöförvaltningen bör samråda med byggförvaltningen om det är tveksamt vad som är att anse som små avvikelser.
Bestämmelsen gäller vid tillståndsprövning av små avloppsanläggningar och förbudet omfattar därför inte anmälningspliktiga anläggningar eller ändringar. Praktiskt innebär bestämmelsen i 2 kap. 6 § MB till exempel att ett avloppstillstånd med vattentoalett inte kan beviljas om det finns ett uttalat förbud mot detta i planbestämmelserna, eller att en enskild lösning inte kan accepteras om planbestämmelserna anger att en förutsättning för bygglov är att en gemensamhetsanläggning för VA bildas. Motsvarande bestämmelse finns för allmänna VA-anläggningar i 11 § LAV.
En allmän va-anläggning får inte ordnas
Om syftet med planen eller bestämmelserna inte motverkas, får dock mindre avvikelser göras.
Äldre planer, så kallade stadsplaner eller byggnadsplaner, antogs med stöd av den dåvarande byggnadslagen och annan äldre lagstiftning. En sådan äldre plan gäller som en detaljplan med utgångspunkt från övergångsbestämmelserna till PBL. Det är inte ovanligt att det i äldre planer för fritidshusområden finns bestämmelser om att vattentoalett inte är tillåtet i området, eller att en byggnad som innebär behov av avloppsledning inte får uppföras. Om kommunen inte ändrar eller upphäver planen fortsätter den formellt att gälla.
Det kan vara tveksamt om en planbestämmelse uppfyller de krav som gäller enligt PBL och att bestämmelsen inte heller hade klarat sig igenom en rättslig granskning om planen hade överklagats. Men har bestämmelsen inte överklagats och upphävts måste handläggaren ta hänsyn till den enligt 2 kap. 6 § MB.
Om det uppstår svårigheter vid bedömningen och tolkningen av planbestämmelser enligt 2 kap. 6 § MB bör handläggaren samråda med byggförvaltningen. Det är också viktigt att byggförvaltningen uppmärksammas på planbestämmelsen och hur den påverkar möjligheten att bevilja avloppstillstånd enligt miljöbalken.
Handläggningen av ansökningar om bygglov och förhandsbesked är inriktad på att pröva om åtgärden uppfyller de krav som finns i PBL. Vid prövning av nybyggnad utanför detaljplan ska en lokaliseringsprövning göras. Det innebär att en bedömning ska göras om platsen är lämplig att bebygga. Bygglov och förhandsbesked ska meddelas om ansökan bland annat uppfyller de grundläggande förutsättningarna i 2 kap. PBL. Marken ska vara lämpad för ändamålet bland annat genom att hänsyn ska tas till jord, berg och vattenförhållandena, möjligheterna att ordna vattenförsörjning och avlopp samt möjligheterna att förebygga vattenföroreningar. Detta framgår av 2 kap. 5 § PBL.
När det kommer in en ansökan om förhandsbesked eller bygglov till byggförvaltningen brukar den skickas på remiss till miljöförvaltningen för att byggförvaltningen ska få ett tillräckligt underlag för sin bedömning av de miljömässiga förutsättningarna för byggnation. Det är viktigt att det av remissen framgår vilka frågor handläggaren ska yttra sig över. Krav på tydlighet i remisser är något som lyfts i förvaltningslagen. I 26 § FL sägs att det ska framgå av remissen vad yttrandet ska avse och när det senast ska ha kommit in till myndigheten. Vid tveksamheter är det bästa att kontakta den bygghandläggare som skickat remissen.
Det är den eller de som beslutar i ansökan om förhandsbesked eller bygglov som är ansvariga för att utredningen är tillräcklig och som ska göra de slutliga bedömningarna. Det är också byggförvaltningens ansvar att det finns tillräckligt underlag i remissen för att remissinstanserna ska kunna göra en bra bedömning.
Remissinstansen, alltså miljöförvaltningen i detta fall, bör inte själv inhämta ytterligare material från till exempel sökanden utan istället påtala eventuella brister i underlaget för den som skickat remissen. Av remissyttrandet bör då framgå vad det är som saknas för att miljöförvaltningen ska kunna göra en bedömning.
Det är viktigt att det av miljöförvaltningens remissyttrande framgår om det är möjligt eller inte att ordna vattenförsörjning och avlopp på den aktuella fastigheten. I yttrandet bör också redovisas miljöförvaltningens bedömning av de omständigheter som gäller i det enskilda ärendet och som kan påverka möjligheterna att lösa VA-frågorna.
Nedan listas exempel på frågor som kan/bör belysas i remissyttrandet:
Miljöförvaltningens synpunkter är viktiga för byggförvaltningens bedömning av om den avsedda platsen är lämplig för bebyggelse. För att en sökande ska kunna få bygglov eller förhandsbesked måste de grundläggande förutsättningarna för detta ändamål vara klarlagda. Det ska bland annat framgå att marken är lämplig med hänsyn till möjligheterna att ordna vattenförsörjning och avloppslösning. Här förutsätts att platsen ska ha förutsättningar för det tänkta ändamålet. Det ska inte behöva utföras några extraordinära åtgärder på platsen för att öka lämpligheten. Att utredningen om vatten och avlopp har en avgörande betydelse för möjligheten att ge bygglov eller förhandsbesked framgår bland annat av följande rättsfall där ansökan om förhandsbesked i samtliga fall avslogs:
Ibland kan förutsättningarna för att anordna en godtagbar lösning för vattenförsörjning och avlopp vara väldigt begränsade på den tilltänkta platsen för byggnation. Då kan det enklaste sättet att avgöra om marken är lämplig för bebyggelse utifrån möjligheterna att lösa VA-frågorna, vara att sökanden parallellt med ansökan enligt PBL inkommer med en ansökan om avloppstillstånd enligt MB. Att en sådan ansökan ges in kan dock aldrig vara ett formellt krav för att beslut om förhandsbesked eller bygglov ska kunna fattas.
Bygglovshandläggarna har tio veckor på sig att meddela beslut om lov eller förhandsbesked. Det framgår av 9 kap. 27 § PBL. Tidsfristen räknas från att den fullständiga ansökan kom in och ska normalt också innefatta tid för att skicka ärendet på remiss till miljöförvaltningen. Om miljöförvaltningen bedömer att det skulle behövas längre tid än vad som följer av remissen för att svara är det viktigt att snarast möjligt kontakta bygglovshandläggaren och höra om det finns möjligheter till förlängning. Om komplettering av uppgifter behövs från den sökande för att miljöförvaltningen ska kunna svara på remissen, kan detta vara en anledning till att remissvaret inte kan lämnas inom önskad tid. Däremot är inte byggnadsnämndens handlingar kompletta innan remissvaret från miljöförvaltningen har lämnats.
Den 1 december 2025 träder nya bygglovsbestämmelser om friggebodar och attefallshus i kraft. Läs mer hos Boverket.
Avsnittet nedan om små avlopp och attefallshus med mera är under uppdatering.
Den som har ett en- eller tvåbostadshus kan, förutom en friggebod på maximalt 15 kvadratmeter, även få uppföra ett så kallat ”attefallshus” på maximalt 25 kvadratmeter. Till skillnad från friggeboden får attefallshuset inredas som en självständig bostad och får användas både som fritidsbostad och permanentbostad. I så fall är den ett komplementbostadshus. Det är också möjligt att använda attefallshuset som till exempel uthus, garage, förråd, trädgårdsväxthus, gäststuga, bastu eller båthus. Då är det en komplementbyggnad (Boverket, 2018).
Det är lämpligt att tillsammans med byggförvaltningen upprätta en rutin så att miljöförvaltningen får information om de anmälningsärenden om attefallshus med anslutning till en liten avloppsanläggning som gjorts till byggförvaltningen. Miljöförvaltningen behöver information om dessa ärenden eftersom det enligt miljöbalkens bestämmelser krävs tillstånd eller anmälan för inrättande eller ändringar av avloppsanläggningar, se kapitlet Vad är tillståndspliktigt respektive anmälningspliktigt?. För bedömning av sådana ärenden se även avsnittet om attefallshus i kapitlet Bedömning av tillåtlighet, anläggningens förutsättningar.
Det kan finnas anledning för bygg- och miljöförvaltningarna att även ta fram rutiner för hur avloppsfrågan ska hanteras vid andra bygglovsbefriade åtgärder. Exempelvis krävs det inte bygglov för att i ett enbostadshus inreda ytterligare en bostad. Däremot krävs det en anmälan till byggförvaltningen. Även här kan det bli frågan om att bedöma om den befintliga avloppsanläggningen är tillräcklig.
För att tillstånd till enskilda avloppslösningar inte ska beviljas förutsättningslöst i områden där det till exempel finns ett kommunalt ansvar enligt lag om allmänna vattentjänster (LAV) behövs en god kommunal VA-planering.
För att kunna hantera frågan om var små avloppsanläggningar är en rimlig lösning behövs en kommuntäckande VA-plan, inte minst med utgångspunkt från kraven i § 6 LAV:
Om det med hänsyn till skyddet för människors hälsa eller miljön behöver ordnas vattenförsörjning eller avlopp i ett större sammanhang för en viss befintlig eller blivande bebyggelse, skall kommunen
Vid bedömningen av behovet enligt första stycket ska särskild hänsyn tas till förutsättningarna att tillgodose behovet av en vattentjänst genom en enskild anläggning som kan godtas med hänsyn till skyddet för människors hälsa och miljön
Den sista meningen i 6 § trädde i kraft den 1 januari 2023.
Samtidigt tillkom 6 § a-d som anger att det efter den 31 december 2023 ska finnas en aktuell vattentjänstplan i varje kommun. En vattentjänstplan ska innehålla kommunens långsiktiga planering av hur behovet av allmänna vattentjänster ska tillgodoses.
Bakgrunden till förändringarna i lagen om allmänna vattentjänster framgår av proposition 2021/22:208.
I vattenmyndigheternas åtgärdsprogram för 2022-2027 finns också upprättandet av VA-planer med som en åtgärd som kommunerna ska vidta.
Kommunerna ska upprätta eller revidera plan för dricksvatten, spillvatten och dagvatten (VA-plan) och genomföra åtgärder i enlighet med planen så att miljökvalitetsnormerna för yt- och grundvatten kan följas. Denna ska bland annat innehålla:
a) en beskrivning hur vattenförekomsternas status kan komma att påverkas av vatten och avloppshanteringen i kommunen
b) en riskanalys för de vattenförekomster som riskerar att inte följa miljökvalitetsnormerna Samverkan ska ske med berörd länsstyrelse.
Åtgärden ska påbörjas omgående och genomföras kontinuerligt.
(Åtgärd 5 till kommunerna i vattenmyndigheternas åtgärdsprogram för 2021-2027. Motsvarande fanns som åtgärd 7 i åtgärdsprogrammet för åren 2016-2021.)
Kommunen har ett behov av att kunna klargöra för fastighetsägare i kommunen hur VA-frågan ska ordnas både för om- och nybebyggelse samt vad som gäller för små avloppsanläggningar. VA-planen är lämpligen ett planeringsunderlag till kommunens översiktsplan för att skapa överblick och kunna redovisa både nuvarande situation och en planerad utveckling av hur VA-frågorna kommer att hanteras.
För att miljöförvaltningen tillfredsställande ska kunna planera sin tillsyn av små avloppsanläggningar behöver kommunens övergripande VA-planering resultera i en plan för utbyggnad av kommunalt VA som ger besked om vilka områden som ska prioriteras, i vilken ordning och vid vilken tidpunkt utbyggnad ska ske. Kopplat till utbyggnadsplanen behövs en handlingsplan i avvaktan på planerade åtgärder. Den bör beskriva vilka tekniska lösningar som är lämpliga i väntan på långsiktiga åtgärder och hur man ska hantera bygglovsärenden under tiden.
Det är viktigt att utbyggnadsplanen också innehåller en plan för uppföljning av anslutningsgraden. Bara för att det finns ett kommunalt verksamhetsområde är det inte självklart att alla fastigheter i området fysiskt ansluts då själva anslutningen via servisledning är förenad med ytterligare en kostnad. Därför måste det slås fast hur kontrollen, av att alla relevanta fastigheter är anslutna, ska ske. Planen bör också innehålla kriterier för när fastigheter inte behöver anslutas.
För områden som inte berörs av den planerade VA-utbyggnaden bör det utformas en handlingsplan för enskild VA-försörjning. Den har mycket gemensamt med handlingsplanen i avvaktan på planerade åtgärder, men den innehåller också en plan för att nå andra långsiktiga lösningar. Till exempel kan den beskriva hur fastighetsägare ska få stöd och uppmuntran att inrätta gemensamhetsanläggningar samt hur funktionskrav på små avloppsanläggningar ska kommuniceras till berörda fastighetsägare.
Avloppsfrågorna kan också behöva lyftas in i krisberedskapsplaneringen och översvämningsplaneringen och när nya vattenskyddsområdesbestämmelser tas fram (Havs- och vattenmyndigheten, 2014 c).
Vägledning för kommunal VA-planering finns i Havs- och vattenmyndighetens rapport 2014:1.
I väntan på att en fullständig VA-plan ska tas fram är det nödvändigt att kommunen åtminstone har mer kortsiktiga planer för utbyggnad av ledningsnätet. Det är viktigt för den enskilde fastighetsägaren, som står i begrepp att göra en investering i en ny avloppsanläggning, att veta att det inte blir något kommunalt verksamhetsområde inom överskådlig framtid. Bestämmelser om ersättning för onyttiggjord anläggning finns i lagen om allmänna vattentjänster.
Miljöbalken och lagen om allmänna vattentjänster (LAV) är fristående lagstiftningar utan formell koppling, men i realiteten spelar flera bedömningar som görs med stöd av miljöbalken stor roll för ansvaret enligt LAV. Om miljöförvaltningen bedömer att det inom ett område inte längre går att meddela fler tillstånd till små avloppsanläggningar, med hänsyn till
så kan det innebära att kommunens skyldighet att ordna avloppsfrågan enligt 6 § LAV gäller (Christensen, 2015).
Det finns ingen direkt koppling mellan ett kommunalt verksamhetsområde och möjligheten att inrätta eller ha kvar en fungerande liten avloppsanläggning. Tekniska förvaltningen kan inte tvinga någon att fysiskt ansluta sig till den allmänna VA-anläggningen och miljöförvaltningen kan inte generellt förbjuda små avloppsanläggningar inom ett verksamhetsområde för avlopp. Miljöförvaltningen kan dock förelägga en enskild fastighetsägare att ansluta sig till en befintlig allmän VA-anläggning, men det krävs att det finns sådana omständigheter i det enskilda fallet som gör att miljöbalken kan tillämpas med denna utgång, se avsnittet När fastigheten ligger inom kommunalt verksamhetsområde.
En förutsättning för en lyckad VA-planering är att det finns en god kommunikation mellan politiker och tjänstemän från olika enheter inom kommunen. Det finns också ett stort värde i att samverka med länsstyrelser och grannkommuner för att utbyta erfarenhet och kunskap, inte minst om kommunerna delar vattenförekomster. En väl genomförd VA-planering ger en beredskap och gör kommunen betydligt bättre rustad för att möta utmaningarna på VA-området och möjlighet att påverka utvecklingen i positiv riktning.
Den befintliga eller blivande verksamhetsutövaren för en liten avloppsanläggning är ofta en enskild fastighetsägare med begränsade kunskaper om vilka regler som gäller och vilken teknik som är lämplig att välja och är därför i stort behov av information. Miljöförvaltningen har skyldighet att ge information. Som handläggare är det samtidigt viktigt att känna till var gränserna för ansvaret går för att inte riskera att träda in i rollen som konsult.
Det är däremot inte handläggarens roll att ge specifika råd om vilken produkt eller leverantör den sökande bör välja, eller precis vilka åtgärder verksamhetsutövaren bör vidta för att en bristfällig avloppsanläggning ska uppfylla miljöbalkens krav.
Det är alltid den enskilde som ansvarar för val av anläggning och anläggande av denna och för vilka åtgärder som vidtas med en bristfällig anläggning.
En grundläggande princip för myndigheternas kontakter med enskilda har sedan länge varit att enskilda har rätt till service och hjälp. Det här uttrycks i 6 § i förvaltningslagen. Bestämmelsen lyder:
En myndighet ska se till att kontakterna med enskilda blir smidiga och enkla. Myndigheten ska lämna den enskilde sådan hjälp att han eller hon kan ta till vara sina intressen. Hjälpen ska ges i den utsträckning som är lämplig med hänsyn till frågans art, den enskildes behov av hjälp och myndighetens verksamhet. Den ska ges utan onödigt dröjsmål.
Serviceskyldigheten ska inte uppfattas som ett krav på att myndigheterna i alla lägen ska se till att enskilda kan undvika tidsödande arbete eller att myndigheten är skyldig att ge kvalificerad juridisk eller teknisk rådgivning.
Serviceskyldigheten är vidsträckt men inte obegränsad. Servicenivån måste anpassas till förutsättningarna i det enskilda fallet. Hjälp ska ges i den utsträckning som är lämplig med hänsyn till frågans art, den enskildes behov av hjälp och myndighetens verksamhet. I förvaltningslagens förarbeten (prop. 2016/17:180, s. 66-69) anges att det inte går att i lagtext närmare precisera hur omfattande hjälp en myndighet bör ge enskilda i olika typsituationer.
När myndigheten bedömer den enskildes behov av hjälp bör hänsyn tas till vilka resurser den enskilde har till sitt förfogande eller rimligen kan skaffa sig. Vidare bör allmänt sett större krav kunna ställas på näringsdrivande företag än vad som gäller för privatpersoner. En myndighet är dock aldrig skyldig att genomföra omfattande rättsutredningar för att kunna svara på frågor från enskilda. Även om resursbrist inte kan åberopas som ett skäl för att helt avstå att hjälpa den enskilde får myndigheten väga in sina resurser i bedömningen av hur mycket hjälp som är skäligt att ge i ett enskilt ärende. Detta i syfte att alla ska kunna få en rimlig och rättvis service.
Handläggaren ska alltså ge grundläggande stöd i både prövnings- och tillsynsärenden, exempelvis genom att informera och förklara lagstiftningen, ge information om hur verksamhetsutövaren kan skaffa sig ytterligare kunskap och även ge exempel på vilka avloppstekniker som har potential att klara den aktuella skyddsnivån på en viss plats. Den är dock alltid den sökande som väljer vad hen ansöker om och miljöförvaltningen måste då pröva ansökan.
I ett tillsynsärende där en avloppsanläggning behöver åtgärdas – men inte helt bytas ut- är det också verksamhetsutövarens ansvar att avgöra vilka specifika åtgärder som ska vidtas för att anläggningen ska få förutsättningar att uppfylla miljöbalkens krav. Här kan dock myndigheten hjälpa den enskilde att fatta beslut genom att till exempel kräva in utredning av vad bristerna beror på. Se även avsnitt Mindre brister.
Förvaltningslagens regler om serviceskyldighet gäller för all handläggning. Även i miljöbalken finns en särskild bestämmelse, 26 kap. 1 § andra stycket 2 miljöbalken, med krav på att myndigheten vid tillsyn ska hjälpa till och gäller vid tillsyn. Där framgår att tillsynsmyndigheten ska underlätta för en enskild att fullgöra sina skyldigheter genom information och liknande verksamhet. Även om detta krav särskilt har riktats mot tillsynsverksamheten bör handläggaren även i viss mån ta hänsyn till detta krav när man handlägger tillstånds/anmälningsärenden.
Ett främjande och förebyggande arbete får dock inte innebära att myndigheten gör de bedömningar och val som enligt gällande regler faller på verksamhetsutövaren. Myndigheten bör inte bistå en verksamhetsutövare med detaljerade råd, till exempel med att identifiera vilka åtgärder som är mest lämpliga eller vilken teknisk lösning som ska väljas. Råden bör istället stödja hur en verksamhetsutövare metodiskt kan gå till väga för att ta fram åtgärder som är lämpliga att vidta för att åstadkomma lagefterlevnad.
Handläggaren ska ge information om vilka uppgifter som behöver redovisas för att ansökan/anmälan ska kunna handläggas. Här kan det behövas ganska detaljerad information för att den sökande ska förstå vad som krävs. Skyldigheten att ge service, råd och information kan till exempel uppfyllas genom att miljöförvaltningen erbjuder individuella informationsmöten för den sökande i samband med att ansökan/anmälan skickas in. Om informationen når den sökande i ett tidigt skede kan det underlätta ansökningsprocessen och minska behovet av komplettering.
När ansökan väl har kommit in kan det vara så att handläggaren egentligen anser att en annan typ av anläggning eller en helt annan placering bättre skulle uppfylla balkens krav, men det är den sökande som väljer vad och var hen vill anlägga och då är handläggaren bunden av detta val. I rollen som prövningshandläggare ingår enbart att pröva om den sökta anläggningen uppfyller miljöbalkens krav och om tillstånd kan medges utifrån de förutsättningar som finns redovisade i ansökan. Det är inte korrekt att begära in alternativa tekniklösningar eller placeringar från den enskilde.
Enligt HaV:s uppfattning är dock en begäran om att sökanden ska komplettera ansökan med förslag till skyddsåtgärder (vilket kan krävas med stöd av 22 kap. 1 § och 19 kap. 5 § MB) inte likställt med att begära in alternativa tekniklösningar eller placeringar. Mindre förändringar eller kompletteringar, såsom flytt av utsläppspunkt eller tillägg av efterpoleringssteg, kan till exempel vara skyddsåtgärder som behövs för att anläggningen ska vara tillåtlig med den ansökta placeringen eller tekniken.
Miljöförvaltningen kan också begära att den sökande redovisar varför denne anser det orimligt dyrt att välja en lösning som bättre skulle uppfylla kraven i hänsynsreglerna (till exempel 2 kap. 5-6 §§ MB) enligt förvaltningens uppfattning. Miljöförvaltningen behöver i så fall precisera vilken typ av lösning som skulle kunna vara teoretiskt möjlig på fastigheten och som bedöms ge bättre uppfyllelse av hänsynsreglerna och den sökande behöver inkomma med en kostnadsberäkning av detta alternativ och ett motiv till varför hen anser att den lösningen hen själv valt ändå ska tillåtas.
Av begäran om komplettering måste det på ett tydligt sätt framgå vilken utredning som den sökande ska komplettera ansökan med. Det är inte tillräckligt att begära in oprecisa uppgifter som exempelvis ”ni ska visa att den anläggning ni ansöker om uppfyller miljöbalkens krav”. Se även sidan Komplettering
Verksamhetsutövare, eller blivande sådana, efterfrågar ofta hjälp från handläggaren och man vill kunna diskutera sina frågor och planer. Många vill till exempel ha specifika besked om vilka avloppslösningar som passar bäst på den egna fastigheten eller vilka åtgärder som bäst vidtas för att en anläggning med brister ska kunna godtas. Handläggarens roll i en sådan situation är inte att ge specifika råd, exempelvis genom att rekommendera en producent eller leverantör av särskilda lösningar. Däremot bör en handläggare exempelvis kunna förklara vad som är känsligt i omgivningen och även generellt ange vilken typ av teknik som uppfyller miljöbalkens krav i den aktuella skyddsnivån. Det är viktigt att man som handläggare av en ansökan/anmälan anger att det bara är råd och exempel som anges, inget myndighetskrav, och att den slutgiltiga prövningen kan göras först när ansökan är komplett. Det är också viktigt att den sökande är medveten om att det är denne som ytterst ansvarar och väljer teknik när ansökan lämnas in. Tydlighet om vad som är råd och vad som är krav är av största vikt eftersom den enskilde ofta kan tolka allt som en handläggare säger som ett krav, även om detta inte var handläggarens avsikt. Otydlighet i handläggarens roll skulle även kunna leda till att handläggningen inte blir juridiskt korrekt och att skadeståndsanspråk riktas mot kommunen, se avsnittet Skadeståndsansvar.
Handläggarens roll är inte att ge rekommendationer om vilken specifik teknisk lösning eller produkt som kan anläggas på en viss fastighet. Däremot bör handläggaren till exempel kunna upplysa den sökande om omgivningen är känslig för påverkan från fosfor och av den anledningen behöver klara hög skyddsnivå, samt ge exempel på tekniska lösningar som skulle kunna klara detta, till exempel fosforfälla, kemisk fällning av fosfor eller att WC-spillvattnet omhändertas separat. Foto, vänster: Charlotta Larsson Foto, mitten och höger: Bodil Forsberg. Klicka på bilden för en större version.
Det är viktigt även ur ett jävsperspektiv att handläggaren inte ger alltför omfattande råd i samband med tillståndsprövningar. Det kan ofta vara samma handläggare som ger tillstånd till en anläggning och sedan ska granska anläggningen i tillsynen. Ger handläggaren alltför specifika råd i prövningsskedet ökar risken för att hamna i intressekonflikter vid tillsynsverksamheten.
Det är betydelsefullt att handläggaren inte tolkar serviceskyldigheten på ett sådant sätt att man går utöver sin roll som myndighetsföreträdare och istället agerar som konsult. Den enskilde kan uppfatta situationen som att handläggaren varit för styrande genom att exempelvis ge detaljerade råd om lämpliga åtgärder för att rätta till en anläggning med brister eller råd om val av anläggning och installation. Om det sedan visar sig vara felaktiga instruktioner så kan det under vissa förutsättningar finnas grund för en skadeståndstalan mot kommunen. Bestämmelserna finns i skadeståndslagen och handlar om att kommunen ska ersätta skada som vållats genom fel eller försummelse i myndighetsutövning (3 kap. 2 §) eller vid lämnande av felaktiga upplysningar eller råd (3 kap. 3 §).
Enligt denna bestämmelse ska kommunen ersätta ekonomisk skada som vållas av att kommunen genom fel eller försummelse lämnar felaktiga upplysningar eller råd, om det med hänsyn till omständigheterna finns särskilda skäl. Den information som lämnats måste vara felaktig – inte bara exempelvis dålig eller bristfällig. Det ska också föreligga särskilda skäl och ett sådant kan vara om myndigheten riktat sin information till den som lidit skadan till exempel genom ett skriftligt meddelande eller en särskild muntlig uppmaning. Det är här viktigt hur den enskilde har uppfattat myndighetens uttalande och om myndigheten har kunnat förstå uttalandets betydelse för den enskilde.
Även om det inte finns grund för skadeståndsanspråk kan exempelvis vilseledande information från myndigheten innebära att en miljösanktionsavgift inte döms ut. Detta förutsatt att den vilseledande informationen varit avgörande för att åtgärden som miljösanktionsavgiften avsåg vidtogs, se MÖD:s dom M 4663-20.
För att undvika skadeståndsgrundande situationer är det viktigt att handläggaren är tydlig under hela handläggningen vid såväl tillsyn som prövning med att det är den enskilde som ansvarar för val av åtgärder, val av anläggning och anläggande av denna och att de råd som eventuellt lämnas bör stämmas av med sakkunnig av den sökande.
Det bör alltid finnas utrymme för en erfaren och kunnig handläggare att inom serviceskyldighetens ramar kunna ge den enskilde efterfrågade råd och information utan att gå in för mycket på detaljer.
Med ”inrätta avloppsanordning” jämställs åtgärder på befintliga anläggningar som innebär att reningstekniken byts eller lokaliseringen ändras.
Anmälningsplikt gäller för att anlägga andra avloppsanläggningar än sådana med vattentoalett, samt för att ändra anläggningar som avses i § 13 FMH om ändringen kan medföra väsentlig ändring av avloppsvattnets mängd och sammansättning.
Underhåll är vare sig anmälnings- eller tillståndspliktigt. Med underhåll avses bland annat utbyte av förslitningsdelar (till exempel pumpar och T-rör) samt byte av slamavskiljare eller sluten tank om den placeras på samma plats som enligt tidigare tillstånd.
Att inrätta en avloppsanordning med vattentoalett eller att ansluta en vattentoalett till en befintlig avloppsanordning är tillståndspliktigt vilket framgår av 13 § FMH.
Anläggandet av avloppsanordningen får därför inte påbörjas innan tillståndet har vunnit laga kraft. Undantaget är åtgärder inom ramen för undersökning och projektering som till exempel provgropar eller liknande undersökningar. Sökanden kan dock med stöd av 19 kap. 5 § och 22 kap. 28 § MB begära att tillståndet ska få tas i anspråk även innan det har vunnit laga kraft, ett s.k. verkställighetsförordnande.
Att det räcker med att påbörja tillståndspliktiga åtgärder, som till exempel att anlägga en trekammarbrunn, för att anses ha inrättat en avloppsanläggning stöds av dom i mål M 4187-12 från MMD. I dom från MÖD i mål M 5807-18 konstaterade dock MÖD att ”den åtgärd som nämnden har lagt NN till last är en bortgrävning av jord till några decimeters djup, av nämnden benämnt schaktbotten. En sådan åtgärd kan inte likställas med att inrätta en tillståndspliktig avloppsanordning, oavsett vad syftet med borttagandet av jorden var.”
I mål M 2950-22 ansåg MÖD att installationen av ett så kallat gråvattenfilter var att jämställa med inrättande av en ny avloppsanläggning eftersom det innebar en ny teknisk lösning på fastigheten och att installationen av filtret medförde nya krav på verksamhetsutövaren vad gäller bl.a. egenkontroll och omhändertagande av avfall. Inrättande av avloppsanordning för bad-, disk- och tvättvatten var tillståndspliktigt enligt kommunens lokala föreskrifter för att skydda människors hälsa och miljön.
Inrättande av avloppsanläggning utan tillstånd kan innebära att bestämmelser om miljösanktionsavgift blir aktuella, se avsnitt Miljösanktionsavgift.
Tillståndsplikt kan utöver nyanläggning av avlopp uppkomma för åtgärder på befintliga anläggningar som går utanför givet tillstånd. Det är då att se som en nyanläggning.
Genom rättspraxis har slagits fast att tillståndspliktiga åtgärder är
Att till exempel ändra teknik från infiltration med biomoduler till konventionell infiltration (och omvänt) är således en tillståndspliktig ändring som behöver bedömas av miljökontoret eftersom funktionen kan skilja sig åt. Tillståndet är givet utifrån vissa förutsättningar som till exempel hur anläggningen fysiskt ska utföras vilket kan skilja sig avsevärt åt mellan en konventionell infiltration och en infiltration med moduler. Det blir också svårt för miljöförvaltningen att i ett senare skede bedriva tillsyn på anläggningen om det inte framgår av handlingarna vilken typ av anläggning som finns på fastigheten, vilket inte gynnar den enskilde verksamhetsutövaren.
Ny ledningsdragning eller att lägga till ett reningssteg, såsom till exempel komplettering av ett minireningsverk med en efterföljande infiltration, innebär också enligt Havs- och vattenmyndighetens tolkning en ändrad lokalisering och är därmed tillståndspliktiga ändringar.
Sammanfattningsvis finns stöd i rättspraxis för att åtgärder där själva avloppsanläggningen ändras i sådana delar som avser funktioner som är viktiga i anläggningen det vill säga tekniken ändras i anläggningen, eller där lokaliseringen av viktiga delar av anläggningen ändras, är att jämställa med inrättande av en anläggning och är därför tillståndspliktiga. Även att leda avlopp från en urinseparerande vattenspolande toalett eller liknande till en befintlig BDT-anläggning är att anse som tillståndspliktigt då det är att jämföra med att ansluta en vattentoalett till en befintlig avloppsanordning.
Enligt 15 § FMH behövs varken anmälan eller tillstånd om avloppsanläggningen bara är avsedd att föra avloppsvattnet till allmänt avloppsledningsnät eller en allmän avloppsanläggning. Det krävs emellertid medgivande från anläggningens huvudman för att få ansluta till ett allmänt eller gemensamt ledningsnät.
Kommunen får, om det behövs för att skydda människors hälsa eller miljön, utfärda lokala hälsoskyddsföreskrifter. De lokala föreskrifterna kan enligt fjärde stycket 13 § FMH reglera att även andra slag av avloppsanläggningar, till exempel BDT-anläggningar, ska vara tillståndspliktiga. Detsamma gäller för inrättande av andra typer av toaletter än vattentoalett som kan regleras enligt 40 § pt 3 FMH. Förbud och tillståndsplikt kan även föreskrivas i lokala vattenskyddsföreskrifter med stöd av 7 kap. 22 § MB, se vidare avsnittet Vattenskyddsområden.
Andra stycket i 13 § FMH innebär att en anmälan till den kommunala nämnden krävs för att anlägga en annan avloppsanläggning än en sådan som avses i första stycket. Det innebär att anläggningar för rening av BDT-spillvatten från ett hushåll normalt sett är anmälningspliktiga, såvida inte de omfattas av tillståndsplikt enligt lokala hälsoskyddsföreskrifter, se ovan.
En viktig skillnad mellan tillstånds- och anmälningsplikten är att verksamhetsutövaren i anmälningsärenden inte behöver invänta ett beslut från miljöförvaltningen innan åtgärderna vidtas. Å andra sidan har myndigheten möjlighet att i efterhand förelägga om att anläggningen ska ändras om den inte motsvarar de krav som miljöförvaltningen anser är nödvändiga för att skydda människors hälsa eller miljön. Se även avsnitt Anmälan.
Av 14 § FMH framgår att det är förbjudet att utan anmälan till den kommunala nämnden ändra sådana avloppsanordningar som avses i 13 §, om åtgärden kan medföra väsentlig ändring av avloppsvattnets mängd eller sammansättning. En åtgärd som enbart förändrar förutsättningarna för rening av avloppsvattnet utan att ändra teknik eller lokalisering är alltså anmälningspliktig.
Vad som är en väsentlig ändring bör bedömas i relation till belastningen på den befintliga anläggningen. Såväl en ökning som minskning av belastningen kan betraktas som en väsentlig ändring.
Åtgärder som kan innebära en väsentlig ändring av avloppsvattnets mängd eller sammansättning, även om syftet är att förbättra anläggningen, kan till exempel vara att
Exemplen på åtgärder ovan skulle i vissa fall kunna innebära en tillståndspliktig åtgärd om de går utanför givet tillstånd, en bedömning som utgår från hur det specifika tillståndet är skrivet behöver därför göras i varje enskilt fall.
Observera att om det handlar om en större anläggning som har en högre belastning än från några enstaka fastigheter så är det inte säkert att ovanstående förändringar innebär vare sig väsentlig ändring av mängd eller sammansättning.
Syftet med anmälningsplikten är framförallt att ge tillsynsmyndigheten möjlighet att förhindra att ändringar i anläggningen eller i det vatten som tillförs påverkar anläggningens livslängd och funktion, vilket i sin tur gynnar såväl verksamhetsutövaren som miljön. Det ger också tillsynsmyndigheten möjlighet att uppmärksamma om den planerade ändringen eventuellt är tillståndspliktig eller om den anmälda renoveringen av en gammal anläggning inte kommer att leda till att anläggningen uppfyller kraven i miljöbalken. Ett exempel på det senare kan vara om en äldre anläggning avses uppdateras med samma föråldrade teknik som då den anlades.
Miljöförvaltningen kan utan anmälningsplikten inte heller avråda från onödiga investeringar såsom kompletterande reningsteknik som kanske inte behövs. Om anläggningen renoveras och till exempel allt bäddmaterial byts ut så är det också en viktig information om anläggningen som kan påverka tillsynsmyndighetens bedömning av anläggningen i framtiden, framförallt vad gäller livslängd och reningsfunktion för markbaserade anläggningar. Det är alltså en fördel för verksamhetsutövaren att en anmälan görs och att sådan information om anläggningen sparas hos tillsynsmyndigheten. Se även avsnittet Beslut i anmälningsärenden.
Notera att punktlistan ovan med exempel på omständigheter som skulle kunna innebära anmälningsplikt ingenting säger om bedömningen av en anmälan. Jämför med till exempel avsnitt Dimensionering under kapitlet Anläggningens förutsättningar.
Om en åtgärd till exempel enbart utförs i syfte att underhålla den tillståndsgivna anläggningen och ingen ny teknik tillförs anläggningen eller delar av anläggningen flyttas till ny plats så krävs inte något nytt tillstånd. Sådana åtgärder som inte bedöms ändra avloppsvattnets mängd och samman-sättning anses rymmas inom det befintliga tillståndet.
Underhåll omfattas alltså inte av 13 eller 14 § FMH. Med underhåll avses bland annat till exempel. utbyte av T-rör eller förslitningsdelar som pumpar samt byte av slamavskiljare eller sluten tank om den placeras på samma plats som enligt tidigare tillstånd. Även om inget formellt krav finns på tillstånd eller anmälan för att byta ut till exempel en slamavskiljare och placera den på samma plats, så måste ändå slamavskiljaren vara anpassad till anläggningens dimensionering.
Det kan vara en fördel för en verksamhetsutövare inför framtida tillsyn, att ha dokumenterat och meddelat miljöförvaltningen vilka underhållsåtgärder som gjorts även om inget krav finns på att anmäla eller söka tillstånd.
Prövningen av små avlopp omfattar både anläggandet och driften av anläggningen, även om det bara är själva anläggandet som är tillståndspliktigt. I tillståndet kan även villkor som gäller driften fastställas.
Miljöförvaltningen ska i prövningen beakta, utöver de rent avloppstekniska frågorna, även andra miljöbalksfrågor såsom påverkan på naturmiljöer och vattenskyddsområden. Vissa av dessa frågor ingår i tillståndsprövningen i betydelsen att det är miljö-förvaltningen som äger frågan. Inget separat beslut ska fattas utan bedömningen och beslutet ligger i själva tillståndsprocessen för avloppsanläggningen. Strandskydd är en sådan fråga.
Andra frågor ska inte prövas inom ramen för själva tillståndsprövningen av avloppsanläggningen. Även dessa frågor kan dock ha betydelse för bedömningen i tillståndsprövningen, men antingen finns en annan myndighet som ska pröva frågan, alternativt ska miljöförvaltningen pröva frågan men i en separat process. Det innebär i många fall behov av att remittera avloppsärendet till en annan aktör. Fornlämningar och biotopskydd är sådana frågor.
Slutligen finns frågor som miljöförvaltningen inte alls ska beakta. Dit hör civilrättsliga frågor såsom servitut.
Med prövningens omfattning menas vad som ska ingå i prövningen, det vill säga vilka bedömningar som ska göras och vad man kan reglera i ett tillstånd. Av praxis som rör prövning av miljöfarlig verksamhet framgår att all relevant miljöpåverkan ska ingå i tillståndsprövningen oavsett om delar av den planerade verksamheten inte omfattas av tillståndsplikt. På samma sätt måste också underlaget omfatta all relevant miljöpåverkan så att en samlad bedömning av avloppsanläggningens miljöpåverkan kan göras vid tillståndsprövningen. Vad som är rimligt att kräva av en anmälan, som formellt inte är en prövning utan ett tillsynsärende, framgår av Granskning av ansökan/anmälan.
Utsläppet av avloppsvatten utgör oftast en stor del av miljö- och omgivningspåverkan från anläggningen och därför ska även hälso- och miljöpåverkan av driften omfattas av prövningen.
Till sådant som miljöförvaltningen ska beakta i prövningen hör utöver de rent avloppstekniska frågorna (risk för smittspridning, påverkan på yt- och grundvattenrecipient, dimensionering, möjlighet till slamtömning, infiltrationskapacitet etc.) även andra miljöbalksfrågor såsom påverkan på naturmiljöer. Nedan redovisas några exempel där sådana frågor ingår i tillståndsprövningen i betydelsen att det är miljöförvaltningen som äger frågan. Inget separat beslut ska fattas utan bedömningen ligger i själva tillståndsprocessen för avloppsanläggningen.
Kan en verksamhet eller åtgärd som inte omfattas av tillstånds- eller anmälningsplikt enligt andra bestämmelser i denna balk komma att väsentligt ändra naturmiljön ska anmälan för samråd göras hos den myndighet som utövar tillsynen enligt bestämmelser i 26 kap eller bestämmelser som har meddelats med stöd av samma kapitel. (…)
Om en avloppsanläggning lokaliseras så att ett Natura 2000-område riskerar att påverkas så är även det en prövning som ska hanteras av miljöförvaltningen. Men det kräver till skillnad från punkterna ovan en egen beslutsmening i avloppstillståndet.
Det finns andra frågor som kan uppkomma i samband med handläggning av en tillståndsansökan, men som miljöförvaltningen inte ska pröva inom ramen för själva tillståndsprövningen av avloppsanläggningen. Även dessa frågor kan dock ha betydelse för bedömningen i tillståndsprövningen, men antingen finns en annan myndighet som ska pröva frågan, alternativt ska miljöförvaltningen pröva frågan men i en separat process. Några exempel:
Slutligen finns det frågor som miljöförvaltningen inte ska ta in alls i sin tillståndsprövning:
Även om det finns många frågor som kan uppkomma i samband med prövning av en liten avloppsanläggning så är långt ifrån alla frågor relevanta i varje ärende. Har miljöförvaltningen tillgång till ett digitalt kartsystem med uppdaterade Gis-lager över vattenskyddsområden, naturreservat, strandskydd, fornlämningar etc. kan handläggaren tidigt i ärendet sortera bort de flesta av de frågor som är irrelevanta för den aktuella lokaliseringen.
Eftersom en tillståndsprövning ska täcka alla relevanta miljöfrågor bör också alla centrala miljöaspekter regleras i samband med en prövning av tillåtlighet till en viss anläggning. Utgångspunkten är att ett tillstånd måste förenas med de villkor som är nödvändiga för tillåtligheten. Även om alla uppgifter ska finnas med i ansökan så kan villkoren lyfta fram sådant som är särskilt viktigt att reglera vad det gäller till exempel byggnation eller egenkontroll av själva avloppsanläggningen.
I praxis har man länge ansett att tillståndet för små avlopp gäller för både inrättandet och driften, även om tillstånd enligt 13 § FMH krävs för inrättandet. Därmed har domstolarna ansett att tillståndet också kan förenas med villkor som avser driften och att driften av en avloppsanläggning kan tidsbegränsas (se till exempel MÖD:s dom i mål M 3682-04). Se även Tillstånd kan tidsbegränsas.
För att prövningen ska täcka alla relevanta miljöfrågor behöver alltså även driften av avloppsanläggningen ingå i prövningen. Därmed behöver underlaget för tillståndsprövningen omfatta samtliga miljöeffekter som kan uppkomma både vid anläggandet och vid driften av en anläggning. Vilket underlag som bör ingå i en prövning framgår av avsnitt Vilka uppgifter ska en ansökan/anmälan innehålla? I vägledningen har vi utgått ifrån att driften regleras genom villkor i tillståndet.
I denna del beskriver vi:
För att tillstånd ska kunna ges behöver beslutsunderlaget tillräckligt väl beskriva förhållandena på platsen och konsekvenserna av om en avloppsanläggning placeras på den föreslagna platsen. Detta framgår av en dom från MÖD, M 2723-08.
När det gäller anmälningsärenden kommer omfattningen av en anmälan behöva bedömas från fall till fall utifrån risk för olägenhet för hälsa och miljö. Även om handläggningen av dessa ärenden kan förenklas så gäller ändå vissa minimikrav enligt förvaltningslagen. Till exempel ska tillsynsmyndigheten enligt 23 § FL alltid se till att ett ärende blir utrett i den omfattning som dess beskaffenhet kräver, häri kan det även ingå att begära in yttrande från annan myndighet eller någon enskild (se 26 § FL). Vidare ska allt nytt material kommuniceras med berörda parter innan beslut fattas i ärendet (se 25 § FL) om det inte kan anses uppenbart obehövligt.
I granskningsskedet av ett anmälnings- eller tillståndsärende behöver miljöförvaltningen även göra en första kontroll av vilka remissinstanser som är berörda. Om miljöförvaltningen gör bedömningen att risken är stor att anläggningen inte kan utföras som avsett så är det bättre att invänta remissinstansernas svar innan sökanden går vidare med eventuell komplettering av ansökan, se avsnitt Kommunikation och remiss.
Den som släpper ut avloppsvatten bedriver miljöfarlig verksamhet enligt miljöbalkens definition i 9 kap. 1 § MB och är därmed verksamhetsutövare. Den som söker tillstånd för en avloppsanläggning eller anmäler en anläggning eller ändringar ska genom utredningar, ritningar osv. visa att denna uppfyller balkens krav och att utsläpp av hushållsspillvatten kan ske utan att hänsynsreglerna i 2 kap. och 9 kap. 7 § MB överträds. Sökande ska exempelvis ha kunskap om effekterna av utsläppet och kunna beskriva hur negativ påverkan kan minimeras genom försiktighetsmått eller skyddsåtgärder. Om sökande inte själv har denna kunskap måste hen se till att skaffa hjälp från sakkunnig. Det är alltid den som ansöker/anmäler som ansvarar för att alla uppgifter och utredningar som bifogas ansökan/anmälan är korrekta.
I praktiken saknar de flesta verksamhetsutövare med en liten avloppsanläggning (som oftast är privatpersoner) denna kunskap och är därför i stort behov av oberoende information samt råd och vägledning. Vilken information och stöd som miljöförvaltningen är skyldig att ge finns beskrivet i avsnittet Handläggarens roll.
Det är den som är ansvarig för inrättandet som är verksamhetsutövare och ansvarar för att tillstånd söks eller att anmälan lämnas in. Den som släpper ut hushållsspillvatten på fastigheten är också ansvarig för att utsläpp kan ske utan att olägenhet för människors hälsa eller miljön uppkommer och att lämpliga avloppsanordningar eller andra inrättningar utförs, se 9 kap. 7 § MB. En inhyrd entreprenör kan inte åläggas detta ansvar.
Det finns dock inget formellt hinder för att entreprenören själv står som sökande eftersom den sökande inte måste äga marken där avloppet avses placeras, se även avsnitt Den sökande måste inte äga marken. Entreprenören ansöker och tillstånd och mottar beslutet. Den som ska ha anläggningen deltar inte i processen annat än som eventuell part på grund av att hen äger marken där anläggningen placeras.
Ett vanligt fall är att husbyggarföretag uppför nyckelfärdiga hus med färdiga avloppslösningar och där äganderätten övergår först när huset är slutbesiktigat och klart. Då är det husbyggaren som bär ansvaret för att tillstånd söks eller att anmälan görs.
Lagstiftningen ger inte generellt stöd för att ansökan/anmälan ska vara undertecknad. Av 21 § förvaltningslagen framgår att en handling ska bekräftas av avsändaren om myndigheten anser att det behövs. I fall där det är osäkert vem som är avsändare för anmälan eller ansökan kan det dock finnas anledning att undersöka vem avsändaren är, men det finns andra sätt att bekräfta identiteten på en person än undertecknande av en handling (se prop. 2016/17:180, s. 137). En kontakt per telefon eller e-post kan ge tillförlitlig information i identitetsfrågan, men också till exempel ”undertecknande” genom e-signatur.
I praktiken är det ofta en entreprenör som ”sköter ansökan” för den sökande och i dessa fall är det viktigt att handläggaren begär in en skriftlig fullmakt från sökanden som visar att entreprenören har rätt att företräda denne. Det är till den sökande som tillståndet eller föreläggandet om skyddsåtgärder adresseras. Entreprenören agerar endast som ombud och sköter handläggningen för den sökandes räkning.
Det finns inget krav i miljöbalken på att man måste äga fastigheten för att få ansöka om tillstånd för att anlägga en avloppsanläggning på den. Detta innebär att det går att söka och få tillstånd till en anläggning på annans fastighet om alla balkens krav är uppfyllda. För att kunna ta tillståndet i anspråk krävs dock att tillståndshavaren skaffat sig förutsättningar att använda marken och anläggningen. När miljöförvaltningen behandlar en ansökan som gäller placering på annans mark är fastighetsägaren en part som ska ingå i utredningen och få yttra sig. Om det då skulle framgå att fastighetsägaren helt motsätter sig den sökta anläggningen bör handläggaren samråda med sökanden om det finns anledning att fortsätta handläggningen eller om ansökan ska återtas.
Läs mer under avsnittet Civilrättsliga förhållanden.
Är det flera fastigheter som gemensamt bestämt sig för att göra en avloppsanläggning ihop är det vanligt - och enklast juridiskt sett - att det antingen är en ekonomisk förening eller en samfällighetsförening för en gemensamhetsanläggning som står som sökande. Skulle så inte vara fallet är det de eller den, eller eventuellt en juridisk person, som skrivit under ansökan som är ansvarig/a gentemot miljöförvaltningen.
En ekonomisk förening har minst tre medlemmar. Både juridiska och fysiska personer kan vara medlemmar. Medlemmarna är personligen knutna till föreningen, inte fastigheten, vilket innebär att om fastigheten säljs så är varken den nya fastighetsägaren eller fastigheten med i den ekonomiska föreningen.
Gemensamhetsanläggning bildas vid en lantmäteriförrättning enligt anläggningslagen. Där bestäms det hur anläggningen ska utformas och skötas, men också hur kostnader ska fördelas mellan de deltagande fastigheterna. Eftersom det är fastigheterna och inte fastighetsägarna som är anslutna till gemensamhetsanläggningen, så är även nya ägare till de deltagande fastigheterna bundna av det som bestämts i anläggningsbeslutet.
Det finns två olika former för förvaltning av en gemensamhetsanläggning: föreningsförvaltning (genom en samfällighetsförening) eller genom delägarförvaltning. Vid föreningsförvaltning finns en styrelse och det räcker med att en majoritet av medlemmarna i föreningen är överens när de fattar beslut. Sökande kan vara föreningen. I det senare fallet med delägarförvaltning måste alla delägare delta i alla beslut. Då kan sökande vara de enskilda fastighetsägarna.
Det är i första hand den eller de sökande som också blir verksamhetsutövare och därmed har ansvar för att tillståndet och villkoren följs under inrättandet. Om de fastigheter som ska dela på en avloppsanläggning inte bildar en gemensamhetsanläggning eller ekonomisk förening, men är överens om att de ska ha ett delat ansvar, kan det därför vara mest praktiskt att samtliga ägare står som sökande.
Det underlättar om gemensamma avloppsanläggningar har civilrättsliga avtal som reglerar fastigheternas inbördes förhållanden, men detta är något som ligger utanför miljöförvaltningens ansvar att ge råd om.
Av 19 kap. 5 § miljöbalken framgår att kommunen ska tillämpa bestämmelserna i 22 kap. 1 § när ett tillståndsärende prövas. I 22 kap. 1 § miljöbalken regleras att en ansökan ska vara skriftlig och vad den ska innehålla. För en tillståndsansökan om en avloppsanläggning är det främst p 1-2 och 4-5 som är relevanta. 22 kap. 1 § miljöbalken täcker inte in allt som miljöförvaltningen behöver uppgifter om för att kunna pröva en ansökan eller anmälan om en avloppsanläggning. I följande avsnitt ges exempel på sådant som en ansökan/anmälan bör innehålla därutöver, samt en konkretisering av 22 kap. 1 § miljöbalken.
Av 19 § FL framgår att en anmälan ska innehålla uppgifter om den enskildes identitet, vad ärendet gäller samt vilka omständigheter som ligger till grund för anmälan. HaV anser allmänt att en anmälan gällande en liten avloppsanläggning behöver vara skriftlig och innehålla de uppgifter, samt de ritningar och tekniska beskrivningar som behövs för att bedöma den anläggning som avses i anmälan.
Vid en anmälan om ändring av en tillståndspliktig anläggning finns antagligen många uppgifter som behövs för bedömningen i ansöknings- och tillståndshandlingar sedan tidigare. Närmare uppgifter om vilka ändringar av anläggningen som anmälan avser samt vilka följder detta kan antas innebära för avloppsvattnets mängd och sammansättning bör dock alltid ingå i en ändringsanmälan.
Till administrativa uppgifter hör sådant som den sökandes namn, adress och kontaktuppgifter samt fastighetsbeteckning och fastighetens adress om den är en annan än den sökandens. Se även avsnittet Sökandens/verksamhetsutövarens ansvar.
Den sökande behöver redovisa ritningar samt tekniska beskrivningar med de uppgifter som är nödvändiga för att kunna bedöma reningsfunktion, driften och behovet av övervakning av avloppsanläggningen. Detta omfattar en översiktlig beskrivning av avloppsanläggningens dimensionering, uppbyggnad och funktion samt dokumentation av reningsresultat enligt leverantörens uppgifter. Dokumentation av reningsresultat kan i förekommande fall vara en prestandadeklaration. Se avsnitt CE-märkta produkter och Ej CE-märkta eller begagnade CE-märkta produkter.
För att kunna bedöma anläggandet behöver ansökan innehålla s.k. installationsanvisningar från leverantören av anläggningen. Installationsanvisningar är en beskrivning av hur avloppsanläggningen ska anläggas och/eller installeras för att funktionen ska kunna garanteras. Det kan handla om till exempel hur en slamavskiljare ska förankras, hur en viss anläggningsdel ska monteras eller hur anläggningen ska driftsättas. Dessutom behöver installationsanvisningarna också innehålla kritiska punkter för anläggandet, dvs. vad är speciellt viktigt att ha kontroll över vid installationen? Dessa kritiska punkter kan variera mellan olika anläggningstyper men kan till exempel vara kontroll av:
Med hjälp av listan på de kritiska punkterna kan miljöförvaltningen utforma ett utförandeintyg med kontrollplan. Se även avsnitt Utförandeintyg med kontrollplan.

Driftsättning av minireningsverk. Hur driftsättningen ska gå till bör vara redovisat i en installationsanvisning som är bifogad ansökan. Foto: Kungsbacka kommun.
Eftersom tillståndet bestämmer lokaliseringen av anläggningen till en viss plats är det viktigt att situationsplanen är tillräckligt utförlig och noggrann. Situationsplanen bör vara i skala 1:400 – 1:1000.
Av en situationsplan bör minst framgå
Beroende på platsens förutsättningar kan det i vissa fall finnas behov av att komplettera med en översiktlig situationsplan i till exempel storlek 1:3000, för att alla relevanta uppgifter ska finnas med.
Om det behövs för att kunna bedöma anläggandet, till exempel om det är tveksamt om man klarar av höjdförhållandena utan att lägga pump eller om avståndet till högsta grundvattenyta klaras, bör ansökan även innehålla en profilritning med längdsektion över anläggningen inklusive befintlig och eventuell framtida markyta, se figur 1 och 3. Lämplig skala är 1:50 - 1:100. Om anläggningen har ett utlopp till ytvatten bör högsta förväntade vattennivå i utsläppspunkten framgå av ritningen. Gäller det en infiltration bör på motsvarande sätt dimensionerande grundvattennivå framgå. Se avsnitt Vertikalt avstånd mellan infiltrationsnivå och grundvatten.
Är det väsentligt för att kunna bedöma hur anläggningen avses utföras, till exempel tjocklek på olika lager i en markbädd, bör ansökan innehålla en profilritning med tvärsektion, se figur 3. Profilritningar är även ett bra och tydligt underlag för entreprenören vid anläggningsarbetet. Även ett eventuellt grundvattenrör bör finnas med i profilritningen, se avsnitt Teknisk utformning - möjlighet till funktionskontroll.
Figur 1. Exempel på profilritning med längdsektion. Klicka på bilden för en större version.
Figur 2 Exempel på längdsektion sedd ovanifrån. Klicka på bilden för en större version.
Figur 3. Exempel på profilritning med tvärsektion. Klicka på bilden för en större version.
Alla avloppslösningar kräver skötsel och underhåll för att fungera ändamålsenligt under hela sin livslängd. Omfattningen (vad, hur ofta och hur mycket) av behovet av skötsel och underhåll beror på anläggningens typ och storlek. Sökanden ska redan i ansökan redovisa anläggningens behov av underhåll, kontroll och service i en så kallad drift- och underhållsinstruktion (22 kap. 1 § 5 p MB respektive AR Små avlopp bilaga 3 om drift- och underhållsinstruktion). Den bör innehålla både den egenkontroll som verksamhetsutövaren själv avser utföra och den eventuella kontroll som behöver utföras av sakkunnig. Detta innebär att drift- och underhållsinstruktionen måste innehålla de uppgifter som är nödvändiga för att kunna säkerställa avloppsanläggningens funktion, vilket i sammanfattning kan innefatta
Drift- och underhållsinstruktionen bör hållas aktuell och uppdateras vid förändringar av användningen eller i anläggningen, vilket innebär att villkor i tillstånd om att följa den bör lämna utrymme för uppdateringar, utan att tillståndsbeslutet behöver omprövas, se avsnittet Drift. Se även avsnittet Bedömning av drift, skötsel och funktionskontroll.

Minireningsverk i drift. Slamtömning är viktig för anläggningens funktion och en drift- och underhållsinstruktion bör innehålla instruktioner för hur detta ska ske. I detta fall finns även en tydlig instruktion på plats i anläggningen för att säkerställa att det blir korrekt slamtömt. Foto: Kungsbacka kommun
För att avloppsanläggningens funktion ska kunna kontrolleras när den väl är i drift måste också anläggningen förses med fysiska kontrollmöjligheter. Kontrollmöjligheter bör framgå redan av ansökningshandlingarna. Det är inte lämpligt att enbart som ett villkor i tillståndet ange att anläggningen ska vara kontrollerbar. Det kan vara svårt och dyrt att korrigera med kontrollmöjligheter i efterhand och saknas dessa på ritningar över anläggningen så finns det risk för att entreprenören inte utformar anläggningen med de önskvärda kontrollmöjligheterna. Det bör därför framgå av drift- och underhållsinstruktionen var och hur kontrollen kan ske och – om det är relevant för anläggningen - var och hur det är möjligt att ta ut ett representativt prov på det avloppsvatten som kommer ut från anläggningen.
Vägledning kring vad som är rimliga krav att ställa på möjligheten till funktionskontroll finns i avsnittet Teknisk utformning - möjlighet till funktionskontroll.
Egenkontrollen bör innehålla lätt kontrollerbara driftsparametrar som kan bevakas av fastighetsägaren själv frekvent och löpande. Kontrollparametrarna är specifika för varje anläggningstyp och behöver som ovan nämnts specificeras i ansökan.
Exempel på sådana kontrollpunkter för en tekniskt avancerad anläggning kan till exempel vara att:
För en markbaserad anläggning kan rimliga kontrollpunkter bland annat vara att:
Se även avsnitt Bedömning av drift, skötsel och funktionskontroll.
Anläggningar som kräver återkommande fackmannamässig skötsel för att funktionen ska kunna upprätthållas bör i ansökan ha med uppgift om
Sådana uppgifter kan ofta framgå av ett formellt serviceavtal med en professionell servicefirma. Att det är möjligt att ställa krav på serviceavtal, framgår av MÖD, M 5060-16. Avser verksamhetsutövaren att själv sköta anläggningen bör det framgå av ansökan vilken kompetens som finns inom drift, service och eventuell provtagning. I en fackmannamässig service av en tekniskt avancerad anläggning bör minst ingå
Bedömning av om funktionsvillkoren klaras kan göras genom kontroll av enkla driftsparametrar som ger en uppfattning om reningsprocessen fungerar normalt. Sådana driftsparametrar kan till exempel vara analys i fält av pH, ortofosfat och turbiditet för att servicefirman ska kunna justera in till exempel kemfällningen optimalt. Alternativt kan ett stickprov tas ut för laboratorieanalys i samma syfte, se avsnittet Vem ska provta och vad får det kosta?.
Om anläggningen har ett utlopp till ytvatten bör det redovisas om, under vilka förhållanden och var utsläpp på grund av bräddning (nödavlopp) kan ske.
Läs mer om bedömning av bräddning i avsnittet Risker vid uppstartsfas och driftstörningar.
Om kommunen har eller planerar ett kretsloppsbaserat system för omhändertagande av avfall från små avloppsanläggningar kan den sökande behöva motivera varför den sökta anläggningen inte är kretsloppsanpassad. Om den sökande anser det orimligt dyrt eller tekniskt svårt att välja en sådan kretsloppsbaserad lösning kan miljöförvaltningen begära in en redovisning av skälen för detta. Nämnden behöver precisera vilken kretsloppsanpassad typ av lösning som skulle kunna vara teoretiskt möjlig på fastigheten och som bedöms uppfylla hänsynsreglerna bättre. I avsnittet Produktvalsprincip, hushållningsprincip och kretsloppsprincip 2 kap. 4-5 §§ MB finns ett mer utvecklat resonemang kring kretsloppsprincipen. Se även avsnittet om skälighetsavvägning.
Vid infiltration i mark bör det finnas uppgifter i ansökan som styrker att markförhållandena på platsen är lämpliga för vald lösning. Vid infiltration i mark bör den sökande i ansökan ange
I vissa fall kan en ansökan även behöva kompletteras med
En sådan undersökning kan behöva göras för att det ska vara möjligt att avgöra om det finns risk för till exempel kontaminering av dricksvatten eller uppträngning av ofullständigt renat avloppsvatten. Sakkunnig kan behöva bistå med en sådan utredning.
Vid komplicerade ärenden där anläggningen riskerar att påverka en dricksvattentäkt, eller om det finns någon annan risk för föroreningspåverkan, kan ansökan behöva kompletteras med en mer avancerad hydrogeologisk utredning, se Hydrogeologisk utredning. Det är viktigt att miljöförvaltningen är tydlig med vilken information som den hydrogeologiska utredningen behöver innehålla så att kostnaden för verksamhetsutövaren inte blir högre än nödvändigt.

En ansökan om infiltration bör innehålla uppgifter om jordartens infiltrationskapacitet. Foto: Kungsbacka kommun.
Utöver detta kan det finnas andra uppgifter som myndigheten kan ha behov av att begära in ytterligare dokumentation eller utredningar kring för att ansökan/anmälan ska kunna bedömas, men vilka dessa uppgifter är beror på förutsättningarna i ärendet.
Andra uppgifter som behövs för prövningen kan vara till exempel planbestämmelser, vattenskyddsföreskrifter, åtgärdsprogram eller andra generellt gällande föreskrifter. Är uppgifterna allmänt tillgängliga så måste miljöförvaltningen själv ta fram och beakta dessa. Sådana uppgifter, som miljöförvaltningen förutsätts ha tillgång till själv, bör alltså inte begäras in från sökanden.
Sedan 1 juli 2013 är byggproduktförordningen (EU) nr 305/2011 tillämplig som svensk lag. Av denna förordning framgår att vissa byggprodukter ska vara CE-märkta för att få säljas i Sverige och övriga länder i EU/EES, Schweiz och Turkiet. Kravet på CE-märkning gäller byggprodukter som omfattas av en harmoniserad standard. För andra byggprodukter är CE-märkning möjlig på frivillig väg genom att en europeisk teknisk bedömning (ETA) utfärdas. Standard som antagits av ett europeiskt standardiseringsorgan på begäran av kommissionen. Lista över harmoniserade standarder finns på EU-kommissionens webbplats, NANDO.
Byggproduktförordningen inverkar vidare på hur kommuner får lov att begära in uppgifter om byggprodukter. Den påverkar därmed vilka krav som miljöförvaltningen får ställa på sökanden gällande information som ska ges in i samband med tillståndsansökan. Det förhållande att en eller flera av de produkter som ingår i avloppsanläggningen är CE-märkta hindrar dock inte miljöförvaltningen från att begära dokumentation av hur anläggningen som helhet kommer att klara kraven på den specifika platsen.
För en rad produkter som används vid rening av hushållsspillvatten (upp till 50 personekvivalenter) finns det harmoniserade standarder i serien SS-EN 12566 som innebär att produkten ska vara testad och ha en prestandadeklaration samt CE-märkning. I texten nedan används begreppet avloppsprodukt för en sådan byggprodukt avsedd för rening av hushållspillvatten. Texten är avstämd med Boverket.
I prestandadeklarationen redovisar tillverkaren resultaten av testningen enligt de i standarden föreskrivna metoderna. Vilka parametrar som anses vara väsentliga egenskaper och därmed ska redovisas, framgår i den harmoniserade standardens ZA-bilaga, se sammanställning för respektive avloppsstandard på Boverkets webbplats.
Prestandadeklarationen ska upprättas och undertecknas av tillverkaren innan produkten CE-märks. CE-märkningen är i princip en sammanfattning av prestandadeklarationen och ska innehålla prestanda för de väsentliga egenskaper som tillverkaren deklarerar prestanda för. CE-märkningen ska vara unik för den specifika produkten och ska i första hand vara varaktigt fäst på själva produkten – den består ofta av en skylt eller etikett. Hur en prestandadeklaration ska vara utformad framgår av bilaga III till förordning (EU) nr 305/2011. Se även Boverkets informationsblad om utformning av CE-märkning och prestandadeklaration för minireningsverk.
Det förhållande att en produkt är prestandadeklarerad och CE-märkt påverkar inte vilka krav på försiktighetsmått som miljöförvaltningen får ställa för att tillstånd till ett litet avlopp ska kunna medges. Standarden i sig innehåller inga gränsvärden för reningsprestanda. Byggprodukt-förordningen utgår från att gränsvärden för reningsprestanda slås fast i nationella föreskrifter. Produktens prestanda måste då deklareras mot dessa gränsvärden. I Sverige finns idag inga fastställda gränsvärden, producenterna har istället använt sig av de parametrar som anges i AR små avlopp (tot-N, tot-P, BOD). Prestandadeklarationen ger information om produktens prestanda men innebär inget automatiskt godkännande för användning i Sverige i förhållande till de miljö- och hälsoskyddsregler som framgår av miljöbalken, se Avloppsjuridik i översikt.
CE-märkningen hindrar alltså inte att sådana krav enligt den svenska miljölagstiftningen uppställs som bedöms nödvändiga för att säkerställa skyddet av hälsa och miljö, se MÖD:s dom i mål M 4515-15.
Miljöförvaltningen kan inte kräva att tillverkaren ska testa produkten enligt andra metoder än de som framgår av den specifika harmoniserade standarden. Miljöförvaltningen får inte heller efterfråga andra testresultat avseende annat än de väsentliga egenskaper som anges i ZA-bilagan till standarden.
Miljöförvaltningen har inte möjlighet att till exempel ställa krav på att sökanden ska visa den prestandadeklarerade produktens reduktion av smittämnen om denna parameter inte ingår i den harmoniserade standarden. Å andra sidan får inte heller prestandadeklarationen innehålla resultat av provtagning av egenskaper som till exempel reduktion av mikroorganismer om det inte ingår i standarden. Smittskydd finns med i SS-EN 12566-6 ”Förtillverkade anläggningar för rening av slamavskiljt avloppsvatten”, men inte i övriga standarder i 12566-serien.
Miljöförvaltningen får begära dokumentation av hur anläggningen som helhet kommer att klara kraven på den specifika platsen.
Se även avsnittet Svenska standarder för förtillverkade BDT-anläggningar och för smittskydd.
Miljöförvaltningen får inte fråga efter den dokumentation som ligger till grund för tillverkarens prestandadeklaration, utan det som anges i prestandadeklaration och CE-märkning ska vara tillräcklig information för att avgöra produktens lämplighet. För anläggningsdelar som inte är CE-märkta har miljöförvaltningen rätt att efterfråga underlagsdokument om det behövs för att en bedömning av ansökan ska kunna göras. Utöver prestandadeklarationen och bruksanvisning får kommunen fråga efter eventuella säkerhetsföreskrifter. Dessa dokument ska vara på svenska om produkten säljs i Sverige, se BFS 2013:7.
Det förekommer att enskilda verksamhetsutövare köper produkter utomlands och på egen hand för in till Sverige. I de fallen behöver dokumentationen enligt Boverkets föreskrifter inte vara på svenska. Sökande måste däremot se till att miljöförvaltningen kan förstå dokumentationen, vilket oftast borde innebära att någon form av översättning behöver ske, se Boverkets sida Att använda byggprodukter.
Om tillverkaren inte testat prestanda för exempelvis reningsförmåga av fosfor (total-P) ska NPD (ingen prestanda fastställd) anges i prestandadeklarationen. Det innebär att sökanden inte kan ge några uppgifter om detta då tillverkaren inte får redovisa sådana prestandauppgifter på något annat sätt.
Miljöförvaltningen får inte heller fråga efter andra tester utan måste ta ställning till om kompletterande åtgärder behövs för att avloppsanläggningen som helhet ska kunna uppfylla kraven på miljö- och hälsoskydd. Kan inte den sökande redovisa godtagbara komplement till den prestandadeklarerade avloppsprodukten, så att anläggningen som helhet uppfyller kraven, är det skäl för att avslå ansökan.
Tillverkaren ansvarar för att en produkt som omfattas av en harmoniserad standard har genomgått testning, har prestandadeklaration och är CE-märkt. Det är inte miljöförvaltningens roll att kontrollera om produkten ska vara prestandadeklarerad eller om prestandadeklarationen uppfyller alla krav. Mindre brister i prestandadeklarationen medför inte att prestandadeklarationen ogiltigförklaras. Skulle miljöförvaltningen misstänka felaktigheter i prestandadeklarationen eller att produkten omfattas av en harmoniserad standard och saknar prestandadeklaration eller CE-märkning, ska detta anmälas till Boverkets marknadskontroll. Boverket utreder därefter ärendet.
Ibland behöver miljöförvaltningen begära in underlag för att kunna bedöma förutsättningarna på platsen. Denna typ av underlag får inte beröra egenskaperna hos den byggprodukt som ansökan gäller. Miljöförvaltningen har dock rätt att kräva in det underlag som behövs för att kunna göra en bedömning av ansökan. Exempelvis har miljöförvaltningen rätt att efterfråga ett analysprotokoll på hushållets dricksvatten för att avgöra om produkten har potential att fungera som avsett, utifrån de funktionsgarantier som en leverantör av en avloppsprodukt lämnar, se sidan Produktkrav för enskilda avlopp.
Miljöförvaltningen får dock inte efterfråga hur egenskaperna hos dricksvattnet påverkar funktionen hos avloppsprodukten eftersom det skulle kräva andra tester än vad som anges i standarden.
Följande punkter utgör inte heller uppgifter om platsspecifika förutsättningar:
Dessa uppgifter skulle kräva test av andra produktegenskaper än de som anges i standarden och får därför inte efterfrågas. Ett specialfall är om anläggningen är testad utifrån SS-EN 12566-6. Då ingår smittskydd i standarden och dessa parametrar kan sålunda efterfrågas. Se även avsnitt Om uppgifter saknas i prestandadeklarationen och Svenska standarder för förtillverkade BDT-anläggningar och för smittskydd.
I en bruksanvisning kan tillverkaren ange etableringstiden för den aktiva biologiska processen. Miljöförvaltningen har rätt att få ta del av bruksanvisningarna.
Provning av reningsförmåga kan göras med den produkt i sortimentet som är avsedd för lägsta antal personekvivalenter. Det anses vara mest representativt då de minsta anläggningarna är mest känsliga när det gäller reningseffektivitet. Miljöförvaltningen kan inte begära att tillverkaren ska ha provat alla produkter i sitt produktsortiment.
Slamavskiljare omfattas av SS-EN 12566-1 (Fabrikstillverkade slamavskiljare) och SS-EN 12566-4 (Slamavskiljare sammansatta på plats av fabrikstillverkade delar). Standarderna omfattar samtliga slamavskiljare som är avsedda för WC- och BDT-spillvatten. Slamavskiljare för bara BDT-spillvatten omfattas inte.
Slamavskiljarna testas bland annat med avseende på hållfasthet, vattentäthet och hållbarhet. Testmetoden omfattar även parametern hydraulisk kapacitet som anger hur många gram partiklar som passerat vid testningen och blir därmed ett mått på avskiljningsförmågan. Som testpartiklar används standardiserade plastkulor.
Standarden i sig innehåller inte något gränsvärde för slamavskiljning. Det finns heller inget nationellt gränsvärde för vad en slamavskiljare ska prestera och miljöförvaltningen kan därför heller inte kräva att slamavskiljaren ska uppnå en viss nivå på slamavskiljning. Det är den som ansöker om anläggningen som har ansvar för att visa att anläggningen i sin helhet uppfyller de miljö- och hälsokrav som finns.
Det finns två harmoniserade standarder för minireningsverk upp till 50 personekvivalenter (pe), SS-EN 12566-3 ”Förtillverkade avloppsanläggningar” och SS-EN 12566-6 ”Förtillverkade anläggningar för rening av slamavskiljt avloppsvatten”. Standarden SS-EN 12566-3 omfattar produkter som är avsedda att användas för rening av obehandlat hushållsspillvatten och standarden SS-EN 12566-6 omfattar produkter som är avsedda att användas för rening av avloppsvatten som kommer från slamavskiljare enligt SS-EN 12566-1 eller SS-EN 12566-4.
Det antal personekvivalenter (pe) som respektive produkt (modell) är avsedd för ska framgå av prestandadeklarationen. Av SS-EN 12566-3 och SS-EN 12566-6 framgår bland annat hur länge provningen av reningseffektivitet ska pågå, antalet prov och analyser som ska genomföras och att reningsgrad ska anges procentuellt och inte i mg/l i deklarationen. I SS-EN 12566-6 ingår även smittskyddsparametrar.
Kompletterande reningssteg såsom fosforfällor och andra efterpoleringssteg till minireningsverk eller markbäddar kan omfattas av SS-EN 12566-7 ”Förtillverkat kompletterande reningssteg”. Eftersom det handlar om prefabricerade produkter så omfattas inte infiltrationer och markbäddar som poleringssteg till minireningsverk. SS-EN 12566-7 täcker inte system för reduktion av mikroorganismer.
Avloppsanläggningar som inte kan CE-märkas behöver precis som CE-märkta anläggningar prövas utifrån miljöbalken av miljöförvaltningen i samband med en anmälan eller tillståndsansökan. Exempel på sådana små avloppsanläggningar som inte kan CE-märkas är prefabricerade anläggningar 50-200 pe, naturbaserade anläggningar, markbaserade anläggningar, ”gråvattenfilter” och s.k. retrofit kits, som är undantagna från EN-standarden 12566-6. Ett retrofitkit definieras i standarden som ” en uppsättning komponenter från en och samma leverantör avsedd för installation i en befintlig slamavskiljare”. Det kan till exempel vara ett minireningsverk som kompletterar en befintlig slamavskiljare.
Miljöförvaltningen får fråga efter prestandadeklaration om sådan inte är bifogad ansökan. Uppger tillverkaren/sökande att produkten inte omfattas av någon standard och det därmed inte heller finns någon prestandadeklaration, så finns det inte några hinder för miljöförvaltningen att efterfråga andra testresultat om så skulle behövas för att prövningsunderlaget ska vara komplett. Saknas prestandadeklaration avgör alltså miljöförvaltningen vilket underlag som behövs.
Miljöförvaltningen behöver inte ta ställning till om det borde finnas en prestandadeklaration eller inte, utan ska precis som i alla andra avloppsärenden avgöra om anläggningen uppfyller miljöbalkens miljö- och hälsoskyddskrav. För detta ändamål får miljöförvaltningen begära in de uppgifter som behövs för att kunna bedöma om anläggningen uppfyller kraven.
Först och främst ska en ansökan/anmälan uppfylla kraven på innehåll enligt 22 kap 1 § MB, vilket för en avloppsanläggning är förtydligat i bilaga 3 och 4 till AR Små avlopp, se avsnitt Vilka uppgifter ska en ansökan/anmälan innehålla?.
Därutöver bör det i avsaknad av prestandadeklaration finnas testresultat eller referenser från trovärdiga undersökningar som styrker angiven reningsförmåga.
Någon form av provresultat där den testade anläggningens utformning, dimensionering och belastningsgrad motsvarar den sökta anläggningens ska i normalfallet kunna presenteras. Alternativt bör någon annan dokumentation med beskrivning över den sökta anläggningens funktion kunna ges in för att styrka vilken reningsgrad den aktuella anläggningen har. Om det förs ett teoretiskt resonemang om reningsfunktion är det viktigt att det finns trovärdiga källor som styrker resonemanget. Se även avsnitt Markbaserade anläggningar.
Granskningen av att testningen är tillräckligt omfattande behöver utgå från de krav som rimligen kan ställas på platsen för den tilltänkta avloppsanläggningen vid en avvägning enligt 2 kap. 7 § MB. Likaså bör vägas in vilken typ av hushållsspillvatten det handlar om, jämför med MÖD:s uttalande i mål M 5622-13 att ”reduktionskraven inte behöver ställas lika högt när det är fråga om enbart BDT-vatten som vid osorterat avlopp.”
Vid utvärdering av testresultat som framläggs som bevisning för funktionen av ej CE-märkta produkter är det viktigt att bedöma tillförlitligheten av de resultat som presenteras. Ett pålitligt test utfört av en oberoende testutförare under realistiska förhållanden avseende temperatur, belastning och avloppsvattenkvalitet. Granskningen av om en redovisning av testresultat är trovärdig och tillräckligt omfattande i förhållande till ovanstående kan till exempel utgå från följande frågeställningar med anpassning till vilken typ av teknik det handlar om:
Två domar kan fungera som exempel på när domstol har ansett att sökandens utredning om reningskapaciteten inte har varit tillräcklig. Den första är en dom från MÖD, M 3753-14, där domstolen slog fast att utredningen inte visade att anläggningen uppfyllde de miljö- och hälsoskyddskrav som bör ställas på en avloppsanläggning för BDT-spillvatten. De tester av reningsförmåga som gjorts på den aktuella avloppsanläggningen hade endast gjorts under sommarhalvåret och vid några enstaka tillfällen. Det saknades också uppgift om tester för bakteriereduktion.
Den andra domen är från MMD, M 744-16. Där avslogs ansökan då det saknades verifierade resultat av reningseffekten. I detta ärende fanns endast ett prov taget på anläggningen, det saknades också uppgifter om belastningen och specifika uppgifter om anläggningens utformning.
För anläggningar som enbart renar BDT-vatten finns ingen provning enligt europeisk standard. Under 2020 har SIS dock publicerat en svensk standard för förtillverkade BDT-anläggningar. Den heter ”Reningsanläggningar upp till och med 50 pe – provningsmetoder för utvärdering av förtillverkade BDT-anläggningar, SS 825640:2020”. Standarden specificerar provningsmetoder för att utvärdera reningseffekt, vattentäthet och hållfasthet hos förtillverkade reningsanläggningar för bad- disk- och tvättvatten från hushåll.I den svenska standarden SS 825630.”
SVENSK STANDARD · SS 825630:2023 - Små reningsanläggningar upp till 50 pe - Enheter för reduktion av mikroorganismer, " specificeras krav, testmetoder, märkning och utvärdering av prestanda för reduktion av mikroorganismer för småskalig avloppsvattenrening av hushållsspillvatten med eller utan toalettavloppsvatten.
Test enligt de svenska standarderna är frivilligt och omfattas inte av kraven i byggproduktförordningen, men kan vara en del i underlaget för bedömning av anläggningens prestanda.
Behovet av att visa reningsfunktion gäller även begagnade prefabricerade produkter som redan satts ut på marknaden, till exempel ett minireningsverk som säljs i andra hand. Om den sökande inte bifogar prestandadeklaration i ansökan och ingen sådan komplettering inkommer efter förfrågan kan miljöförvaltningen utgå från att prestandadeklaration inte finns och behandla ansökan/anmälan därefter. Krav på CE-märkning infördes i Sverige 2013.
Planeras byggnation av markbaserade anläggningar med betydande avvikelser från de beskrivningarna i Faktablad 8147 (Naturvårdsverket, 2003) eller de tekniska rapporterna EN 12566-2 respektive EN 12566-5 kan miljöförvaltningen behöva begära in testresultat för att kunna bedöma anläggningens funktion, se till exempel rättsfall från MÖD, M 5452-16. För att kräva testresultat skall avvikelsen vara av sådan karaktär att den kan förväntas ha betydande konsekvenser för reningsfunktionen i avloppsanläggningen som helhet och äventyra att anläggningen uppfyller gällande krav. Avvägningen om krav på testresultat bör därför ske utifrån det enskilda fallet. Avsteg som skulle kunna bli skäl för att begära in testresultat är exempelvis om man avser bygga en anläggning med:
Är en markbaserad anläggning en delkomponent i en större anläggning är det anläggningen som helhet som ska bedömas. Ett markbaserat reningssteg är ofta den delkomponent i en avloppsanläggning som förväntas garantera reningen avseende BOD och smittskydd. Dessa parametrar är därför i regel av särskilt intresse vid bedömning av funktion.
Har man andra komponenter i anläggningen, till exempel en prestandadeklarerad fosforfälla, som bevisligen uppnår en viss funktion behövs ingen specifik uppgift om den funktionen ( i detta fall fosforreduktion) i den markbaserade anläggningen.
Vilka krav som konventionella infiltrationsanläggningar och markbäddar kan anses uppfylla framgår av AR Små avlopp:
Följande anordningar bör anses uppnå en reduktion av organiska ämnen och fosfor motsvarande normal nivå för miljöskydd. Bedömningen avser dock inte kvävereduktion:
Övriga anordningars prestanda får bedömas i det enskilda fallet. (Havs- och Vattenmyndigheten, 2016)
Det går inte att ange några exakta gränsvärden för vad en markbaserad icke-konventionell anläggning ska klara. En rimlig kravnivå för BOD7 är dock att reduktionen uppgår till minst 90% med utgångspunkt från allmänna funktionskrav i AR Små avlopp (Havs- och vattenmyndigheten, 2016). Reduktion av bakterier (koliforma bakterier, E-coli och intestinala enterokocker) bör lämpligen uppnå minst 3 log (99,9%) vid den omättade zonens slut för att uppfylla ett allmänhygieniskt krav (Ottoson J. , 2013). Bedömningen av reduktionen av smittämnen behöver oavsett testresultat relateras till bland annat lokalisering och utformning av utsläppspunkt. Det är hela anläggningen tillsammans med de barriärer som finns på platsen som ska säkerställa att anläggningen inte medverkar till en väsentligt ökad risk för smitta. Om utsläppspunkten är känslig och det råder osäkerhet om anläggningens reduktionsförmåga av smittämnen är tillräcklig så kan det helt enkelt handla om att anläggningen behöver kompletteras med ytterligare ett reningssteg eller att utsläppspunkten behöver flyttas/otillgängliggöras för att tillräckligt smittskydd ska uppnås, se även Bedömning av tillåtlighet, anläggningens förutsättningar.
Vid utvärdering av testresultat avseende markbaserade anläggningar är det viktigt att bedöma tillförlitligheten av resultaten, se avsnitt Vad är ett rimligt utredningskrav. Att notera är att det vid korttidsstudier är svårare att fastställa ett materials långsiktiga fosforavskiljning än vad det är att fastställa reduktion av smittämnen och BOD. Med korttidsstudie avses här en studie som varar kortare tid än anläggningens/materialets förväntade livslängd.
En avloppsanläggning kan bestå av såväl CE-märkta avloppsprodukter som reningssteg som inte är CE-märkta, inklusive olika kombinationer av dessa. Varje standard har en uppsättning parametrar, så kallade väsentliga egenskaper som avloppsprodukten testats emot och redovisas i prestandadeklarationen och CE-märkningen. Det är enbart dessa väsentliga egenskaper som miljöförvaltningen kan begära uppgifter om när det gäller avloppsprodukten. Några praktiska exempel följer i nedanstående text.

Exempel A, Avloppsprodukt CE-märkt enligt EN 12566-3
Exempel A utgår från att den sökande vill anlägga en prefabricerad avloppsprodukt som är prestandadeklarerad utifrån EN 12566-3. I standarden ingår inte smittskyddsparametrar och miljöförvaltningen får därför inte efterfråga sådana testresultat avseende avloppsprodukten. Däremot kan det på grund av avloppsanläggningens lokalisering finnas skäl för att kräva att sökanden visar hur den aktuella hälsoskyddsnivån kommer att uppnås. Den sökande kan då behöva komplettera anläggningen med ytterligare ett reningssteg och redovisa reningsresultat för anläggningen som helhet, alternativt byta lokalisering av utsläppspunkten till en mindre känslig plats. Se till exempel dom i mål M 5062-15.
I vissa fall kan en leverantör ha låtit utföra undersökningar av produktens prestanda avseende smittskydd, men eftersom standarden EN 12566-3 inte omfattar detta så kan inte resultaten redovisas i prestandadeklarationen. Om resultat av sådana undersökningar inkommer med ansökan så är miljöförvaltningen inte förhindrad att efterfråga underlagsdokumentation till dessa.

Exempel B, avloppsanläggning med CE-märkt avloppsprodukt enligt EN 12566-3 plus kompletterande reningssteg utan CE-märkning.
Exempel B utgår från en avloppsanläggning bestående av en avloppsprodukt som är prestandadeklarerad utifrån EN 12566-3, men som kompletteras med ett efterföljande reningssteg som inte är CE-märkt.
Avloppsprodukten kommer inte att ha uppgifter om smittskyddsreduktion i prestandadeklarationen eftersom detta inte ingår i standarden 12566-3; därmed kan sådan information inte efterfrågas gällande denna del av anläggningen. Det efterföljande kompletterande reningssteget omfattas däremot inte av någon standard och det finns därmed inga hinder i byggproduktförordningen för att efterfråga såväl reningsresultat som underliggande dokumentation för detta reningssteg om det behövs av hälsoskyddsskäl.

Exempel C, avloppsanläggning med tre CE-märkta avloppsprodukter, slamavskiljare enligt EN 12566-1, förtillverkad anläggning för rening av slamavskilt avloppsvatten enligt EN 12566-6 samt förtillverkat kompletterande reningssteg enligt EN 12566-7.
I exempel C gäller ansökan en anläggning som består av tre olika anläggningsdelar - slamavskiljare enligt EN 12566-1, förtillverkad anläggning för rening av slamavskilt avloppsvatten enligt EN 12566-6 samt förtillverkat kompletterande reningssteg enligt EN 12566-7, som var för sig är CE-märkta avloppsprodukter. I EN 12566-6 ingår smittskyddsparametrar vilket innebär att prestandadeklarationen för avloppsprodukten kan innehålla uppgifter om reduktion av mikroorganismer uttryckt i logaritmisk enhet. Uppgifterna i de tre avloppsprodukternas prestandadeklarationer kan tillsammans ge tillräcklig grundläggande information om avloppsanläggningens risk för att påverka hälsa och miljö. I vissa fall kan dock miljöförvaltningen behöva begära in ytterligare underlag som är platsspecifika men inte handlar om produktens egenskaper, se avsnitt Redovisning får krävas av platsspecifika förutsättningar.
Om ärendet inte har kompletterats inom utsatt tid och miljöförvaltningen bedömer att bristen är så väsentlig att ansökan inte kan ligga till grund för prövning får ansökan avvisas.
Om det handlar om en ofullständig anmälan kan miljöförvaltningen meddela ett tillfälligt förbud att påbörja verksamheten som gäller fram tills att ett komplett beslutsunderlag finns.
Det är sökanden som är skyldig att visa att de förpliktelser som följer av bestämmelserna i 2 kap. MB iakttas (omvänd bevisbörda). Sökanden ska ha kunskap om hur verksamheten ska bedrivas och hur den påverkar omgivningen samt vad som kan göras för att minimera denna påverkan. Det är alltså sökanden som ska visa att den plats som valts för anläggningen är lämpligt lokaliserad, vilka förutsättningar som råder på platsen samt vilka försiktighetsmått som måste vidtas för att anläggningen inte ska orsaka risk för olägenheter för miljön eller människors hälsa. De krav som nämnts gäller i den utsträckning det inte kan anses orimligt att uppfylla dem. Se avsnitt Miljöbalkens hänsynsregler.
Myndighetens ansvar regleras i 22 kap. 2 § MB och 23 § FL dvs. att myndigheten ska begära förtydliganden eller kompletteringar från den enskilde om det behövs. Att miljöförvaltningen i egenskap av tillståndsmyndighet har en utredningsskyldighet innebär att det är miljöförvaltningen som ska leda utredningen och se till att nödvändigt beslutsunderlag kommer in. En myndighet får inte fatta beslut om det inte finns tillräckligt med beslutsunderlag.
Vad som är rimliga utredningskrav beror till stor del på omständigheterna i det enskilda fallet. Om det till exempel finns stor risk för påverkan på närliggande vattentäkter blir utredningskravet större och det kan anses rimligt att kräva en hydrogeologisk utredning, för att utesluta att den ansökta anläggningen förorenar en vattentäkt. Är risken för förorening däremot liten och det inte finns någon omständighet som ger anledning att misstänka att det finns en risk för att närliggande vattentäkter kan förorenas är det inte heller rimligt att kräva mer långtgående utredningar. Se till exempel dom från MÖD, M 4335-05. I denna dom fann MÖD att det med hänsyn till förhållandena i detta fall inte var motiverat att ställa krav på en geohydrologisk undersökning. I det aktuella fallet fanns ingen omständighet, såsom sprickor i berggrunden eller infiltrationens lokalisering, som gav anledning att misstänka att närbelägen vattentäkt riskerade att förorenas. MÖD fann därför att det i detta fall var orimligt att kräva en geohydrologisk undersökning.
I MÖD:s dom, M 9677-99, fann domstolen däremot att en geohydrologisk undersökning skulle ha gjorts och avslog ansökan om tillstånd. I det aktuella fallet bestod området kring anläggningen av berg i dagen eller berg med tunt jordtäcke. Vidare var infiltrationen lokaliserad väsentligt högre än närliggande vattentäkt. Någon mer omfattande markundersökning hade inte utförts. Mot bakgrund av dessa omständigheter fann MÖD att det inte var orimligt att kräva att en geohydrologisk undersökning skulle göras.
För att nämnden ska kunna pröva om den sökta lösningen uppfyller hänsynsreglerna i 2 kap. MB kan det ibland finnas ett behov av att sökanden inkommer med kompletterande uppgifter. I vissa fall kan det finnas behov av utredning av kostnader och tekniska begränsningar för en annan avloppslösning som skulle kunna vara teoretiskt möjlig på fastigheten. Detta är aktuellt i de fall då en annan avloppslösning än den föreslagna enligt miljöförvaltningens uppfattning uppenbart skulle kunna ge bättre uppfyllelse av hänsynsreglerna i 2 kap. 2-6 §§ MB. En vägning behöver då göras mellan kostnad i förhållande till nytta innan miljöförvaltningen kan bedöma vad som är skäligt i det enskilda ärendet. Myndigheten kan i dessa fall begära att den sökande redovisar varför denne anser det orimligt dyrt eller tekniskt svårt att välja en lösning som bättre skulle uppfylla kraven i hänsynsreglerna, till exempel med avseende på resurshushållning (2 kap. 5 § MB) eller lokalisering (2 kap. 6 § MB). Miljöförvaltningen får därefter bedöma om den eventuellt högre kostnaden och/eller de tekniska svårigheter som den alternativa lösningen medför kan motiveras, med hänsyn tagen till den miljö- eller hälsonytta som kan uppnås i det enskilda fallet.
Däremot är det inte korrekt att begära in full utredning av alternativa tekniklösningar eller placeringar från den sökande eftersom det i 7 § förordning (2017:966) om miljöbedömningar anges ett undantag från kravet på MKB för ansökan om tillstånd till åtgärd som avses i 13 § FMH, dvs. vid inrättande av avloppsanläggningar. (Undantaget från MKB gäller inte om avloppsanläggningen kräver tillstånd enligt 7 kap. 28 a § MB - om Natura 2000-tillstånd behövs ska alltså en MKB göras, se avsnitt Natura 2000.)
Mindre förändringar eller kompletteringar, såsom flytt av utsläppspunkt eller tillägg av efterpoleringssteg, kan vara skyddsåtgärder som behövs för att anläggningen ska vara tillåtlig med den ansökta placeringen eller tekniken och är inte likställt med att begära in alternativa tekniklösningar eller placeringar.
Även om den sökande har ett ansvar för att ge in den utredning som behövs för prövning av ansökan/anmälan så har också miljöförvaltningen ett ansvar för att se till att ärendet blir tillräckligt utrett. Det är alltså miljöförvaltningen som måste begära in den information som behövs och se till att driva ärendet framåt. Ett exempel på detta är en dom från MÖD, M 8541-13, där ett tillstånd upphävdes av domstolen eftersom ärendet inte var tillräckligt utrett av prövningsmyndigheten. En prövningsmyndighet beviljade tillstånd till en avloppsanläggning där det inte var fastslaget vilken teknisk lösning – markbädd eller infiltration – som skulle anläggas. Det var inte utrett om infiltration var möjligt men tillståndet gav ändå verksamhetsutövaren rätt att försöka med en sådan utformning och därefter själv bedöma vilken metod som borde användas.
I en annan dom, M 2330-21, bedömde MÖD att beslutsunderlaget i ärendet inte var tillräckligt för att bevilja tillstånd. Bland annat saknades utredning av grundvattnets nivå och strömningsriktning. Domstolen ansåg även att situationsplanen och ritningarna över anläggningen var ofullständiga.
I en tredje dom M 4906-20, bedömde MÖD att en leverantörs provtagningsserier inte visade att anläggningen klarar att uppnå normal skyddsnivå för fosforreduktion, samt att 70 procents reduktion behöver uppnås som medelvärde, men inte i varje stickprov.
I en fjärde dom M 3278-23 bedömde MÖD att ett sandmagasin i vilket rening av processvatten från ett anrikningsverk skedde inte var teknik avsedd för rening av sanitärt spillvatten. Gruvbolaget hade inte inkommit med tillräckliga underlag som verifierade i vilken grad det sker en rening av det sanitära vattnet.
Det är viktigt att miljöförvaltningen är aktiv och tar egna initiativ i syfte att se till att ärendet blir tillräckligt utrett. Miljöförvaltningen kan alltså inte ”sitta still i båten” och förutsätta att sökanden kommer att komplettera utifrån att det ligger i dennes eget intresse att få igenom sin ansökan. JO har i flera ärenden haft synpunkter på just sådan ärendehantering. Anser miljöförvaltningen att det saknas något underlag ska miljöförvaltningen i första hand se om man enkelt kan få fram det på egen hand. Ofta är det dock endast sökanden som har möjlighet att ge in information som rör den specifika ansökan. Om miljöförvaltningen anser att ansökan är ofullständig, antingen för att det som ska finnas med enligt 22 kap. 1 § MB (eller bör finnas med enligt bilaga 3 och 4 i AR Små avlopp) inte finns med, eller för att det annars saknas redovisning av sådana platsspecifika förutsättningar som behövs för att ansökan ska kunna bedömas, ska en komplettering av ansökan begäras in.
I 23 § FL anges att ”en myndighet ska se till att ett ärende blir utrett i den omfattning som dess beskaffenhet kräver. En enskild part som inleder ett ärende ska medverka genom att så långt som möjligt ge in den utredning som parten vill åberopa till stöd för sin framställning. Om det behövs ska myndigheten genom frågor och påpekanden verka för att parten förtydligar eller kompletterar framställningen.” Förvaltningslagen förutsätter sålunda ett samarbete mellan den sökande och myndigheten och i många fall kan förmodligen mindre kompletteringar av en ansökan lösas smidigt över till exempel mejl eller telefon.
Behövs en större komplettering eller den sökanden inte inkommer med begärd komplettering även om den är av mindre omfattning, kan sökanden föreläggas att inom en viss tid avhjälpa bristen i ansökan (22 kap. 2 § MB). Hur lång tid som är lämplig att den sökande får på sig för att komplettera ansökan beror på vad som saknas i ansökan. Det är viktigt att en begäran om komplettering är tydlig så att verksamhetsutövaren inte utför ”onödiga” undersökningar. Ett formellt beslut om komplettering ökar också tydligheten gentemot den sökande så att det står helt klart för denne att ärendet inte kan handläggas vidare utan att kompletteringarna inkommer.
Ett föreläggande om komplettering är att se som ett beslut under handläggningen (s.k. beredningsbeslut) och är därför inte direkt överklagningsbart. Beredningsbeslut kan överklagas först i samband med att man överklagar det slutliga beslutet i ärendet. För det fall miljöförvaltningen bedömer att ansökan inte kan prövas om kompletteringen inte kommer in bör i föreläggandet finnas information om att ansökan kan komma att avvisas om kompletteringen inte kommer in inom den tid som angivits.
Obegränsade krav kan inte ställas på den sökande att tillhandahålla utredning. Kostnaderna för de undersökningar som krävs måste stå i rimlig proportion till den miljönytta som kan förväntas av undersökningarna (26 kap 9 § miljöbalken).
Det är sedan upp till sökanden att avgöra om man håller med om att kostnaderna är rimliga för det som miljöförvaltningen begär och om man ska inkomma med den begärda utredningen eller ej. Om den sökande väljer att inte ge in vissa uppgifter för att sökanden tycker det är för dyrt riskerar hen antingen att ansökan blir avvisad eller att ansökan prövas utifrån underlag som kanske inte är helt rättvisande. Detta kan till exempel leda till att onödigt hårda krav ställs på anläggningen.
Har den sökande i ansökan bifogat någon form av dokumentation kring till exempel reningskapacitet, men denna redovisning är så bristfällig eller otillräcklig att sökanden inte kan anses ha visat att kraven i 2 kap. MB är uppfyllda, bör ansökan avslås. Innan avslag meddelas är det lämpligt att nämnden ger sökanden en möjlighet att komplettera i de delar det saknas tillräckligt underlag. I detta fall görs en prövning i sak men miljöförvaltningen kommer fram till att det saknas förutsättningar för att kunna meddela ett tillstånd. Se dom från MÖD, M 4515-15 där ansökan avslogs på grund av att den ansökta anläggningens reningskapacitet ej redovisats. Prestandadeklaration saknades i ansökningshandlingarna. Även i dom från MMD, M 744-16 avslogs ansökan då det saknades verifierade resultat av reningseffekten. I detta ärende fanns endast ett prov taget på anläggningen, det saknades också uppgifter om belastningen och specifika uppgifter om anläggningens utformning.
Om miljöförvaltningen däremot bedömer att bristerna avseende ansökans innehåll är så väsentliga att det inte går att pröva ansökan överhuvudtaget bör ansökan avvisas. Även i detta fall bör sökanden alltid först få en chans att inkomma med komplettering för att läka bristerna i ansökan. Om ärendet inte har kompletterats inom utsatt tid, innebär detta att ansökan inte kan ligga till grund för prövning och ansökan får då avvisas (se 19 kap. 5 § och 22 kap. 2 § 2 st MB). Någon prövning i sak görs alltså inte i denna situation.
Är ansökan så bristfällig eller otillräcklig att sökanden inte kan anses ha visat att kraven i 2 kap. MB är uppfyllda, bör ansökan avslås. Om bristerna avseende ansökans innehåll är så väsentliga att det inte går att pröva ansökan överhuvudtaget bör ansökan avvisas.. Klicka på bilden för en större version.
Såväl avvisning som avslag av en ansökan är överklagbara beslut som ska följas av besvärshänvisning. En avvisning eller ett avslag på en bristfällig ansökan kan vidare vara belagd med handläggningsavgift i kommunens taxa för tillsyn och prövning av miljöfarlig verksamhet.
Om en anmälan som ges in är ofullständig får miljöförvaltningen förelägga anmälaren att komplettera anmälan (20 § FL och 26 kap. 9 § MB). I de fall där det, trots att anmälan är ofullständig, ändå kan konstateras att det är uppenbart att det skulle kunna finnas risker för hälsa och miljö om avloppet anläggs, kan miljöförvaltningen meddela ett tillfälligt förbud att påbörja verksamheten som gäller fram tills att ett komplett beslutsunderlag finns. Om miljöförvaltningen inte kan svara på anmälan innan svar har inkommit från berörda remissinstanser, kan också ett tillfälligt förbud meddelas. Se även avsnitt Anmälan.
Berörd kan åtminstone den anses vara som har en dricksvattentäkt som kan påverkas av utsläppet från avloppsanläggningen, om anläggningen placeras så nära grannar att det finns risk för lukt eller annan olägenhet, om avloppsanläggningen avses placeras på annans mark och/eller om avledning av renat avloppsvatten ska ske över annans mark.
Det är miljöförvaltningens ansvar att se till att inkomna ansökningar blir tillräckligt utredda så att besluten blir korrekta, rättvisa och objektiva samt att den sökande och andra som är berörda av den kommande avloppsanläggningen känner förtroende för handläggningen.
En viktig del av utredningsskyldigheten är att se till att alla berörda får komma till tals innan ett beslut fattas – kommunikationsskyldigheten.
En myndighet kan vidare, inom ramen för sitt utredningsansvar, begära ett yttrande från en annan myndighet eller från någon enskild, en så kallad remiss.
Förenklat kan processen beskrivas enligt följande:
Grunden för kommunikationsskyldigheten är 25 § FL av vilken det framgår att innan en myndighet fattar ett beslut i ett ärende ska den, om det inte är uppenbart obehövligt,
I 19 kap. 4 § p 4 MB finns även en specialregel som gäller vid prövning av miljöfarlig verksamhet. Enligt denna ska kommunala nämnder bereda den som kan beröras av verksamheten tillfälle att yttra sig.
Kommunikationsskyldigheten har två syften.
Att parter ges möjlighet att yttra sig innebär att miljöförvaltningen får hjälp med att granska fakta i ärendet och på så sätt minskar risken för att beslut fattas på felaktiga grunder. Skyldigheten att kommunicera gäller även om det redan finns en befintlig avloppsanläggning på den aktuella fastigheten.
Det är bara parter, det vill säga de som kan komma att beröras av en verksamhet, som omfattas av kommunikationsskyldigheten i 25 § FL och 19 kap. 4 § p 4 MB. För att veta vilka som ska få tillfälle att yttra sig i ett ärende så måste miljöförvaltningen först göra en bedömning av vilka som kan beröras. Miljöförvaltningen bör göra en extensiv bedömning, dvs. om man är osäker på om någon berörs eller ej så ska denne höras eftersom den personen kan komma att beröras. Att vara berörd innebär att man kan tillfogas skada eller utsätts för annan olägenhet genom den miljöfarliga verksamheten (avloppet). Även risken för skada ska beaktas. Risken får dock inte vara enbart teoretisk eller helt obetydlig.
Det kan i ett tidigt skede av utredningen vara svårt att i förväg avgöra vem som är part och inte, och här skiljer det praktiskt sett inte så mycket på vad som är kommunicering och vad som är ett remissförfarande (se avsnitt Remiss) eftersom möjligheten för närboende att yttra sig kan ske samtidigt utifrån båda aspekterna. Som grundregel bör grannar få den inkomna ansökan för yttrande, inte minst för att ta reda på om det till exempel finns ”okända” dricksvattentäkter i påverkansområdet av en avloppsanläggning.
Den, som utifrån de uppgifter som inkommer kan anses vara berörd, har rätt att fortsatt bli kommunicerad om eventuella nya uppgifter, att delges beslutet och att överklaga det.
De fastigheter som ligger närmast nedströms en anläggning får som huvudregel oftast anses berörda, se dom från MMD, M 981-13 där domstolen konstaterade att närliggande fastigheter som har dricksvattentäkt som kan påverkas av en avloppsanläggning ska höras innan beslut fattas, liksom den markägare där avloppet ska placeras. Man kan dock tänka sig vissa situationer där en granne nedströms inte anses berörd, till exempel om grannens fastighet är mycket stor och området närmast anläggningen helt klart inte ska användas och det exempelvis inte finns några grannhus, dricksvattentäkter och/eller energibrunnar som kan beröras.
Även fastigheter uppströms anläggningen kan behöva höras om de riskerar att påverkas, se Beslutsmodell för skydd av dricksvatten.
Om anläggningen kommer att placeras nära grannens tomtgräns så bör huvudregeln vara att höra grannen utifrån risken för till exempel luktstörningar.
I de fall renat avloppsvatten ska avledas i dike över annans mark så är den markägaren berörd och ska höras innan beslut meddelas, se dom från MMD, M 1303-12. Detsamma gäller om utsläppet sker till ett känt markavvattningsföretag. Länsstyrelsen kan ha information om det finns ett markavvattningsföretag som berör diket/vattendraget där utloppet från avloppsanläggningen ska anslutas. Avses utsläppet ske till vägdike kan väghållaren vara berörd.
Om anläggningen helt eller delvis ska läggas på fastighet med annan markägare, oavsett om det finns servitut eller ej, så bör ägaren till den fastigheten alltid anses vara berörd. Se även avsnitt Civilrättsliga förhållanden.
Sammanfattningsvis är viktiga faktorer när miljöförvaltningen ska bedöma vilka som är berörda framförallt den fakta som finns om grundvattnets strömningsriktning, markens sammansättning och avstånd till närliggande fastigheter, energibrunnar, dricksvattentäkter och avloppsanläggningar i det möjliga från anläggningen, inklusive risken för till exempel luktstörningar. Det räcker med en risk för påverkan för att grannen ska anses berörd. Även risk för påverkan på eventuella planerade dricksvattenbrunnar ska beaktas. Se även avsnitt Ska man ta hänsyn till alla dricksvattenbrunnar?.
Kommunikationsskyldigheten enligt 25 § FL och 19 kap. 4 § MB består av två delar
Huvudregeln i ärenden som rör prövning av små avlopp är att kommuniceringen sker skriftligt. I undantagsfall kan det gå bra att ringa och berätta om nytt material som inkommit, handläggaren behöver då även ge tillräcklig tid för att lämna synpunkter samt göra en tjänsteanteckning.
Det framgår inte i förvaltningslagen hur lång svarstid som krävs för att man ska ha uppfyllt kommunikationsplikten. JO brukar säga att ”tiden ska anpassas efter ärendets art, materialets omfattning osv.”. Miljöförvaltningen ska inte fördröja handläggningen i onödan, men om det inte finns speciellt brådskande omständigheter bör den berörde få minst 2–3 veckor på sig att komma in med synpunkter.
Exempel på material som bör kommuniceras är utöver inkommen ansökan:
Kravet innebär inte att myndigheten är skyldig att kommunicera sina bedömningar eller avsikter exempelvis genom ett förslag till beslut. JO säger att det ligger i myndighetens hand att avgöra om parten ska få tillfälle att yttra sig även om det inte tillförts något nytt i ärendet. Vad som anges i förvaltningslagen om vad som omfattas av kommunikationskravet är ett minimikrav (se JO:s uttalande i ärende 4923-1998.
HaV rekommenderar inte att man kommunicerar ”förslag till beslut” eftersom en sådan skrivelse lätt kan missuppfattas och tas för ett slutligt beslut.
Det är miljöförvaltningen som ska kommunicera berörda. Miljöförvaltningen kan inte överlåta den uppgiften till exempelvis sökanden. När miljöförvaltningen själv kommunicerar kan den vara säker på vilka uppgifter som skickats ut till vem och den kan också utgå från att det är rätt personer som svarar på kommuniceringen. Om man får in uppgifter som sökanden har samlat in från grannar eller andra berörda har miljöförvaltningen inte den kontrollen.
Vidare kan en granne som blir kommunicerad av den sökande själv uppleva situationen obehaglig och känna sig tvingad att skriva på att inga invändningar finns mot ansökan. Samtidigt kan tiden för kommunicering blir oacceptabelt kort om grannen förmodas skriva på i samma stund som denne får möjlighet att se ansökan.
Att ett yttrande inte inkommit från någon som har fått möjlighet att yttra sig innebär inte med automatik att miljöförvaltningen fullgjort sin utredningsskyldighet. Om det i ansökan, efter krav på komplettering, fortfarande saknas till exempel uppgifter om vattentäkter i närområdet trots att det är uppenbart att bostäderna måste hämta sitt dricksvatten någonstans i närheten, behöver miljöförvaltningen utreda ytterligare var dricksvattnet hämtas ifrån. Man kan inte automatiskt utgå ifrån att det inte finns någon risk för påverkan bara för att det inte inkommit något yttrande.
Det är viktigt när ärendet är klart att också redogöra för i beslutet att kommunicering skett. Att inte kommunicera när detta krävs är ett formellt fel som kan leda till att överprövande instans upphäver beslutet och återförvisar ärendet till kommunen för förnyad handläggning.
Se även avsnittet Delgivning, sakägare och laga kraft om vem som ska delges beslutet och vem som har rätt att överklaga. Att någon som kommunicerats inför ett beslut inte inkommit med yttrande innebär till exempel inte att hen förlorat sin rätt att överklaga - under förutsättning att hen kan anses vara berörd.
I miljöförvaltningens utredningsansvar ingår att ta in information från enskilda eller från andra myndigheter för att se till att ett ärende blir tillräckligt utrett. Detta regleras i 26 § FL. Att inhämta yttranden (remiss) i ett ärende från enskilda eller myndigheter är ett effektivt och ofta använt sätt för att skaffa fram ett fullständigt utredningsmaterial. Syftet med en remiss varierar. Det kan vara fråga om:
Oavsett skälet för åtgärden används en remiss för att förse myndigheten med det utredningsmaterial som den behöver för att kunna fatta ett korrekt beslut i ärendet. Det är viktigt att det framgår av remissen vad yttrandet ska avse och när det senast ska ha kommit in till myndigheten.
Anmälningspliktiga avloppsåtgärder kan i princip påbörjas så fort anmälan har lämnats in, se avsnitt Anmälan. För att tillräckligt med remisstid ska finnas kan miljöförvaltningen meddela ett tillfälligt förbud mot att tills vidare påbörja verksamheten som gäller under handläggningstiden.
Av 19 kap. 4 § p 2 MB framgår att vid tillståndsprövning ska miljöförvaltningen samråda med de statliga och kommunala myndigheter som har väsentliga intressen att bevaka i saken. Det kan vara viktigt att tidigt i prövningsprocessen samråda med andra myndigheter om det handlar om frågor som kan vara helt avgörande för om ärendet kan gå vidare, till exempel skulle länsstyrelsen kunna avslå en dispensansökan om att anlägga en avloppsanläggning inom ett naturreservat.
Berörd myndighet (såväl extern som intern i kommunen) kan med utgångspunkt från den nationella vägledningen och i samarbete med miljöförvaltningen behöva ta fram gemensamma rutiner för hur handläggningen ska gå till.. Detta för att remisser inte ska skickas när det är uppenbart onödigt eller för att undvika otydlighet gentemot den sökande. En sådan rutin bör omfatta alla avloppsanläggningar upp t.o.m. 200 pe.
En remiss kan även användas för att få kunskap om vilka närliggande fastigheter som är berörda av den planerade avloppsanläggningen och därmed är att se som parter. Se även avsnittet Vilka ska kommuniceras i ärenden om små avlopp?.
Att det finns möjlighet till en bra hantering av det avfall som uppstår i en anläggning, ingår i den prövning som miljöförvaltningen måste göra. Ansökan för både helt nya anläggningar och nya anläggningar som ersätter äldre bör därför, om det inte är uppenbart onödigt, skickas på remiss till den kommunala förvaltning som har ansvaret för avfallshantering. Syftet med en sådan remiss är att avgöra om hämtning av avfall är möjligt på den föreslagna platsen och att avfallet kan omhändertas.
Under remisshanteringen kan det framkomma information som den sökande behöver få i ett tidigt skede, exempelvis om fördyrade hämtningskostnader eller att hämtning inte är möjlig.
Det är kommunens avfallsansvariga som får göra en bedömning av framkomligheten innan ett avloppstillstånd beviljas, se avsnittet Avstånd för att klara avfallshantering.
Det är också viktigt att avfallsansvariga får yttra sig över möjligheten att hämta avfall om anläggningen har en fosforfälla eller någon annan form av prefabricerad efterpolering där innehållet i brunnen behöver bytas ut med ett visst intervall. Ett sådant byte av fosforadsorberande material eller liknande kan vara beroende av möjligheten att en kranbil kan köra fram och lyfta upp säcken.
Andra interna remisser inom kommunen kan handla om att avloppsanläggningen till exempel berör
Om avloppsanläggningen berör till exempel
bör miljöförvaltningen samråda med/remittera länsstyrelsen för att garantera att beslutsunderlaget blir tillräckligt.
I vissa fall kan det vara Skogsstyrelsen som har beslutat om biotopskydd och därför är rätt mottagare av en eventuell remiss (7 kap § 11 MB).
En bedömning av vilka krav på försiktighetsmått som ska ställas i ett enskilt ärende bör utgå från normal eller hög skyddsnivå för hälso- respektive miljöskydd. Bedömningen kan göras på följande sätt:
Bedömningen av skyddsnivå ska ske utifrån förutsättningarna i det aktuella fallet. Att en anläggning till exempel ska placeras inom ett skyddat område innebär inte automatiskt att hög skyddsnivå ska gälla. Det avgörande är istället vilket skyddsbehov som finns inom det skyddade området samt om den aktuella anläggningen med den lokalisering som föreslås bedöms påverka det skyddade intresset.
Ett beslut måste alltså fattas i varje enskilt ärende, efter en prövning utifrån de lokala förhållandena på fastigheten och en rimlighetsavvägning enligt 2 kap. 7 § MB. Generella bindande beslut där kommunen delas upp i områden med hög respektive normal skyddsnivå kan inte fattas eftersom det saknas bemyndiganden för kommunerna att skriva generella föreskrifter om detta. Kommunerna har inom miljö- och hälsoskyddsområdet bemyndiganden när det gäller hälsoskyddsföreskrifter, renhållningsordning samt vattenskyddsföreskrifter. Dessa kan dock inte innehålla bestämmelser om skyddsnivå för små avloppsanläggningar. Det är med andra ord inte möjligt varken för kommunfullmäktige eller för någon av kommunens nämnder att på förhand fatta bindande beslut om huruvida det ska vara hög eller normal skyddsnivå för fastigheter i ett område.
Däremot är det önskvärt eller närmast nödvändigt att miljöförvaltningen gör en översiktlig bedömning av vilka områden i kommunen som bör ha hög respektive normal skyddsnivå. Inte minst för att det underlättar kommunikationen med den verksamhetsutövare som står i begrepp att lämna in en ansökan. Den slutliga bedömningen av vilken skyddsnivå som tillämpas görs sedan utifrån förutsättningarna i det enskilda ärendet.
Miljöförvaltningen bör i varje enskilt fall relatera skyddsåtgärder beträffande hälso- och miljöskydd för den enskilda anläggningen till normal eller hög skyddsnivå. För att kunna fastställa skyddsnivå i ett enskilt ärende måste miljöförvaltningen ha kännedom om både förhållandena i det större område den enskilda fastigheten ingår i, samt de specifika förhållanden som gäller för just den fastighet där avloppsanläggningen ska anläggas.
I AR Små avlopp anges vilka kriterier skyddsnivån bedöms utifrån. Om ett eller flera kriterier är uppfyllda bör hög skyddsnivå gälla för platsen. I övriga fall bör normal skyddsnivå gälla om inte särskilda förhållanden gör att antingen lägre krav än normalt eller högre krav än hög skyddsnivå bör gälla. I tabell 1 nedan finns kriterierna för hög skyddsnivå med förklaring. Kriterierna avser såväl hälsoskydd som miljöskydd, men skyddsnivån behöver inte vara densamma för dessa.
Kriterier | Förklaring |
|---|---|
Utsläppet från anordningar av aktuell typ kan befaras ha negativ inverkan på det skyddade intresset i ett område som enligt 3 kap. 2 § Vattenförvaltningsförordningen (2004:660) är upptaget i registret över skyddade områden. | Områden som enligt vattendirektivet ska registreras och som kan vara relevanta vid prövning av små avlopp:
Riskerar utsläppet att påverka ett sådant skyddat intresse bör minst hög skyddsnivå för miljö- och/eller hälsoskydd gälla. |
Andra yt- eller grundvattentäkter för dricksvatten än sådana som avses i 1, finns inom anordningens påverkansområde och anordningen kan befaras bidra till olägenheter vad beträffar tillgången till vatten eller vattnets kvalitet i dessa täkter såsom dricksvatten till djur | Riskerar utsläppet att påverka vattentäkter bör minst hög skyddsnivå för hälsoskydd gälla. |
Skyddsintresset för områden som är skyddade enligt 7 kap. MB medför ett behov av särskilda försiktighetsmått. | Skyddade områden enligt 7 kap. är:
|
Utsläpp av renat avloppsvatten sker direkt, utan föregående fördröjning i exempelvis dike, till känsligt ytvatten, till exempel nära badplats. | I denna punkt avses bland annat badplatser fastställda utifrån Badvattenförordningen, men också andra platser där människor badar. En avloppsanläggning får inte medverka till det att finns risk för smittspridning. |
Den sammanlagda belastningen i området är eller riskerar att bli hög på grund av antalet utsläppskällor; exempelvis inom s.k. omvandlingsområden där fritidsbebyggelse har omvandlats till permanentbostäder och där detta kan medföra successivt försämrad vattenkvalitet eller -kvantitet. | Denna punkt är särskilt aktuell i en yt- eller grundvattenförekomst som har sämre än god status och där utsläpp från små avlopp har en sådan betydelse att dessa utsläpp kan påverka möjligheten att nå god status. Riskerar utsläppet – antingen självt eller genom de kumulativa effekter som uppkommer tillsammans med ett flertal små avloppsanläggningar inom ett visst område - att påverka att MKN inte kan följas, bör minst hög skyddsnivå gälla. |
Ett underlag för en bedömning av var i kommunen det bör vara hög respektive normal skyddsnivå är det Gis-stöd för prövning av små avlopp som länsstyrelserna ansvarar för.
Kartorna i Gis-stödet är ett stöd för beslut om skyddsnivå enligt 2 kap. 3 § MB och baseras på de sex kriterier för hög skyddsnivå som tas upp i AR Små avlopp (se även avsnitt Kriterier för hög och normal skyddsnivå) samt en uppskattning av retentionspotentialen.
Gis-stödet har tagits fram med syfte att skapa förutsättningar för en skälig, rättssäker och nationellt likriktad bedömning av skyddsnivå. Stödet utgörs av kartor som visar bedömd risk för påverkan på recipient till följd av belastning från ett tillkommande avlopp med normal skyddsnivå. Kartorna inkluderar bl.a.
Sammanvägningen av faktorerna beskrivs i konceptmodeller, en för respektive fosfor, kväve och hälsoskydd. För att känna till Gis-stödets begränsningar är det viktigt att läsa handledningen på länsstyrelsens webbplats innan man börjar använda det. Enskilda brunnar, hotade arter och den övergripande risken för påverkan på MKN för grundvatten är till exempel inte inkluderade. Andra lokala uppgifter som saknas i Gis-stödet är kommunala strategier och planer såsom översiktsplaner och VA-planer, varför kommunens egen kartportal också är ett viktigt stöd i arbetet.
För att till exempel uppskatta källfördelningen av näringsämnesbelastningen i en ytvattenförekomst kan beräkningar med hjälp av andra verktyg än Gis-stödet vara ett underlag för att bestämma vilken skyddsnivå som behövs. Det finns rättsfall från MÖD, M 10800–15 och M 10805-15, som visar att schabloniserade beräkningsmodeller kan godtas som en del av underlaget för bedömning av lämplig skyddsnivå i enskilda prövningar.
Oavsett vilket modellverktyg som används måste dock enligt HaV:s bedömning utredningsunderlaget kompletteras med platsspecifik information om den berörda fastigheten där avloppsanläggningen ska placeras. Sådan platsspecifik information kan till exempel handla om att verifiera att de geologiska och topografiska förutsättningarna som anges på kartan stämmer överens med verkligheten. När man använder Gis-stödet är det särskilt viktigt att komplettera bedömningen med de aspekter som inte ingår där. Exempelvis finns inte grundvattenförekomsterna med och inte heller enskilda brunnar. Information om grundvattenförekomster finns i VISS. Information om enskilda brunnar finns i SGU:s Brunnsarkiv, observera dock att det inte är ett komplett material utan att det kan finnas brunnar som inte är registrerade i Brunnsarkivet. Däremot finns vissa skikt i Gis-stödet som kan ge hjälp i bedömningen av risk för påverkan av smittämnen och kväve på grundvatten.
I Gis-stödet visas inte heller risk för påverkan på naturligt näringsfattiga ytvattenrecipienter som är särskilt känsliga även för små tillskott av näringsämnen.
Ett exempel på riskkarta (fosfor) från GIS-stödet tillsammans med teckenförklaring (Länsstyrelsen, 2019). Klicka på bilden för en större version.
Ett exempel på riskkarta (risk påverkan enskild grundvattentäkt) från GIS-stödet tillsammans med teckenförklaring (Länsstyrelsen, 2019) Många hus nära belägna varandra och genomsläppliga jordar bedöms innebära hög risk. Klicka på bilden för en större version.
Miljöbalken ställer krav på att avloppsvatten ska avledas och renas eller tas om hand på annat sätt så att olägenheter för människors hälsa inte uppstår (9 kap. 7 § MB). Utsläpp av renat avloppsvatten får inte medverka till en väsentligt ökad risk för smitta genom förorening av dricksvatten eller badvatten och inte heller till annan olägenhet, till exempel lukt.
Gis-stödet (se avsnitt Bedömning av skyddsnivå med hjälp av Gis och beräkningsmodeller) kan ge en viss hjälp att bedöma vilken skyddsnivå som behövs med avseende på hälsoskydd.
För påverkan ur hälsoskyddssynpunkt utgår beräkningarna i Gis-stödet från potentiella transportvägar av virus och mikrobiella föroreningar i såväl grundvatten som ytvatten till allmänna och enskilda dricksvattentäkter samt badplatser. Riskbedömningen ska endast tolkas på en övergripande nivå.
Beräkningarna i Gis-stödet av risk för påverkan ur hälsoskyddssynpunkt utgår från följande principer:
Eftersom alla enskilda dricksvattenbrunnar inte finns i SGU:s Brunnsarkiv saknas heltäckande och nationell data över enskilda dricksvattenbrunnars geografiska placering. Dessa finns därför inte med i Gis-stödet. Utredning av de lokala förutsättningarna måste alltså komplettera beslutsunderlaget innan en bedömning av skyddsnivå kan göras. Beroende på om en dricksvattentäkt tar råvatten från grundvatten eller ytvatten behövs helt olika tekniska lösningar för att ge ett bra hälsoskydd
Om närliggande badplatser eller dricksvattentäkter kan påverkas av avloppsanläggningen är det ett skäl för att höja skyddsnivån med avseende på hälsoskydd till hög, se även Vattenskyddsområden och Placering av utsläppspunkt.
Vid utsläpp i närheten av så kallad EU-bad enligt Badvattendirektivet, i Sverige infört genom Badvattenförordningen (SFS 2008:218), finns HaV:s föreskrifter och allmänna råd om badvatten (HVMFS 2012:14) som innehåller anvisningar för klassificering av badvatten relaterat till vissa indikatororganismer. Gränsvärdena ska tillämpas vid förvaltning av badvattenkvalitet för de badvatten som finns i kommunernas badvattenregister enligt badvattenförordningen. I Havs- och vattenmyndighetens vägledning om badvatten finns halter av indikatororganismer angivna för bedömning av enstaka provtagningar av EU-bad (så kallad nulägesbedömning). Halterna kan vara något att förhålla sig till men kan inte direkt översättas till gränsvärden för renat hushållsspillvatten. Avloppsanläggningen får oavsett detta inte medverka till att badvattnets kvalitet försämras.
Mindre badplatser som inte är EU-bad (färre än 200 badande i genomsnitt per dag enligt vägledningen för EU-bad) omfattas inte av Badvattenförordningen men en avloppsanläggning ska oavsett detta inte medverka till en väsentligt ökad risk för smitta vid bad (Havs- och vattenmyndigheten, 2016).
I en dom från MÖD, M 5910-16, handlade det om en avloppsanläggning i form av ett minireningsverk med efterpolering som avsågs anläggas med utlopp till en bäck som mynnade intill en badplats. MÖD ansåg att det var hög skyddsnivå för hälsoskydd och att tillförlitliga barriärer behövdes för att minska riskerna för att smittämnen tillförs badplatsen och påverkar människors hälsa. Den sökande hade inte visat att anläggningen skulle reducera smittämnen till en nivå som skulle vara acceptabel på platsen. Inte heller den ingivna provtagningen av bakterier i bäcken ändrade MÖD:s bedömning. Tillstånd lämnades inte till den sökta anläggningen.
Även om det inte finns ett specifikt skyddsobjekt såsom en dricksvattenbrunn eller badplats belägen i närheten av utsläppspunkten behöver avloppsanläggningen alltid bedömas ur ett allmänt smittskyddsperspektiv. Om utsläppet till exempel sker i ett område med gles bebyggelse och den troliga exponeringen för det renade vattnet inte sker förrän efter en lång transport som ger stor utspädning och avdödning, så är risken sannolikt låg för att anläggningens utsläpp medverkar till väsentligt ökad risk för smitta. Placeras däremot anläggningen och dess utsläpp i ett område där det är tätt mellan husen, korta avstånd till högsta grundvattenyta och berg så ökar risken för smittspridning.
Vid bedömning av behovet av skyddsåtgärder för att skydda en ytvattenrecipient behöver hänsyn till retention av näringsämnen tas. Förenklat kan man säga att ett längre avstånd från utsläppspunkten till ytvattenrecipienten ger en mindre risk för påverkan av näringsämnen då de i större utsträckning kommer att kunna tas upp av växtlighet, fastläggas, fördröjas etc. Gis-stödet ger vägledning då riskbedömningen i stödet är ett resultat av en sammanvägning av ett antal faktorer som bl.a. beskriver retentionen.
Ett rättsfall får belysa hur man bör se på retention och avloppsanläggningens gränser. I en dom från MÖD, M 5822-16, ansökte en privatperson om tillstånd att anlägga en slamavskiljare och en markbädd för rening av WC- och BDT-spillvatten. Utsläppet avsågs ske till en våtmark innan den slutliga recipienten som var en havsvik. Våtmarken till vilket avloppsvattnet skulle avledas hade kunnat bidra till en hög retention och därmed sänka kraven på anläggningens reningsförmåga, men i detta specifika fall var våtmarken särskilt skyddsvärd och bidrog istället till att domstolen ansåg att hög skyddsnivå skulle gälla. Domstolen konstaterade vidare att en naturlig våtmark aldrig kan anses ingå i en avloppsanläggning. MÖD avslog ansökan.
Vid prövningen av en ansökan om tillstånd till installation av vattentoalett bör också beaktas vad som på sikt kan bli följden av en generell tillståndsgivning av den sökta lösningen för fastigheter inom området. Detta framgår av regeringsrättens dom, mål nr 2196-93.
Exempel finns i två domar från MÖD, M 10805-15 och M 10800-15, där hänsyn till förhållandena i det större område inom vilket den aktuella fastigheten ingick togs och där följden av vad en generell utbredning av liknande avloppsanläggningar skulle bli beaktades. Även om avloppsanläggningarna i dessa fall bedömdes ha en begränsad påverkan på recipienten så kunde det inte uteslutas att anläggningen påverkade genom att den var belägen i det aktuella området. Följden av flera avloppsanläggningar i området med rening som inte motsvarar hög skyddsnivå måste därför beaktas. Krav på hög skyddsnivå för de aktuella anläggningarna fastställdes.
I en annan dom från MÖD, M 5065-12, tog domstolen med i bedömningen att det eventuellt skulle kunna bli fler verksamhetsutövare som ville installera samma typ av avloppsanläggning. Avloppsanläggningen, som bestod av WC-spillvatten till sluten tank och markbädd för BDT-spillvatten, med utsläpp till känslig recipient godtogs trots detta då utsläppet av fosfor bedömdes bli litet.
Vid bedömningen av skyddsnivå för miljöskydd är det viktigt att vara medveten om att skyddsnivån kan vara olika för grundvatten och ytvatten. En faktor som är viktig för att avgöra vilken skyddsnivå för miljöskydd som ska gälla för grundvatten är om anläggningen ska placeras på en grundvattenförekomst eller inte. I de fall anläggningen berör en grundvattenförekomst som riskerar att inte uppnå god kemisk status, och orsaken är utsläpp från små avloppsanläggningar, finns anledning att överväga om hög skyddsnivå ska gälla.
Grundvattenförekomsterna finns inte med i Gis-stödet. Det måste därför göras en separat bedömning av risken för påverkan på grundvattenförekomsten när man bestämmer om det är normal eller hög skyddsnivå som ska gälla. Vissa skikt i Gis-stödet, exempelvis för kväve, kan däremot ge stöd i bedömningen av risk för påverkan på grundvatten.
Även för grundvatten bör vid prövningen beaktas vad som på sikt kan bli följden av en generell tillståndsgivning av den sökta lösningen för fastigheter inom området. Se avsnitt Ytvatten.
En dom från MÖD, M 5910-16, visar att oavsett allmänna rådets indelning i normal och hög skyddsnivå så kan det beroende på omständigheterna i det enskilda fallet finnas behov att ställa högre krav än hög skyddsnivå med avseende på miljöskydd. I domen konstaterades att recipienten (Gullmarsfjorden) var särskilt känslig och skyddsvärd och att det fanns stor anledning att anpassa kraven på avloppsutsläppen utifrån de speciella förhållandena på platsen. Vidare betonade domstolen att det måste beaktas att det fanns ytterligare ett stort antal fastigheter med avrinning till den aktuella recipienten. Dessa fastigheter hade inte vid denna tidpunkt utsläpp från vattentoalett. Följderna av en generell tillståndsgivning av liknande avloppsanläggningar som den sökta anläggningen skulle riskera att ge ett ökat utsläpp av näringsämnen till Gullmarns centralbassäng.
MÖD konstaterade sålunda att den sökta anläggningen visserligen uppfyller kraven för hög skyddsnivå för miljöskydd enligt AR Små avlopp beträffande BOD, tot-P och tot-N när den fungerar som avsett, men att det på grund av recipientens känslighet för näringsämnen finns ett behov av att ytterligare minska utsläppen utöver vad som följer av kraven på hög skyddsnivå. MÖD fann därför att högre krav än de som gäller för hög skyddsnivå för miljöskydd behövde ställas i detta fall. Samma slutsats kom MÖD fram till i mål M 8721-16.
Omständigheterna i det enskilda fallet kan motivera att lägre krav än normal skyddsnivå ställs på vissa platser. Omständigheterna behöver i dessa fall tydligt beskrivas i beslutet och skulle till exempel kunna vara att
I AR Små avlopp beskrivs allmänt att ”vid bedömningen av om det är orimligt att vidta försiktighetsmått enligt 2 kap. 3 § MB för en anordning bör bl.a. följande beaktas
I glest bebyggt område kan sålunda de enda rimliga skyddsåtgärderna vara relaterade till smittskyddet, om recipienten inte alls är övergödd och det inte är en naturligt näringsfattig recipient som är känslig även för små tillskott av näringsämnen.
På samma sätt som det är möjligt att göra avsteg från normal skyddsnivå är det möjligt att göra avsteg även från delar av hög skyddsnivå. Krav på reduktion av kväve kan till exempel bedömas som oskäligt om nitrathalterna i grundvattnet är låga och om kvävekrav inte ställs på ett kommunalt reningsverk i området. (Havs- och vattenmyndigheten, 2016) Liksom vid alla andra avsteg måste detta motiveras tydligt i det enskilda fallet. Se till exempel MÖD:s mål M 1382-17 där krav på kväverening inte ansågs motiverat.
Notera att oavsett typ av avloppsanläggning sker normalt en viss kväverening, så även i de fall ett specifikt krav på 50% kväverening inte ställs så kommer oavsett en viss kvävereduktion att ske.
Vid årsskiftet 2018/2019 trädde nya regler ikraft i miljöbalken som ska säkra att vattendirektivet får genomslag fullt ut i svensk lagstiftning. Av de nya reglerna följer bland annat att tillstånd inte får ges till en verksamhet, som trots åtgärder för att minska föroreningar eller störningar från andra verksamheter, har sådan betydelse att det äventyrar möjligheten att uppnå den status som vattnet ska ha enligt en MKN (5 kap. 4 § MB), se även avsnitt Miljökvalitetsnormer för yt- och grundvatten.
Om det vid prövning av tillstånd till små avloppsanläggningar konstateras att det finns risk för att den aktuella anläggningen, tillsammans med övriga anläggningar i området, motverkar möjligheten att uppnå MKN för berörd yt- eller grundvattenvattenförekomst måste tillräckliga skyddsåtgärder vidtas enligt 2 kap. 3 § MB. Gis-stödet kan användas som underlag för bedömning av påverkan på ytvattenförekomster eftersom det ger en hjälp i bedömningen av hur en liten avloppsanläggning riskerar påverka miljökvalitetsnormerna för ytvatten med avseende på näringsämnen. Gis-stödet hämtar uppgifter från VISS, som kan användas som kompletterande informationskälla vid till exempel motivering av beslutet. Gis-stödets riskbedömning görs i relation till hur stor andel belastningen från små avloppsanläggningar utgör av den totala belastningen.
För att bedöma påverkan på MKN för en grundvattenförekomst kan information från VISS användas som stöd. I VISS framgår bland annat
Gis-stödet ger visst stöd när det gäller risk avseende belastning av kväve på grundvatten.
Som vanligt ska vid bedömningen av vilka krav på försiktighetsmått som ska fastställas i det enskilda fallet alltid 2 kap. 7 § MB beaktas. Genom den nya lagstiftningen blir det tydligt att den rimlighetsavvägning som görs enligt 2 kap. 7 § 1 st MB inte får ge ett resultat som innebär att verksamhet tillåts bedrivas så att den orsakar en otillåten försämring eller äventyrar att rätt vattenkvalitet uppnås (se 2 kap. 7 § 2 st). De krav som behövs för att MKN ska kunna följas ska alltså alltid ställas i en prövning. Beslutet om att ge tillstånd ska även innehålla de villkor som behövs för att säkerställa att någon sådan otillåten påverkan som avses i 5 kap. 4 § 1 st MB inte uppkommer (se 22 kap. 25 § 9 p. MB). Det är viktigt att väga in den kumulativa effekten av många avloppsanläggningar vid bedömningen.
Om anläggningen bedöms påverka möjligheten att följa MKN så kan detta medföra att det ställs krav på hög eller på högre än hög skyddsnivå för miljöskydd, se till exempel MÖD:s domar i mål M 5910-16 och M 8721-16. Se även avsnitt Begränsad dricksvattentillgång för rättsfall om kvantitativ och kemisk status på grundvatten.
Det kan inom en ytvattenförekomst finnas ett biflöde, en vik eller annan del som av något skäl motiverar en högre skyddsnivå än vad vattenförekomsten i sig kräver för att följa MKN. Även om inte utsläppet från en eller flera små avloppsanläggningar påverkar på vattenförekomstnivå och MKN fortfarande kan följas kan den lokala påverkan på en del av en vattenförekomst vara betydlig. För dessa områden är inte 5 kap. MB tillämpligt utan miljöförvaltningen får istället kräva skyddsåtgärder för att minimera denna påverkan från verksamheten genom att tillämpa hänsynsreglerna i 2 kap. MB.
Sjöar och vatten som inte klassats som vattenförekomster kallas övrigt vatten. För dessa är inte heller 5 kap. MB tillämpligt, utan även här är det de allmänna hänsynsreglerna i 2 kap. MB som är aktuella. Detta gäller även för grundvatten som inte utgör en grundvattenförekomst.
I andra fall kan det finnas specialbestämmelser som träder i kraft. Exempelvis kan det handla om att recipienten är ett så kallat småvatten i jordbruksmark som omfattas av biotopskydds-bestämmelser, eller att vattenförekomsten omfattas av Natura 2000-bestämmelser. De mer specifika bedömningarna som behöver göras vid handläggningen av en sådan anmälan/ansökan om en liten avloppsanläggning berörs inte närmare här utan vi hänvisar till respektive avsnitt med fördjupad vägledning i Bedömning av tillåtlighet, vattenskydd, naturvård, avfall, fornlämningar med mera.
Till kommunens VA-plan bör det kopplas en handlingsplan för hur kommunen hanterar frågan om tillstånd till små avloppsanläggningar i avvaktan på planerad utbyggnaden av VA-nätet.
Miljöförvaltningen kan bevilja ett tillstånd till en avloppsanläggning utan att den sökande förfogar över marken där anläggningen ska ligga, men det är inte säkert att anläggningen kan anläggas på grund av civilrättsliga begränsningar.
Markägaren är att anse som berörd i ärenden om prövning av avlopp och ska, oavsett om det är en anmälan eller en ansökan om tillstånd, ha givits möjlighet att yttra sig innan beslut tas.
Vissa generella förutsättningar kan ibland behöva beaktas vid bedömning av tillåtligheten till en avloppsanläggning. I detta kapitel beskrivs hur bedömningen vid prövningen på olika sätt kan påverkas av beslut om att ansluta ett område till en kommunal avloppsanläggning och civilrättsliga förhållanden.
I vissa fall är det aktuellt att pröva tillstånd för en anläggning som inom en kortare planeringshorisont (mindre än 5 år) kommer att anslutas till gemensam eller kommunal avloppsanläggning. Det kan finnas skäl såväl för att tillåta en ny anläggning i avvaktan på anslutning som skäl för att inte tillåta det.
Det är därför lämpligt att det till kommunens VA-plan kopplas en handlingsplan för hur kommunen hanterar frågan om tillstånd i avvaktan på planerade åtgärder. Den bör beskriva vilka tekniska lösningar som är lämpliga i väntan på långsiktiga åtgärder och vad som bör beaktas i bygglovsärenden under tiden. Mer om vikten av att kommunen har en VA-plan finns i avsnittet Kommunal VA-planering – enskilt gemensamt eller allmänt VA? En god samordning mellan miljöförvaltningen, byggnadskontoret och tekniska förvaltningen är en viktig förutsättning för ett bra resultat.
Beslut om att påbörja detaljplanering för ett område, konkreta beslut om utbyggnad eller VA-planer kan vara skäl för att ge särskilda villkor eller till och med avslag på ansökan om tillstånd till avloppsanläggning. Se MÖD:s dom M 747-08 där fastighetsägaren ville bygga nytt permanentboende och ansluta allt hushållsspillvatten till slutna tankar i avvaktan på kommunalt VA, men där ansökan avslogs. Avslag av en ansökan med hänvisning till att utbyggnad av kommunalt VA-nät skulle inväntas godtogs däremot inte av MÖD i en dom M 9796-10, då det inte fanns några detaljerade beslut och var osäkert när detta skulle komma att ske och om det i så fall skulle komma att omfatta aktuella fastigheter. Hur långt kommunen hunnit i sin faktiska planering av VA-utbyggnaden kan därför ha betydelse för bedömningen av om tillstånd kan ges eller inte.
Det kan finnas skäl för att ge tillstånd trots att beslut om utbyggnad av kommunalt VA finns, som till exempel att den befintliga avloppsanläggningen är i så dåligt skick och innebär så stora risker att den måste åtgärdas omgående. Om de normala kraven riskerar att bli oskäliga med tanke på den korta tiden som avloppsanläggningen ska finnas så finns det olika sätt att möta detta, till exempel att inte ställa lika höga reningskrav som vid en normal ansökan eller att kraven i första hand är kopplade till hygienaspekter. Ett annat alternativ är att tillåta lösningar som miljöförvaltningen kanske inte i vanliga fall tillåter, till exempel både WC- och BDT-spillvatten till sluten tank.
Det kan ofta ses som rimligt att tidsbegränsa denna typ av tillstånd (22 kap. 25 § MB), det är till exempel vanligt att ett tidsbegränsat tillstånd ges till sluten tank under en övergångstid. Det är samtidigt viktigt att komma ihåg att om tiden för färdigställande av en samlad avloppslösning förskjuts framåt i tiden och det givna tillståndet hinner gå ut innan en samlad lösning är på plats så krävs eventuellt en ny ansökan och ny prövning om verksamhetsutövaren vill fortsätta att använda anläggningen. Ett tidsbegränsat tillstånd kan förlängas en gång med högst 3 år, om förutsättningarna i 24 kap 14 a § miljöbalken är uppfyllda. Det är viktigt att klargöra dessa förhållanden för verksamhetsutövaren i samband med beslut.
Se även avsnittet Tillstånd kan tidsbegränsas.
Vid utbyggnad av en allmän avloppsanläggning kan den befintliga enskilda avlopps-anläggningen lösas in av huvudmannen efter gängse värderingsmetodik. Om det handlar om många anläggningar i ett område så kan det innebära en betydande kostnad för kommunen. I en dom från Svea Hovrätt, M 6561-12 ansåg domstolen att ersättning för onyttigbliven enskild anläggning inte kunde utgå eftersom fastighetsägarna enligt domstolens mening inte varit ovetande om att allmän va-anläggning i området var nära förestående. I ett annat ärende i Statens VA-nämnd, Va 675/12, lämnades ersättning för en fem år gammal trekammarbrunn med infiltration eftersom fastighetsägarna inte fått information om att kommunal VA-utbyggnad var planerad. Kommunen hade initierat VA-utbyggnaden i ett sent skede då man hade utvecklingsplaner för området.
Det är alltså viktigt att ha en god framförhållning och kommunikation i VA-planeringen och att eventuellt tidsbegränsa tillstånd till små avloppsanläggningar i avvaktan på kommunal anslutning, se även avsnittet Tillstånd kan tidsbegränsas.
Det är inte ovanligt att en avloppsanläggning inte går att placera på den fastighet som den ska betjäna. Svåra geologiska förhållanden och närhet till dricksvattentäkter är sådant som kan göra att en anläggning bäst placeras på någon annans mark. Det kan också handla om att den sökande vill släppa det renade avloppsvattnet till någon annans ledning etc. Det vanligaste är att reglera det civilrättsliga förhållandet mellan den som äger anläggningen och den som äger marken eller ledningen genom att upprätta ett servitut. Ett servitut innebär att man knyter rätten att ha en avloppsanläggning på en viss plats till fastigheten, inte till personen som äger fastigheten. Med ett servitut finns alltså en rätt till avloppsanläggningens placering oavsett vem som äger fastigheten där avloppsanläggningen ligger, eller vem som äger själva avloppsanläggningen och den fastighet som anläggningen ska betjäna. Det innebär att en ny markägare normalt sett inte kan kräva att avloppsanläggningen tas bort om ett servitut finns. Om det är så att någon av parterna vill få till en ändring eller upphävande av ett servitut så finns det särskilda bestämmelser som måste vara uppfyllda.
Det finns två typer av servitut, avtalsservitut och officialservitut. Ett avtalsservitut bildas genom avtal mellan fastigheternas ägare medan ett officialservitut bildas genom beslut från en myndighet. Ett officialservitut kan bildas mot markägarens vilja om tillämpliga bestämmelser är uppfyllda. Hos Lantmäteriet sker det genom en lantmäteriförrättning. För att reglera rätten att lägga en anläggning på annans mark så brukar ett avtalsservitut vara fullt tillräckligt. Avtalsservitut kan skrivas in i fastighetsregistret. På så sätt kan man säkerställa att servitutet kommer att gälla även mot en ny ägare till den tjänande fastigheten. Den tjänande fastigheten är den fastighet där avloppsanläggningen ligger, den andra fastigheten kallas för den härskande fastigheten. Inskrivning sker genom en skriftlig ansökan till Fastighetsinskrivningen på Lantmäteriet.
Det är den kommunala lantmäterimyndigheten eller, om sådan inte finns, Lantmäteriet som handlägger frågor om servitut. Miljöförvaltningen har egentligen inget ansvar för denna fråga och kan inte vägra tillstånd eller förbjuda en anläggning för att det saknas servitut. Det är alltid den sökande som ska se till att det finns alla behövliga tillstånd, dvs. den som ska använda anläggningen och har rättslig, ekonomisk och faktisk rådighet över anläggningen. Se dock även avsnittet Anmälningsärenden och servitut.
I princip kan vem som helst söka tillstånd på någon annans fastighet utan att ha medgivande från den berörda markägaren. Ett tillstånd innebär dock inte någon tvångsrätt som gör att markägaren måste avstå mark till den som har fått ett tillstånd. Miljöförvaltningen kan alltså bevilja ett tillstånd utan att den sökande förfogar över marken där anläggningen ska ligga, men det är inte säkert att anläggningen kan anläggas på grund av civilrättsliga begränsningar. Markägaren är att anse som berörd i ärenden om prövning av avlopp och ska, oavsett om det är en anmälan eller en ansökan om tillstånd, ha givits möjlighet att yttra sig innan beslut tas. Den sökande har möjlighet att dra tillbaka sin ansökan om avloppstillståndet inte kommer att kunna utnyttjas p.g.a. civilrättsliga förhållanden. Se även avsnittet Kommunikation och remiss.
Gäller det däremot meddelande av försiktighetsmått till följd av en anmälan måste den som beslutet riktar sig mot ha faktisk och rättslig möjlighet att följa beslutet och följaktligen behövs ett medgivande från markägaren. Det kan vara i form av ett servitut men detta är inte ett formellt krav. Däremot bör medgivandet vara skriftligt. Se även avsnittet Kommunikation och remiss.
Om miljöförvaltningen ger tillstånd till en avloppsanläggning på annans mark eller med utsläpp till annans ledning, bör det i beslutet finnas information om att tillståndet i sig inte innebär någon rätt att mot markägarens vilja inrätta ett avlopp på dennes mark/dra en ledning på dennes mark /släppa renat hushållsspillvatten till dennes ledning. För att få en sådan rätt, om markägaren motsätter sig det, måste sökanden vända sig till lantmäterimyndigheten och ansöka om lantmäteriförrättning för att eventuellt bilda ett officialservitut för anläggningen. Det är också lämpligt att det i denna typ av beslut framgår att den sökande måste betala avgiften för handläggning av ärendet även om det senare inte går att anlägga avloppsanläggningen.
Varje ärende ska bedömas utifrån sina förutsättningar - vilka är riskerna för hälsa och miljö (se Bedömning av skyddsnivåer) och vad krävs för att avloppsanläggningen ska nå upp till skyddsnivån på platsen? Detta kapitel handlar om hur uppgifterna i ansökan/anmälan kan bedömas för att avgöra om en anläggning klarar skyddsnivåerna för miljö- och hälsoskydd.
Fördjupad text om grundförutsättningarna för prövningen finns i Vilka uppgifter ska en anmälan/ansökan innehålla och Bedömning av tillåtlighet, platsens förutsättning.
I 9 kap. 7 § MB slås fast att avloppsvatten ska avledas och renas eller tas om hand på något annat sätt så att olägenhet för människors hälsa eller miljön inte uppkommer. I flera domar från MÖD har tolkningen av 9 kap. 7 § MB varit ganska strikt. I ett avgörande från MÖD, M 857-01, påpekar domstolen att redan risken för olägenheter ska beaktas vid bedömningen av tillåtligheten. I MÖD:s dom M 9677-99 slogs fast att även en liten risk för påverkan på en dricksvattenbrunn var tillräcklig för att avslå ansökan om infiltration.
Gränsvärden för smittämnen i utgående hushållsspillvatten finns inte i lagstiftningen och är inte heller fastslaget i praxis. Det innebär att en riskbedömning av om anläggningen kan medföra olägenheter behöver göras i varje enskilt fall.
Ingående halter av indikatororganismer kan vara mycket skiftande. Om reduktionskravet skulle sättas till exempelvis log 3 (99,9 procent) kan det innebära väsentligt skiftande halter ut, vilket i sin tur kan medföra en felaktig bedömning som leder till falsk trygghet och risker för smittspridning. Andra invändningar mot specifika krav på reduktion är svårigheter med provtagning och att felmarginaler i analyser skapar osäkerhet, att tillväxt av indikatororganismer kan ske i vissa avloppsanläggningar och därmed påverka provresultatet, samt att de kommunala stora avloppsreningsverken inte har krav på reduktion av mikroorganismer.
I AR Små avlopp preciseras kravet på vad en avloppsanläggning ska klara med avseende på hälsoskydd.
Normal nivå
Hög nivå
Utöver A - B:
När en ansökan/anmälan bedöms bör en sammanvägd bedömning göras ur hälsoskyddssynpunkt av avloppsanläggningens
Om det vid den sammanvägda bedömningen finns brister kopplade till anläggningens robusthet och reduktionsförmåga så måste förhållandena vid utsläppspunktens lokalisering kompensera dessa brister på ett tillfredsställande sätt för att man ska kunna tillåta anläggningen utan att ställa ytterligare krav. Kriterier för robusthet kan vara att anläggningen
Vid bedömning av om lokaliseringen av utsläppspunkten är lämplig är det viktigt att ta hänsyn till vad det är som ska skyddas. Om det till exempel är en grundvattentäkt som ska skyddas så kan det vara en fördel om utsläppet från avloppsanläggningen sker till ett dike eller annat ytvatten medan det för skydd av badplatser och ytvattentäkter kan vara mer fördelaktigt om utsläppet sker till mark, förutsatt att skyddsavstånden till är tillräckliga.
De sjukdomar som riskerar att spridas från små avloppsanläggningar är vanligtvis olika typer av mag- och tarminfektioner. I en liten anläggning sker inte en lika stor utspädning av smittämnen som i ett stort reningsverk vilket innebär att höga halter av smittämnen i avloppsvattnet kan förekomma i de fall någon i hushållet är smittad. Trots en god medelreduktion i anläggningen kan tillfällig tillförsel av höga halter smittämnen resultera i betydande utsläpp. Det är därför viktigt att utsläppspunkten är vällokaliserad och att det finns en eller flera så kallade barriärer för att hindra smittspridning. (Ottoson J. , 2013)
Med en smittskyddsbarriär menas en skyddsåtgärd som motverkar förekomst och spridning av sjukdomsframkallande bakterier, virus och parasiter från en avloppsanläggning. Olika typer av barriärer fungerar på olika sätt men minskningen av smittämnen i en avloppsanläggning beror på någon av principerna avskiljning (till exempel utsortering av fekalt material vid källan eller fastläggning av smittämnen i en markbaserad anläggning) eller inaktivering (till exempel desinfektion med UV-ljus eller naturlig utkonkurrering i en markbaserad anläggning). En barriär kan fungera väl mot en typ av mikroorganism men inte för andra. För att uppnå hög reduktion av smittämnen behöver olika typer av barriärer kombineras.
Barriärer för små avlopp kan indelas i tre huvudkategorier enligt nedan:
Även skyddsavstånd i mark är en typ av barriär, se avsnitt Horisontellt skyddsavstånd till dricksvattentäkter vid markbaserad rening.
I en dom från MÖD, M 5911-16, där en ansökan om minireningsverk med efterpolering hade överklagats påpekar domstolen att gällande utsläppspunktens närhet till badplatsen behövs tillförlitliga barriärer för att minska riskerna för att smittämnen tillförs badplatsen och påverkar människors hälsa. Sökande hade inte visat att anläggningen skulle reducera smittämnen till en nivå som skulle vara acceptabel på platsen. MÖD:s bedömning var att tillstånd inte skulle lämnas till den sökta anläggningen eftersom utsläppet i det aktuella fallet skulle ske till en mycket känslig och skyddsvärd recipient.
I en dom från MMD, M 1527-15, blev utfallet istället att ett tillräckligt antal barriärer gjorde att anläggning med minireningsverk, markbädd och UV-ljus kunde godtas trots närhet till vattentäkt.
Även i områden med normal skyddsnivå kan extra reningssteg krävas för att ett tillräckligt skydd ska uppnås. I en dom från MÖD, M 2137-13, bedömde domstolen att den information som fanns om den aktuella anläggningen i fråga om reduktion av smittämnen m.m. inte kunnat visa på en tillfredsställande reduktion. Därför fanns det skäl att förena tillståndet med ett krav på efterbehandling, i detta fall ett efterpoleringssteg. Avgörande för bedömningen var att utsläppet skulle ske i närheten av bostäder i ett öppet dike/bäck med möjlighet för exponering för människor och djur. Den sammanvägda bedömningen av robusthet, reduktionsförmåga och utsläppspunktens lokalisering ledde fram till att enbart minireningsverket inte uppfyllde kraven för normal hälsoskyddsnivå på platsen.
Även om en anläggning innehåller en extra barriär kan den vara olämplig på platsen. I en dom från MÖD, M 9327-06, godtogs inte infiltration av fekalievatten från en vattentoalett med sortering i två fraktioner (urin och spolvatten/fekalier och papper) 35 meter från en vattentäkt eftersom utredning av grundvattnets strömningsriktning och bergets lokala sprickighet saknades. Fekalievattnet avsågs behandlas med UV-ljus, men barriären ansågs inte tillräcklig på den aktuella platsen.
Sammanfattningsvis är det viktigt att ha flera barriärer om utsläppspunkten är känslig, men barriärerna måste även ha en dokumenterad effekt med avseende på reduktion av smittämnen och tillsammans vara robusta, dvs. tåla variation i belastning, ha en god driftssäkerhet och ett lågt skötselbehov.
Här avses källsorterande avloppslösningar, till exempel anläggningar där WC-spillvattnet samlas i sluten tank, och olika typer av torra toalettlösningar. Genom att sortera bort fekalierna från vattnet som går in i den efterföljande anläggningen får man en robust reduktion av smittämnen i avloppsvattnet. Detta ger en signifikant mindre fekal påverkan från avloppsanläggningen, motsvarande 99,6 – 99,998 % eller 2,8 - 4,9 log reduktion (Ottoson J. , 2013).
För BDT-spillvattnet uppnås generellt en god reduktion av smittrisken för normal hälsoskyddsnivå i och med utsorteringen av WC-spillvattnet. Med en slamavskiljare och efterföljande reningssteg för BDT-spillvattnet minskar även risk för lukt.
Torra lösningar (till exempel mulltoalett) kan ibland innebära att fastighetsägaren vill ha eget omhändertagande av avfallet på den egna tomten. Ur smittskyddssynpunkt bör beaktas att eget omhändertagande kan utgöra en större risk än utsläppet av avloppsvattnet i sig.
Reduktion av smittämnen inklusive utjämning av halt/flöden i en avloppsanläggning kan ske så väl i huvudreningssteget som genom att man lägger till så kallade efterpoleringssteg. Med ett efterpoleringssteg avses ett kompletterande reningssteg som har en viss påvisad funktion med avseende på en specifik parameter, i detta avsnitt smittämnen.
Huvudreningssteget i en avloppsanläggning kan utgöras av till exempel en slamavskiljare med efterföljande markbaserat reningssteg eller ett minireningsverk med separat eller inbyggd slamavskiljning. Avskiljning av mikroorganismer börjar redan i slamavskiljaren – halten av fekala mikroorganismer reduceras 1-2 log (90-99 %) genom att de mikroorganismer som är adsorberade till partikulärt material frånskiljs. God slamavskiljning är därför väsentlig för den totala reduktionen i anläggningen. (Naturvårdsverket, 1985)
I markbaserad rening sker reduktionen av bakterier dels genom att de filtreras och adsorberas till materialet och dels genom att de dör (Stevik, Aa, Ausland, & Hanssen, 2004). Den allra största delen av mikroorganismer avskiljs i biohuden och i den omättade zonen i marken ovanför grundvattennivån. En välutvecklad biohud kan begränsa genomsläppligheten i anläggningen, men har god effekt på smittskyddet. Ju större den omättade zonen är desto bättre är reningen av smittämnen. Viss rening sker under grundvattennivå men denna rening bör endast betraktas som en extra säkerhet. 50-80 cm av omättad strömning ger utöver reduktionen i slamavskiljaren en ungefärlig reduktion på 2 log (99%) (Naturvårdsverket, 1985). I den mättade zonen är det främst jordlagrens genomsläpplighet och grundvattenytans lutning som avgör hur lång transporttiden kommer att bli och vilket skyddsavstånd till skyddsobjektet som behöver upprätthållas. För att en infiltrerande anläggning ska fungera som avsett ur smittskyddssynpunkt är det viktigt att såväl det vertikala som det horisontella skyddsavståndet hålls. Se avsnitten Horisontellt skyddsavstånd till dricksvattentäkter vid markbaserad rening och Vertikalt avstånd mellan infiltrationsnivå och grundvatten.
I ett minireningsverk bidrar kemisk fällning till att avskilja smittämnen genom att de adsorberas till partiklar och hamnar i slammet. Detta förutsätter självfallet också en god avskiljning av slammet. Avskiljningen av mikroorganismer i minireningsverk som helhet kan variera mycket. Minireningsverk som är CE-märkta utifrån EN 12566-6 har testats avseende reduktion av E. coli och intestinala enterokocker. Reduktionen anges i prestandadeklarationen. Se även avsnittet CE-märkta produkter.
Ett efterpoleringssteg är ett kompletterande reningssteg som har en viss påvisad funktion med avseende på en specifik parameter. En efterpolering kan öka uppehållstiden, utjämna halt/flöden eller på annat sätt behandla det renade hushållspillvattnet med syfte att till exempel reducera smittämnen eller öka reduktionen av näringsämnen. Ett efterpoleringssteg kan till exempel utgöras av en infiltration eller en UV-anläggning medan en stenkista inte är ett tillräckligt väl definierat begrepp med känd konstruktion och funktion för att kunna utgöra ett efterpoleringssteg.
Vad det gäller reduktion av smittämnen fungerar markbaserade efterpoleringar på samma sätt som markbaserade huvudreningssteg – avsnittet Barriärer i huvudreningssteg är därför även tillämpbart på markbaserade efterpoleringar.
Fosforfilter används ibland även som efterpolering m a p smittskydd. När det utgående renade avloppsvattnet från fosforfilter har ett högt pH-värde (över pH 9) erhålls en god reduktion av bakterier (Hellström, 2005). Vattnets pH efter filtret sjunker dock med tiden och det är inte helt klart vilken bakteriereduktion som uppnås i ett fosforfilter på sikt.
Metoder för fysikalisk eller kemisk desinfektion av hushållsspillvatten från små avlopp på den svenska marknaden är i huvudsak UV-behandling eller tillsats av väteperoxid. Dos/koncentration och kontakttid är avgörande för hur effektivt behandlingen inaktiverar smittämnen. Dessutom är anläggningens utformning viktig för att hela mängden avloppsvatten ska kunna behandlas.
UV-strålning inaktiverar de flesta virus, bakterier och parasiter, men avgörande för effektiviteten utöver dosen är vattnets ljustransmission. För att UV-ljus ska fungera optimalt krävs att vattnet är i princip fritt från större partiklar eftersom partiklarna kan innehålla bakterier som inte nås av UV-strålning (Winward, Avery, Stephenson, & Jefferson, 2008 ). Även starkt färgat avloppsvatten kan påverka effekten av UV-strålning. För att ge en effektiv bakteriereduktion behöver därför UV-strålningen föregås av någon typ av filtrering (till exempel en markbädd) och/eller annan avskiljning av suspenderat material (Rawcliffe & Paulsrud, 2010).
En UV-anläggning kräver också god skötsel. Effektiviteten av lamporna kan reduceras på grund av beläggningar om det finns en kontaktyta mot avloppsvattnet. Effektiviteten reduceras också över tid, och det är nödvändigt med byte av lamporna med jämna mellanrum. (Rawcliffe & Paulsrud, 2010)
Även vid behandling med väteperoxid kan högt innehåll av organiskt material i avloppsvattnet förta effekten vid behandling. Kemikalien reagerar med det organiska materialet och förbrukas. Desinfektionen behöver därför föregås av någon typ av filtrering och/eller annan avskiljning av suspenderat material. Att notera är också att det krävs tillstånd från Myndigheten för samhällsberedskap och beredskap (MSB) om en privatperson ska hantera lösningar med över 12% koncentration av väteperoxid.
Väteperoxid och andra produkter avsedda för kemisk desinficering av avloppsvatten omfattas också av bestämmelser om biocidprodukter i kemikalielagstiftningen. Det kan krävas godkännande för att få sälja och använda en biocidprodukt i Sverige. En produkt avsedd att användas av privatpersoner för desinfektion av avloppsvatten behöver vara godkänd för detta syfte. Kemikalieinspektionen är den myndighet som vägleder om biocidprodukter.
Utsläpp av avloppsvatten bör lokaliseras så att påverkan på recipienten blir minsta möjliga. Sådan lokalisering som medför direktutsläpp till större vattenområden och som kan undvikas genomtill exempel efterpolering bör inte tillåtas. Valet av utsläppspunkt styr vad anläggningen bör klara för att uppnå kraven. (Havs- och vattenmyndigheten, 2016)
Placering av utsläppspunkt ska framgå i ansökan och tillståndet. När det är fråga om en infiltrationsanläggning sker utsläppet till grundvattnet. I det fallet är placeringen av utsläppspunkten densamma som placeringen av hela anläggningen.
För andra typer av avloppsanläggningar kan verksamhetsutövaren behöva göra utsläppspunkten otillgänglig genom att den till exempel täcks i ett stenlagt dike. I vissa fall kan det vara lämpligt att förlänga ledningen efter reningen eller pumpa det renade vattnet till en lämpligare utsläppspunkt där risk för exponering eller för att förorena en dricksvattentäkt är mindre. Att verksamhetsutövaren leder det renade avloppsvattnet till en recipient där utspädningen är större kan också vara ett alternativ.
Exempel på känsliga utsläppspunkter är inom vattenskyddsområde, i närheten av dricksvattentäkt eller vid en badplats, se avsnitt Normal eller hög skyddsnivå för hälsoskydd?.
Att en produkt är CE-märkt påverkar inte vilka krav på försiktighetsmått som myndigheten får ställa för att tillstånd till en avloppsanläggning ska kunna medges. CE-märkningen hindrar alltså inte att sådana krav enligt den svenska miljölagstiftningen uppställs som bedöms nödvändiga för att säkerställa skyddet av hälsa och miljö, se MÖD:s dom i mål M 4515-15.
Den sökande behöver kunna visa att anläggningen i sin helhet tillsammans med de barriärer som finns på platsen inte medverkar till en väsentligt ökad risk för smitta eller annan olägenhet. Om utsläppspunkten är känslig och det råder osäkerhet om huvudreningens reduktionsförmåga så behöver en efterpolering eller andra barriärer kompensera för detta. Det är den som söker tillstånd som ska visa att hela anläggningen uppfyller miljöbalkens krav, se MMD:s dom M 5062-15.
Miljöförvaltningen får alltså fråga om hur anläggningen som helhet kommer att klara de hälsoskyddskrav som man ställer på den specifika platsen, däremot inte hur avloppsprodukten klarar kraven på till exempel smittskydd såvida inte denna parameter ingår i standarden. En redovisning av hela anläggningens prestanda med avseende på smittskydd kan redovisas separat av den sökande, och miljöförvaltningen har då också rätt att fråga efter underlagsdokument till testresultaten om det behövs för att en bedömning av ansökan ska kunna göras. Se även avsnitt CE-märkta produkter i Granskning av ansökan/anmälan.
Hushållsspillvatten från ett hushåll består normalt av WC-spillvatten och BDT-spillvatten. WC-spillvattnet innehåller höga halter näring och smittämnen men relativt lite vatten i jämförelse med BDT-spillvattnet som innehåller låga halter näring och smittämnen men mycket organiskt material och vatten. Det innebär att utsläpp av enbart BDT-spillvatten i hög grad minskar risken för smittspridning. (Ottoson & Stenström, 2003).
Eftersom mängden smittämnen i BDT-spillvatten vanligtvis är låg krävs i regel inte rening med särskilt syfte att reducera smittämnen för denna typ av hushållsspillvatten vid normal skyddsnivå för hälsoskydd. Med en slamavskiljare och efterföljande reningssteg för BDT-spillvattnet minskar även risk för lukt.
Förhöjda mängder av smittämnen kan förekomma vid till exempel utbrott av magsjuka genom fekal förorening av BDT-spillvattnet men vid dessa tillfällen finns det sannolikt också många andra spridningsvägar i samhället än genom hushållsspillvatten. Om utsläppspunkten för det renade BDT-spillvattnet till exempel ligger nära en dricksvattentäkt, oavsett om det är en ytvatten- eller grundvattentäkt, kan det dock finnas behov av extra barriärer efter huvudreningen.
I AR små avlopp preciseras kravet på miljöskydd genom en uppdelning i hög och normal skyddsnivå
Normal nivå
Hög nivå (Utöver A - C, E och F)
Även om AR gör en indelning av krav på små avloppsanläggningar i två nivåer så kan lokaliseringen av anläggningen göra att kraven behöver ställas såväl lägre som högre beroende på förutsättningarna på platsen, se även avsnitt Normal eller hög skyddsnivå för miljöskydd?.
Avloppsanläggningar kan bestå av en eller flera produkter som omfattas av en harmoniserad standard enligt byggproduktförordningen (EU-förordning nr 305/2011). Dessa måste då vara försedda med en prestandadeklaration och vara CE-märkta. Vilka uppgifter som kan krävas för dessa produkter framgår av avsnittet CE-märkta produkter i kapitlet Granskning av ansökan/anmälan.
Att en produkt är CE-märkt påverkar inte vilka krav på försiktighetsmått som myndigheten får ställa för att tillstånd till en avloppsanläggning ska kunna medges. CE-märkningen hindrar alltså inte att sådana krav enligt den svenska miljölagstiftningen uppställs som bedöms nödvändiga för att säkerställa skyddet av hälsa och miljö, se MÖD:s dom i mål M 4515-15.
För markbaserade anläggningar som är platsbyggda finns två så kallade tekniska rapporter i serien EN 12566: del 2: "infiltrationsanläggningar" och del 5 ”markbäddar”, som anger hur man bygger konventionella infiltrationer respektive markbäddar, inklusive förundersökningar innan anläggandet. Det går dock inte att CE-märka enligt dessa tekniska rapporter.
Även lokaliseringen av en markbaserad anläggning i förhållande till mark/grundvatten är avgörande för vilken reningsförmåga som kan uppnås. Miljöförvaltningen bör därför i första hand inrikta sig på att prövningsprocessen säkerställer att platsen för den markbaserade anläggningen är väl vald och garanterar att till exempel minst 1 meter till dimensionerande grundvattenyta kan uppnås (se avsnitt Vertikalt avstånd mellan infiltrationsnivå och grundvattennivå) liksom tillräckliga skyddsavstånd till till exempel dräneringar eller ytvatten (se avsnitt Skyddsavstånd beroende av markförhållanden). I en dom från MÖD, M 7917-01, var lokalisering av en infiltrationsanläggning på genomsläpplig mark i nära anslutning till en sjö skäl för avslag på ansökan därför att infiltration på platsen inte bedömdes kunna ske utan risk för påverkan på sjöns vatten.
Vilka krav som konventionella infiltrationsanläggningar och markbäddar kan anses uppfylla framgår av AR små avlopp:
Följande anordningar bör anses uppnå en reduktion av organiska ämnen och fosfor motsvarande normal nivå för miljöskydd. Bedömningen avser dock inte kvävereduktion:
Övriga anordningars prestanda får bedömas i det enskilda fallet. (Havs- och vattenmyndigheten, 2016)
Vilka uppgifter som är skäligt att kräva för anläggningar som inte följer de tekniska beskrivningarna i Faktablad 8147 (Naturvårdsverket, 2003) eller i de tekniska rapporterna EN 12566-2 respektive EN 12566-5 framgår av avsnittet Markbaserade anläggningar i kapitlet om granskning av ansökan/anmälan.
Hushållsspillvatten från ett hushåll består normalt av WC-spillvatten och BDT-spillvatten. I relation till BDT-spillvatten innehåller WC-spillvattnet mer näring och smittämnen men mindre vatten. BDT-spillvattnet innehåller mindre näring och smittämnen men mer organiskt material och vatten än WC-spillvatten. En utgångspunkt för vilka krav som kan ställas för en avloppsanläggning är AR Små avlopp:
Om urin eller fekalier tas om hand utan utsläpp (till exempel urinseparerande torrtoalett) kan motsvarande skyddsnivå räknat som utsläpp per person klaras med mindre rening än vad som krävs för ett osorterat avlopp. Myndigheten bör då inte utan att det är motiverat av omständigheterna i det enskilda fallet efterfråga den angivna procentuella reduktionen för enbart BDT-vattnet. Observera dock att även en anordning för enbart BDT-vatten bör kunna uppfylla erforderlig skyddsnivå med avseende på hälsoskydd.
Råden är inte juridiskt bindande och det kan naturligtvis finnas lokala förhållanden eller omständigheter som möjliggör avsteg i enskilda ärenden. En bedömning av vilken rening som krävs ska alltid göras i det enskilda fallet, då det är lokala förutsättningar som påverkar vilka skyddsåtgärder som krävs för att minimera risken för olägenheter för människors hälsa och miljön. Kraven ska som alltid vara ekonomiskt rimliga i förhållande till risken samt nyttan för hälsan och miljön.
Miljöförvaltningen behöver bedöma reduktionskraven utifrån hushållets totala utsläpp. Om toalettavfallet tas om hand utan utsläpp så innebär det att ungefär 90 % av kvävet, 90 % av fosforn och 40 % av BOD:n redan har avskilts från avloppsvattnet jämfört med om även WC-spillvatten skulle ha släppts ut. För att uppnå samma procentuella reduktion för en BDT-avloppsanläggning som för en anläggning där allt hushållsspillvatten är anslutet behöver BDT-spillvattnet renas till 80% enbart med avseende på BOD.
Om inte tillräckligt med uppgifter om anläggningens prestanda finns blir det svårt att bedöma om anläggningen når upp till den skyddsnivå som krävs på platsen, om ytterligare skyddsåtgärder behövs eller om anläggningen bör förbjudas, se även avsnitt Vad är ett rimligt utredningskrav?.
En svensk standard för testning av förtillverkade produkter för rening av BDT-spillvatten finns på SIS hemsida. Reningsanläggningar upp till och med 50 pe - provningsmetoder för utvärdering av förtillverkade BDT-anläggningar.
Ligger fastigheten, där den tänkta spridningen ska ske i ett område med hög skyddsnivå med avseende på miljöskydd kan kommunal hämtning av avfallet vara ett bättre alternativ än lokalt omhändertagande. Det är till exempel olämpligt att sprida detta avfall på fastigheter i miljöer där markens och vegetationens förmåga att omsätta och fastlägga tillförda näringsämnen är uppenbart låg och transportvägarna till ytvatten är korta. Exempel på sådana miljöer är fastigheter i direkt anslutning till känsliga ytvatten med berg i dagen, olämpliga avrinningsvägar och jordtäcken med otillfredsställande tjocklek. Ett medeljorddjup på minst 0,5 meter är önskvärt medan mindre än 0,25 meter är olämpligt (Jönsson, 2019).
Medan en eller några få fritidsfastigheter med sådana omständigheter knappast kan anses bidra nämnvärt till vattenkvaliteten kan ett större antal däremot vara skäl för att ställa krav på en annan typ av hantering av dessa fraktioner. En bedömning av platsen för eventuell spridning får dock göras i det enskilda ärendet.

Eget omhändertagande av till exempel latrinkompost behöver bland annat bedömas utifrån platsens förutsättningar att ta hand om näringsinnehållet i avfallet. Foto: Bodil Forsberg
Små avloppsanläggningar kan medföra risk för påverkan från andra ämnen än näringsämnen och smittämnen. Ett IVL-projekt 2012 visade att små avloppsanläggningar bidrar till spridning av läkemedelsrester till miljön samt att reduktion av läkemedelsubstanser i markbaserade anläggningar beror på utformning och skötsel av avloppsanläggningen. God syresättning och lång uppehållstid i markbaserade anläggningar är gynnsamma förutsättningar för reduktion. (Ejhed, 2012)
FORMAS-projektet Redmic visade att utgående vatten från små avloppsanläggningar kan innehålla en stor mängd olika mikroföroreningar, till exempel läkemedel, plasttillsatser, pesticider, perfluorerade ämnen, kosmetikakemikalier och livsmedelstillsatser, samt att dessa sprids i miljön. Totalt identifierades fler än 100 organiska substanser i halter liknande dem som återfinns vid stora kommunala reningsverk. Hur effektivt de små avloppsanläggningarna renade dessa ämnen varierade mycket, alltifrån inte alls till i princip total reduktion, precis som i de större, kommunala reningsverken. För vissa ämnen hade markbäddar signifikant högre reduktion än stora reningsverk (RedMic, 2019)
Ett annat forskningsprojekt, Optitreat, som bland annat jämförde tre olika typer av minireningsverk, visade att små avlopp kan vara källa till spridning av antibiotikaresistenta bakterier i miljön. Vidare konstaterades att inneboende fysiska och kemiska egenskaper hos mikroföroreningarna, till exempel vattenlöslighet, och nedbrytbarhet, avgör hur väl de reduceras i en liten avloppsanläggning. För de tre typer av minireningsverk som provtogs i projektet visades att en längre hydraulisk uppehållstid i anläggningen ledde till högre reningsgrad av såväl mikro- som makroföroreningar. (BONUS Optitreat, 2019)
Kunskapsläget om mikroföroreningar i specifika yt- och grundvattenförekomster är i dagsläget låg, men det kan inte uteslutas att många små avlopp på en begränsad yta kan vara en källa till föroreningarna.
Generellt så kan välfungerande anläggningar med en god av rening av näringsämnen och smittämnen, som är det som det normalt fokuseras på i tillståndsprövningen, i de flesta fall anses ha en rimlig rening av mikroföroreningar, även om reduktionen varierar beroende på ämne och avloppsteknik. Detta ställningstagande utgår utifrån den nuvarande tekniska nivån avseende såväl små som stora avloppsanläggningar liksom nuvarande kunskapsläge vad gäller förekomsten av dessa ämnen i miljön.
I bedömningen av anläggningens tillåtlighet behöver även ingå om anläggningens funktion över tid kan upprätthållas, speciellt om anläggningen är tekniskt avancerad och/eller om anläggningen är avsedd för många hushåll. Det bör av ansökan framgå både vad egenkontrollen omfattar och vad servicen innehåller vad avser kontroll av anläggningens funktion och eventuell justering av reningsprocessen, till exempel inställning av kemikaliedosering, se avsnitt Fackmannamässig skötsel. En bedömning behöver göras av såväl kompetens hos den person som ska serva anläggningen som vad som ingår i skötseln och hur ofta den ska ske. Sådana uppgifter kan ofta framgå av ett formellt serviceavtal med en professionell servicefirma. Servicen kan också skötas av verksamhetsutövaren om denna kan styrka motsvarande kompetens inom drift, service och eventuell provtagning. Det handlar här inte om att miljöförvaltningen ska göra en detaljerad bedömning av specifika moment i underhåll och skötsel, utan om en översiktlig bedömning av rimligheten i det som föreslås i ansökan.
För markbaserade anläggningar för ett eller ett mindre antal hushåll kan en enklare egenkontroll vara fullt tillräckligt, se avsnitt Verksamhetsutövaren egenkontroll. För villkorsskrivning se även avsnitt Drift och Skötsel och egenkontroll.
Vid tillståndsprövning bör man ta med i bedömningen att många typer av anläggningar har en uppstartsperiod innan de når full effekt både vad gäller smitt- och näringsämnesreduktion. Detta behöver tas med i lokaliseringsbedömningen. Det förekommer till exempel att fosforfällor och kemisk fällning inte installeras förrän anläggningen har varit i drift ett tag. Om det inte tas med i lokaliseringsbedömningen finns till exempel risk för smittspridning innan anläggningen har nått sin fulla reningskapacitet. Om riskerna vid uppstartsfas är stora och omgivningen mycket känslig så bör anläggningen inte tillåtas.
För produkter som är CE-märkta är tiden för uppstart en uppgift som tillverkaren inte har skyldighet att redovisa och som prövningsmyndighet kan man därför inte heller kräva in den, se avsnittet CE-märkta produkter. Däremot kan motsvarande uppgifter finnas i bruksanvisningarna.
Vid granskning av en ansökan/anmälan bör myndigheten vidare ta reda på om anläggningen kan brädda, dvs. släppa ut orenat avloppsvatten vid vissa driftförhållanden. Om anläggningen är konstruerad på ett sådant sätt att den kan brädda så behöver man vid lokaliseringsprövningen ta med risken för att avloppsvattnet kan komma att släppas ut orenat. Om utsläppet av orenat hushållsspillvatten kan leda till en väsentligt ökad risk för smitta eller annan olägenhet så bör anläggningen inte tillåtas.
En liten avloppsanläggning ska dimensioneras utifrån förväntad belastning. Grundprincipen enligt AR Små avlopp är att en avloppsanläggning för ett hushåll ska vara anpassad för minst fem personekvivalenter (pe) och åretruntboende om det inte finns starka skäl som talar emot det. Eftersom små avloppsanläggningar normalt dimensioneras efter den schablonvolym vatten som förbrukas per person och dygn blir både den hydrauliska belastningen (volymen) och mängden BOD dimensionerande. En personekvivalent motsvarar ungefär 1 person i BOD7-belastning. Vi använder därför begreppet personer istället för personekvivalenter i vägledningen.
Att räkna på antalet personekvivalenter som belastar anläggningen blir mest intressant för anläggningar som belastas av annat avloppsvatten än enbart hushållsspillvatten eller när man närmar sig en belastning på 200 pe. I det senare fallet för att veta om det handlar om en ansökan enligt 13 § FMH (under 200 pe) eller en anmälan enligt 9 kap. 6 § MB (över 200 pe). Schabloner för beräkning av belastning med avseende på personekvivalenter finns i AR Små avlopp (Havs- och vattenmyndigheten, 2016).
Den dimensionerande volymen för spillvatten från toalett och BDT är utifrån schablonvärden i AR Små avlopp 170 (150-200) liter per person och dygn och 120 (100-150) liter per person och dygn om det endast är BDT-spillvatten som är kopplat till avloppsanläggningen (Havs- och vattenmyndigheten, 2016).
För dimensionering av infiltrationsyta se Siktanalys och perkolationsprov.
Det är den sökande som har ansvaret för att visa att det finns särskilda skäl för att dimensionera en avloppsanläggning för ett hushåll för mindre än fem personer. Exempel på särskilda skäl skulle till exempel kunna vara att huset är mycket litet och är enkelt utrustat med avseende på VA-installationer, se dom från MÖD, M 5622-13 och M 3753-14.
Om avloppsanläggningen dimensioneras hydrauliskt för lägre vattenanvändning än vad som motsvarar 5 personer behöver verksamhetsutövaren vara införstådd med att om vattenanvändningen ändras (till exempel installation av dusch eller tvättmaskin) så måste detta anmälas till myndigheten (14 § FMH). Det kan också medföra att anläggningen behöver ändras eller byggas ut. Se även avsnittet om attefallshus.
Om miljöförvaltningen i detta fall gör avsteg från principen i AR Små avlopp och ger tillstånd till en ny anläggning som inte är dimensionerad för 5 personer och/eller åretruntstandard så är det lämpligt att skriva in vilken dimensionering tillståndet gäller för, en biologisk belastning av som högst x g BOD per dygn (vilket motsvarar x personer) och en hydraulisk belastning motsvarande som högst x liter vatten per dygn. Det är dock endast om det är reglerat i de lokala hälsoskyddsföreskrifterna eller motsvarande som en BDT-anläggning är tillståndspliktig.
När en anmälan om inrättande av en enkel BDT-anläggning inkommer behöver miljöförvaltningen ta ställning till om anläggningen uppfyller kraven. Kommer miljöförvaltningen fram till att den inte klarar kraven så är det formella svaret på anmälan ett förbud. Kan anläggningen accepteras kan miljöförvaltningen reglera användandet genom ett föreläggande där anläggningens dimensionering är en grundförutsättning på samma sätt som om ett tillstånd skulle ha meddelats, se ovan.
Om ett attefallshus ska kopplas på en avloppsanläggning behöver dimensioneringen av avloppsanläggningen prövas specifikt med utgångspunkt från den förväntade belastningen. Det är sålunda inte självklart att ett tillkommande attefallshus med automatik innebär att anläggningen ska klara två hushåll och därmed 10 pe, utan det bör vägas in hur många personer som rimligen kan och kommer att vistas i huvudbyggnad plus attefallshus. Här bör uppgifter om användning samt den sammanlagda bostadsytan vara viktiga omständigheter att ta med i bedömningen.
Om verksamhetsutövaren anger exempelvis ”gäststuga” som användning, bör det redovisas uppgifter om hur gäststugan är tänkt att användas. Om attefallshuset byggs med såväl kök som badrum så kan det tyda på att huset kommer att användas för längre vistelser, och därmed kan belastningen på avloppsanläggningen bli större än om huset endast ska användas för ett fåtal övernattningar. Om attefallshuset istället ska användas som en enklare gäststuga utan till exempel kök kan det i normalfallet vara rimligt att anta att gästerna annars skulle ha bott i huvudbostaden under den korta tid besöket varar.
Är attefallshuset avsett att användas som en komplementbyggnad (till skillnad från komplementbostad, se avsnitt Attefallshus och andra bygglovsbefriade åtgärder, är det inte självklart att det finns hygienfunktioner såsom kök och badrum. Miljöförvaltningen kan behöva begära in kompletterande uppgifter från anmälaren om vad byggnaden ska användas till.
Se även Vad är tillståndspliktigt respektive anmälningspliktigt?.
Avsteg från grundprincipen behöver också göras i de fall det råder särskilda förhållanden, till exempel om ansökan/anmälan gäller en samlingslokal eller motsvarande. Sökande behöver i dessa fall inkomma med information om hur belastningen har beräknats utifrån flöden och föroreningsmängder. Beräkningen behöver omfatta både min- och maxbelastning och bör utgå från närvarograd och vattenförbrukning. En anläggning som kan antas ha en hög toppbelastning men med långa intervall (låg närvarograd) skulle till exempel kunna innebära att det är möjligt att utjämna ett flöde av spillvatten över tid genom en utjämningstank, men inte nödvändigtvis att anläggningen i sig behöver vara dimensionerad för maxbelastningen. Handlar det om att ersätta en befintlig anläggning som ska uppdateras kan installation av en vattenmätare ge information om vattenförbrukningen.
Miljöförvaltningens roll är att granska ansökningshandlingarna så att beräkning och dimensionering verkar rimlig och att den sökta anläggningen har förutsättningar att klara både min- och maxbelastning.

Avsteg från grundprincipen om dimensionering kan behöva göras om avloppsanläggningar ska betjäna till exempel en samlingslokal. Foto: Bodil Forsberg
För gemensamhetsanläggningar som är dimensionerade för mer än 50 personer finns det starka skäl som talar för att man kan frångå huvudregeln om att dimensionera för lägst 5 personer per hushåll. Detta beror på att ju fler hushåll som är anslutna till avloppsanläggningen desto lägre blir sannolikheten att det bor 5 personer i alla hushåll eftersom det i medelhushållet (småhus med äganderätt) i Sverige bor ca 2,7 personer (Statistiska Centralbyrån, 2019). Att då utgå från 5 personer i varje hushåll skulle kunna ge en överdimensionerad anläggning. Självfallet spelar också bostädernas storlek och typ roll för bedömningen av hur många som rimligen kommer att bo där och belasta avloppsanläggningen.
Ansvaret för att räkna ut den aktuella belastningen ligger på den sökande och miljöförvaltningens roll är att granska redovisningen och bedöma rimligheten i beräkningarna innan beslut fattas. Gäller det dimensionering av bostäder som inte används kontinuerligt utan belastas ojämnt, till exempel semesterbyar, kan hänsyn till maxbelastning också behöva tas.
De flesta fastighetsägare som har enskilt avlopp har också egen brunn. En brunn kan ha olika typer av problem med råvattnet som gör att fastighetsägaren vill sätta in någon typ av vattenrening. Många vattenreningsanläggningar bygger, oavsett problem, på någon form av separation genom ett mekaniskt filter.
Beroende på önskad funktion kan ett filter fyllas med sand, jonbytarmaterial, specialmassor för järn och mangan etc. Många filter har en backspolnings-automatik för att spola bort det som fångats upp av filtermassan samt för att hålla filtermassan porös så att filtret inte sätter igen. Backspolningsvatten från filter för järn och mangan kommer att innehålla flockar av järn och mangan som kan riskera att sätta igen en avloppsanläggning och det bör därför inte ledas till avloppsanläggningen. Backspolningsvatten från avhärdningsfilter bygger på jonbyte med salt vilket innebär att höga salthalter kan uppkomma i spolvattnet. Vissa typer av filter kan bygga på att man tillsätter till exempel lut eller soda för att justera pH, eller kaliumpermanganat för att regenerera (återoxidera) avjärningsfilter. Vatten med högt/lågt pH och oxiderande ämnen kan också störa processerna i en liten avloppsanläggning.
Alla typer av filter backspolas dock inte. En del filter bygger till exempel på adsorption eller mekanisk filtrering utan backspolning.
Utöver risken för påverkan på avloppsanläggningen på grund av innehållet i backspolningsvattnet behöver även flödena genom avloppsanläggningen beaktas. De flesta avloppsanläggningar för ett hushåll bygger på en dimensionering på runt 850 liter per dygn. Blir belastningen betydligt högre per dygn eller stötvis hög, riskerar man slamflykt eller andra störningar i processen.
Sammanfattningsvis bör inte avledning av backspolningsvatten eller vatten från regenerering av filter tillåtas till avloppsanläggningen om den kan ta skada av detta. Detta är också ett vanligt branschkrav från leverantörer av avloppsanläggningar.
För att avloppsanläggningens funktion ska kunna kontrolleras när den väl är i drift måste anläggningen förses med kontrollmöjligheter. Kontrollmöjligheterna bör framgå redan av ansökningshandlingarna, se avsnitt Fysiska kontrollmöjligheter.
Markbaserade anläggningar bör vara byggda så att det finns en möjlighet att kontrollera deras funktion. Finns till exempel såväl fördelningsbrunn som luftare på spridningsledningarna finns möjlighet till sådan funktionskontroll. Luftarna behöver vara separata dvs. ej ihopdragna och/eller dragna åt sidan, för att de ska kunna användas för detta ändamål.
Vid anläggande av infiltrationer bör sökande installera ett grundvattenrör, se Anvisningar för grundvattenrör, eftersom avståndet till grundvattenytan är ett viktigt kriterium för anläggningens funktion. Placering och utformning av grundvattenröret bör finnas med i ansökan, exempelvis genom att grundvattenröret är markerat i situationsplanen och tydligt redovisat i profilritningen över anläggningen. I undantagsfall, då man kan belägga att avståndet till grundvatten är så stort att det är helt uppenbart att infiltrationen inte riskerar att påverkas av höga nivåer, krävs inte något grundvattenrör. Det senare kan anses uppfyllt om avståndet mellan infiltrationsnivå och grundvattennivå är större än 5 meter i grus eller större än 8 meter i morän.
Frågan om påverkan från grundvatten under drift är mindre relevant för markbäddar än för infiltrationer eftersom lerjord håller fast sitt vatten i mycket stor utsträckning och vattenströmning i lera sker sålunda väldigt långsamt. Detta beror på att lerjord har låg hydraulisk konduktivitet eftersom porerna i lera är mycket små. Om det är en lågkonduktiv jord (leror men också många moräner är lågkonduktiva), behöver man därför inte oroa sig för grundvattennivån särskilt mycket när det gäller markbäddar eftersom det är en så långsam rörelse av grundvatten att mängden ovidkommande vatten inte blir så omfattande. En konventionellt utförd markbädd i tätt markmaterial kan sålunda som regel bortföra det inträngande vattnet via uppsamlingsledningen. Däremot kan ett eventuellt efterföljande reningssteg påverkas av inträngande vatten. Beroende på den efterkommande reningens känslighet för ovidkommande vatten behöver man i dessa fall överväga att utföra markbädden med tätskikt.
Att under drift använda grundvattenrör för att kontrollera om det trycker in något grundvatten i bädden är svårt och det finns risk att nivån utanför bäddens schakt kan ligga högt utan att detta per automatik innebär några problem för reningsanläggningen. Generellt är det därför inte nödvändigt att markbäddar i jordar med låg hydraulisk konduktivitet förses med grundvattenrör.
Avloppsanläggningen bör även, i den mån det behövs, vara försedd med larm om det uppstår drift-, eller andra funktionsstörningar. Ett larm bör alltid finnas som varnar innan en sluten behållare för avloppsvatten har blivit full. Det är också rimligt att det finns larm på anläggningar som för sin funktion till exempel är beroende av pump eller att en annan rörlig del fungerar som avsett. Även vid tillsats av fällningskemikalier eller syresättning genom en kompressor är larm relevant eftersom detta är centrala delar för anläggningens funktion. Det kan också handla om utrustning för smittskyddsreduktion.
Skyddsavstånden behövs för att förebygga störningar från till exempel lukt, eller omvänt att avloppsanläggningen riskerar att påverkas av närheten till exempelvis en väg som behöver underhållas. Exempel finns i avsnittet Avstånd från anläggningsdelar till bostad, fastighetsgräns och dricksvattentäkt.
I vilken omfattning hänsyn till de fysiska omständigheterna på platsen behöver tas varierar med vilken avloppsteknik som är aktuell. Framförallt om ansökan rör en markbaserad anläggning är topografin en viktig förutsättning som behöver bedömas för att avgöra om föreslagen plats för anläggningen är lämplig. Detta utvecklas närmare i avsnitten Jordlagrets mäktighet och förmåga att transportera bort tillfört vatten och Placering av avloppsanläggningar i terrängen.
Därutöver tillkommer de skyddsavstånd som behöver hållas mellan avloppsanläggningen och vattentäkter respektive grundvatten för att anläggningen ska fungera som avsett, ge den förväntade reningen och inte medföra risk för smittspridning eller andra olägenheter. Detta utvecklas närmare i avsnitten Horisontellt skyddsavstånd till dricksvattentäkter vid markbaserad rening och Vertikalt avstånd mellan infiltrationsnivå och grundvatten.
Vattenskyddsföreskrifter kan sätta vissa ramar och begränsningar för vilka typer av avloppsanläggningar som är möjliga att anlägga inom området. Det är därför viktigt att vid en prövning av en enskild avloppsanläggning kontrollera hur föreskrifterna är utformade.
Utifrån 7 kap. 22 § MB finns möjlighet att ge dispens från vattenskyddsföreskrifterna, men dispens får endast ges om det är förenligt med förbudets eller föreskriftens syfte (7 kap. 26 § MB) och om det finns särskilda skäl för att meddela undantag.
Som utgångspunkt bör om möjligt eftersträvas en lösning där avloppsvattnet inte når vattentäkten alls eller att uppehållstiden för avloppsvattnet blir så lång som möjligt innan det når råvattnet. Finns tveksamheter kring risken för påverkan på vattentäkten bör en geohydrologisk utredning komplettera ansökan.
Bedömningen av om den ansökta avloppsanläggningen kan tillåtas eller inte inom vattenskyddsområdet bör också ta hänsyn till vad som kan bli följden på sikt av en generell tillståndsgivning av den aktuella tekniken för fastigheter inom området.
Enligt 7 kap. 21 § MB får ett mark- eller vattenområde förklaras som vattenskyddsområde av länsstyrelse eller kommun till skydd för en yt- eller grundvattentillgång som utnyttjas eller kan antas komma att utnyttjas för vattentäkt. Det finns också en möjlighet för kommunen att meddela föreskrifter avseende skydd för vattentäkter med stöd av lokala hälsoskyddsföreskrifter (9 kap. 12 § MB och 40 § 1 st. FMH).
Inom ett vattenskyddsområde ska sådana föreskrifter meddelas om inskränkningar i rätten att förfoga över fastigheter som behövs för att tillgodose syftet med området. Vattenskyddsföreskrifter kan sätta vissa ramar och begränsningar för vilka typer av avloppsanläggningar som är möjliga att anlägga inom området. Det är därför viktigt att vid en prövning av en avloppsanläggning kontrollera hur föreskrifterna är utformade.
Inom vattenskyddsområden är det naturligtvis generellt viktigt att alla avloppsanläggningar uppnår tillräckligt god rening för att inte riskera förorening av dricksvattnet.
Ett vattenskyddsområde kan också vara en vattenförekomst med en fastställd MKN, se avsnitt Tillämpning av miljökvalitetsnormer vid prövning av små avlopp.

I föreskrifter för vattenskyddsområden kan finnas särskilda bestämmelser om hur avloppsvatten ska hanteras. Det är möjligt att i föreskrifterna ställa krav på att till exempel ledningar och teknisk utrustning som hör till en liten avloppsanläggning ska vara av en viss kvalitet för att tillstånd ska kunna medges inom vattenskyddsområdet. Det är också möjligt att i vattenskyddsområdes-föreskrifter ställa krav som går längre än vad som följer av den grundläggande lagstiftningen. Ett exempel kan vara att istället för krav på tillstånd/anmälan är inrättande av en avloppsanläggning förbjuden inom hela eller delar av vattenskyddsområdet. Utifrån 7 kap. 22 § MB finns möjlighet att ge dispens från vattenskyddsföreskrifterna, men dispens får endast ges om det är förenligt med förbudets eller föreskriftens syfte (7 kap. 26 § MB) och om det finns särskilda skäl för att meddela undantag. Det är viktigt att komma ihåg att båda rekvisiten ska vara uppfyllda för att det ska vara möjligt att meddela en dispens se bl.a. avgörande från MÖD, M 3292-17.
Oavsett hur prövningen av avloppsärenden är reglerad i skyddsföreskrifterna så är varje ny prövning av en ansökan/anmälan ett separat ärende där högre, men inte lägre, krav kan ställas än vad som regleras i föreskrifterna, om så är motiverat. Utgångspunkten för prövningen är att en riskbedömning utifrån försiktighetsprincipen ska göras i varje enskilt fall med utgångspunkt från förutsättningarna på den aktuella platsen. Riskbedömningen bör utgå ifrån platsens geologiska och hydrologiska förutsättningar, vilken teknik som är aktuell och vilka spridningsvägar som finns för avloppsvattnet till vattentäkten. Som utgångspunkt bör om möjligt eftersträvas en lösning där avloppsvattnet inte når vattentäkten alls eller att uppehållstiden för avloppsvattnet blir så lång som möjligt innan det når den. Finns tveksamheter kring risken för påverkan på vattentäkten bör en geohydrologisk utredning komplettera ansökan.
Bedömningen av om den ansökta avloppsanläggningen kan tillåtas eller inte inom vattenskyddsområdet bör också ta hänsyn till vad som kan bli följden på sikt av en generell tillståndsgivning av den aktuella tekniken för fastigheter inom området, se till exempel dom från MMD, M 344-16 och M 2813-11.
Ibland finns inga bestämmelser alls om avloppsanläggningar i vattenskyddsföreskrifterna. Vattenskyddsområdet bör ändå beaktas som en särskild prövningsförutsättning i kommunens ordinarie arbete med att pröva ett sådant tillståndsärende. Även om inte avloppsanläggningar i sig är reglerade i föreskrifterna kan det finnas andra bestämmelser om till exempel schaktning och maskinarbeten som bör beaktas i ett avloppstillstånd.
Det kan också finnas krav på tillstånd för BDT-avloppsanläggningar inom vissa delar av kommunen, reglerat i de lokala hälsoskyddsföreskrifterna (9 kap. 12 § 2 st. MB), vilket kan inbegripa ett vattenskyddsområde.
Om vattentäkten är en ytvattentäkt omfattas den förmodligen också av strandskydd vilket begränsar till exempel bygglovsgivning och prövningar enligt miljöbalken. Strandskydd och små avlopp behandlas under avsnittet Strandskydd.
Behövs en prövning utifrån föreskrifterna om vattenskyddsområdet så är det en separat process med ett eget beslut, även om beslutet kan fattas i samma dokument som avloppstillståndet i sig om man så vill. Detta förutsätter att det är miljöförvaltningen som har tillsyn/prövning enligt vattenskyddsföreskrifterna. Generellt har den som fastställt ett vattenskyddsområde också tillsynen/prövningen. Länsstyrelsen kan överlåta tillsynen/prövningen till kommunen. Det kan finnas behov av att remittera ansökan/anmälan till såväl huvudmannen för vattenskyddsområdet som till den som har tillsyn/prövningsansvar. Se även avsnitt Remiss.
Har beslutet om att inrätta ett vattenskyddsområde vunnit laga kraft kan det inte överklagas av en sökande av tillstånd till en liten avloppsanläggning. Det är enbart avloppsbeslutet som får överklagas inom överklagandetiden.
Främsta orsaken till att avloppsanläggningar ofta regleras inom vattenskyddsområden är att avloppsvatten kan utgöra en betydande risk för mikrobiell förorening av råvattnet. Den stora konsekvensen av just dricksvattenburna sjukdomsutbrott är att smittspridningen sker snabbt via dricksvattennätet och därmed berör många människor. En enda infekterad person kan utsöndra ett stort antal sjukdomsframkallande mikroorganismer via avföringen (fekalierna). Vissa smittämnen överlever länge, har låg infektionsdos och kan dessutom vara svåra att avskilja i vattenverken. Sammantaget innebär detta att dåligt lokaliserade eller bristfälligt underhållna små avloppsanläggningar, även om de har tillstånd, kan utgöra en reell risk för dricksvattenförsörjningen.
Det är sökandes ansvar att visa att den aktuella anläggningen inte riskerar att medföra skada eller olägenhet för människors hälsa eller miljön. I en dom från MMD, M 3912-14, godtogs inte ett minireningsverk utan efterpolering inom ett vattenskyddsområde då sökanden inte visat att anläggningen hade en tillfredställande reduktion av smittämnen. I en annan dom från MMD, M 2113-15, bedömde domstolen att den sökanden inte hade visat att efterpoleringssteget gav tillräckligt låga bakteriehalter i förhållande till den skyddsnivå som gällde i vattenskyddsområdet där den skulle placeras.
Smittskyddsaspekten är särskilt viktig att ta ställning till vid val av avloppsreningsteknik. Vad som är att betrakta som lämpligast teknik beror på om vattentäkten är en yt- eller grundvattentäkt. Om vattentäkten är en ytvattentäkt kan infiltrerande anläggningar vara att föredra eftersom de genom fördröjning bidrar till en viss fastläggning och inaktivering av smittämnen. Om vattentäkten är en grundvattentäkt så kan just markbaserade system med infiltration till grundvatten emellertid vara problematiska eftersom systemen under olyckliga omständigheter kan innebära en direkttillförsel av smittämnen till råvattnet. Sådan omständigheter kan till exempel handla om att avståndet till grundvattennivån blir för kort genom att det blir ett genombrott i infiltrationen eller att grundvattennivåns läge blir högre än beräknat. Vatten rör sig inte heller inte helt jämnt i mark utan rinner i sprickor och porer vilket gör att uppehållstiden kan vara kortare än vad som teoretiskt kan uppskattas. Uppehållstiden mellan infiltrationspunkten till uttagspunkten kan därmed vara för kort för att eventuella smittämnen ska hinna reduceras. Se avsnitt Horisontellt skyddsavstånd till dricksvattentäkter vid markbaserad rening.
För att kunna bedöma risken med en ny avloppsanläggning inom ett vattenskyddsområde kan det vara viktigt att ta reda på hur dricksvattenproduktionen sker i vattenverket. Om ytvatten används sker ofta beredningen i vattenverket i ett flertal steg med avskiljning av smittämnen. Detta är nödvändigt eftersom ytvatten ofta har en mer varierande råvattenkvalitet än grundvatten. Om däremot grundvatten används är det vanligt att vattenberedningen i vattenverket är enkel och kanske helt utan desinfektion. I det fallet kan smittämnen som tillförs grundvattnet, genom dåligt fungerande avloppslösningar i närområdet till intaget, medföra allvarliga konsekvenser för dricksvattenförsörjningen. En större ytvattentäkt med ett avancerat vattenverk är alltså mindre känsligt för föroreningar än en grundvattentäkt med en enklare vattenberedning. Grundvatten har också långsam omsättningstid och svårigheterna är stora att sanera en förorening i efterhand.
Under förutsättning att BDT-spillvattnet renas tillräckligt innan det släpps ut så ger en avloppsanläggning där WC-spillvattnet samlas upp separat generellt sett ett robust skydd mot mikrobiella föroreningar. Det utesluter inte att det kan finnas andra tekniska lösningar som ger motsvarande skydd mot smittämnen.
Se även avsnitt Bedömning av rening av andra ämnen än smittämnen och näringsämnen.
För att bättre kunna bedöma mikrobiella risker för grundvattentäkter har Svenskt Vatten i samarbete med bland annat SGU utvecklat ett så kallat QMRA-verktyg för att kvantifiera infektionsrisken med hänsyn till de naturliga barriärerna i mark och grundvatten. Resultaten utvärderas genom jämförelser med valda acceptansnivåer för infektionsrisken. Metoden med fallstudier från några vattenskyddsområden beskrivs i SVU-rapport 2016-19 ”Mikrobiologisk riskbedömning av grundvattentäkter”. Verktyget är främst ett sätt för huvudmannen för vattentäkten att kunna kvantifiera de mikrobiella riskerna men också en möjlighet för miljöförvaltningen att kunna differentiera och motivera de krav som ställs på små avlopp inom ett specifikt vattenskyddsområde.
Kväve och fosfor från små avloppsanläggningar kan påverka både grundvatten och ytvatten inom ett vattenskyddsområde.
Kvävetillförseln från infiltrationsanläggningar för hushållsspillvatten utgör en betydande föroreningsrisk för grundvattnet. Fosfor är normalt inte något större problem för en grundvattentäkt. Fosfor kan dock orsaka problem i ytvatten då det är en begränsande tillväxtfaktor i sötvatten.
Ett vattenskyddsområde är vanligen indelat i skyddszoner- primär, sekundär och ibland tertiär skyddszon. Beroende på om det är en grundvattentäkt eller en ytvattentäkt så har skyddszonerna lite olika utformning. Utgångspunkt för zonindelningen för grundvattentäkter är uppehållstider i mark och för ytvattentäkter rinntider i öppna vattenvägar tillsammans med fasta skyddsavstånd. Avgränsning och zonindelning av ett vattenskyddsområde är ett sätt att skapa en övergripande bild av hur vattentäkten fungerar. Dessutom är indelningen i zoner ett sätt att beakta kravet på proportionalitet gentemot den enskilde när föreskrifter meddelas eftersom riskerna för påverkan av råvattnet sannolikt varierar inom området. Däremot är inte syftet att zonerna rakt av ska kunna användas som underlag vid prövningar på enskilda fastigheter. Ett undantag är naturligtvis om vattenskyddsföreskrifterna anger totalförbud mot anläggning av avlopp inom någon enskild zon. Då är utgångspunkten att förbudet ska följas om det inte finns särskilda skäl för dispens (7 kap. 22 § MB).
Det är viktigt att komma ihåg att det inte är säkert att vattenskyddsområdets zonindelning ger ett bra stöd i bedömningen av risken för påverkan på dricksvattnet eftersom indelningen i zoner kan ha genomförts utifrån andra utgångspunkter som inte riktigt passar i det enskilda fallet som är uppe till prövning.
Ibland kan en ny anläggning leda till att vattenförbrukningen ökar och att vattnet i det aktuella området därmed inte räcker eller att det finns en ökad risk för saltvatteninträngning om en redan hårt belastad grundvattentillgång belastas ytterligare. Om grundvattnet tas från en grundvattenförekomst kan det innebära en negativ påverkan på MKN för kvantitativ och kemisk status. Se även avsnitt Kvantitativ status i grundvatten.
Ofta handlar detta om områden där det finns många fritidshus som från början byggts med enkel standard, men där kraven på bekvämlighet ökat allteftersom i så kallade omvandlingsområden. Miljöförvaltningen behöver vid en prövning av en ansökan i ett sådant område bland annat avgöra vad följden skulle bli av en generell tillståndsgivning till nya avlopp för många eller alla fastigheter i området. Ifall risk för betydande påverkan på vattentillgången kan konstateras kan detta utgöra skäl till att avslå ansökan om tillstånd till en anläggning med vattentoalett, se regeringsrättens dom M 2196-93.
I en dom från MÖD, M 747-08, avslogs till exempel en ansökan då domstolen bedömde att nybyggnation med vattentoalett skulle kräva ett uttag ur den redan hårt belastade grundvattentillgången, vilket riskerade att leda till ökade sanitära olägenheter i området.
I en annan dom från MÖD, M 7681-08, gjordes en annan bedömning och domstolen kom fram till att utredningen visade att risken för saltvatteninträngning i grundvatten inom det relevanta området var i det närmaste försumbar. Då inga andra miljömässiga risker förelåg saknades det skäl för att inte tillåta anläggningen i efterhand.
I kommunens lokala hälsoskyddsföreskrifter kan tillståndsplikt ha införts (med stöd av 9 kap. 10 § MB) för inrättande av grundvattentäkt inom sådana områden ”där knapphet på sött grundvatten råder eller kan befaras uppkomma”. Det kan finnas relevanta undersökningar om dricksvattentillgången som legat till grund för ovan nämnda föreskrifter, som miljöförvaltningen behöver ta del av för att en bedömning av ansökan ska kunna göras. Sådana undersökningar kan också ha tagits fram inom ramen för kommunens arbete med översiktsplanen.
Strandskyddsfrågan ingår i tillståndsprövningen av ett litet avlopp men prövas av den myndighet som har ansvar för strandskyddsdispenser om det gäller en anmälan.
Ligger den planerade avloppsanläggningen inom strandskyddat område ska bedömning göras av om den hindrar eller avhåller allmänheten från att beträda ett område där den annars skulle ha fått färdas fritt och/eller om livsvillkoren för växt- och djurlivet väsentligt förändras (7 kap. 15 § MB). Om avloppstillståndet inte medför detta så omfattas avloppsanläggningen inte av förbudet i 15 § och därmed behöver ingen strandskyddsprövning göras. I avloppstillståndet ska det motiveras varför ingen strandskyddsprövning behövs.
Behöver en strandskyddsprövning göras måste särskilda skäl finnas för att kunna medge tillstånd till avloppsanläggningen (7 kap. 18 § c-d MB). Finns sådana särskilda skäl behöver inte något särskilt beslut om dispens från strandskyddsbestämmelserna fattas utan denna fråga ska ingå och motiveras i ”det vanliga” avloppstillståndet.
I 7 kapitlet MB finns bestämmelser om strandskydd. Strandskyddet syftar till att långsiktigt trygga förutsättningarna för allemansrättslig tillgång till strandområden, och att bevara goda livsvillkor för djur- och växtlivet på land och i vatten, se figur 27.
Naturvårdsverket vägleder om strandskydd på bland annat sin webbplats. Alla relevanta delar av denna vägledning bör följas.
Generellt strandskydd omfattar land- och vattenområdet intill 100 meter från strandlinjen vid normalt medelvattenstånd vid havet och vid insjöar och vattendrag. Ibland kan länsstyrelsen genom ett beslut i det enskilda fallet ha utökat strandskyddet till max 300 m.

Figur 27 Strandskyddet omfattar land- och vattenområdet intill 100 meter från strandlinjen vid normalt medelvattenstånd vid havet och vid insjöar och vattendrag. Länsstyrelsen får i det enskilda fallet besluta att utvidga strandskyddsområdet till högst 300 meter från strandlinjen, om det behövs för att säkerställa något av strandskyddets syften.
I 7 kap. 15 § MB anges att inom ett strandskyddsområde får inte byggnader uppföras, grävningsarbeten vidtas eller åtgärder vidtas som väsentligt förändrar livsvillkoren för djur- eller växtarter. En annan av de saker som är förbjudna enligt strandskyddsreglerna är att utföra anläggningar eller andra anordningar, ändra byggnader eller användningen av dem om det hindrar eller avhåller allmänheten från att beträda ett område där den annars skulle ha fått färdas fritt. Även ”förberedelsearbeten” till bebyggelse (till exempel en byggnad för ett litet avloppsreningsverk) kan vara förbjudet enligt 7 kap. 15 § p 3 MB. Detta gäller till exempel trädfällning, grävning eller schaktning för husgrund. Provgropar är också sådana förberedelsearbeten som är förbjudna och kräver dispens om de väsentligt kan förändra livsvillkoren för djur- eller växtarter inom strandskyddat område. I så fall behöver en separat dispensprövning göras av provgropen även om tillstånd senare kommer att sökas för själva avloppsanläggningen.
Av 7 kap. 16 §, 2p MB framgår att förbudet i 15 § inte gäller för verksamheter som omfattas av tillstånd enligt miljöbalken. I dessa fall förutsätts att strandskyddsreglerna beaktas i den aktuella tillståndsprövningen och att prövningsmyndigheten inom ramen för denna prövning gör en motsvarande bedömning som vid dispensprövning. Detta innebär att vid tillståndsprövning, även av en avloppsanläggning, så ska miljöförvaltningen ta in strandskyddsfrågan i prövningen. Prövningen ska utgå från bestämmelserna i 7 kap. 13-18 samt 25 och 26 §§ MB. Vid strandskyddsprövningen ska bedömas om verksamheten (avloppsanläggningen) får bedrivas i strandskyddsområdet. Samma förutsättningar måste vara uppfyllda som gäller vid dispensprövning även om någon uttrycklig dispens inte ges ifall tillstånd till avloppsanläggningen meddelas. Detta innebär att det krävs särskilda skäl för att få vidta åtgärden (se avsnitt När kan dispens från strandskyddsbestämmelserna ges?) Något separat beslut om dispens från strandskyddsbestämmelserna behöver inte fattas utan detta ska ingå och motiveras i avloppstillståndet - om förutsättningarna för strandskyddsdispens finns. Däremot kan miljöförvaltningen behöva remittera ärendet till den myndighet som handlägger strandskyddsdispenser för att få stöd i bedömningen av strandskyddsfrågan, se avsnittet Remiss.
Gäller det en anmälan om ett litet avlopp så sker ingen strandskyddsprövning inom ramen för anmälan. Miljöförvaltningen behöver i dessa fall överlämna ärendet till den myndighet som handlägger strandskyddsdispenser för att strandskyddsfrågan ska handläggas där. Om strandskyddet berör ett annat område skyddat enligt 7 kap. miljöbalken där skyddet inte meddelats av kommunen, är det länsstyrelsen som är beslutande i ärendet (se 7 kap. 18a § MB). Miljöförvaltningen måste invänta eventuellt beslut om strandskyddsdispens, alternativt besked om att dispens inte behövs.
Inledningsvis ska avgöras om den sökta avloppsanläggningen omfattas av förbuden i 7 kap. 15 § MB, det vill säga om avloppsanläggningen
Om avlopptillståndet inte medför detta så omfattas avloppsanläggningen inte av förbuden i 15 § och därmed behöver ingen strandskyddsprövning göras. Ett exempel: om avloppsanläggningen avses placeras inom en tomtplats dit allmänheten inte har tillträde och anläggningen inte kommer att väsentligt ändra livsvillkoren för växt- och djurlivet, så behövs ingen strandskyddsprövning.
Länsstyrelsen kan också ha meddelat föreskrift om undantag från förbuden enligt 7 kap. 15 § MB. Då behöver ingen strandskyddsprövning göras om avloppsanläggningen är en kompletteringsåtgärd till huvudbyggnaden och placeras

Figur 28 Även om det är mindre vanligt kan den ansökta avloppsanläggningen, trots att den ligger inom en tomtplats, väsentligt förändra livsvillkoren för växt- och djurlivet – förbud enligt 7 kap. 15 § MB kan då gälla. Länsstyrelsen kan ha meddelat föreskrift om att det inte krävs dispens från strandskyddsbestämmelserna inom 15 meter från huvudbyggnaden. Avståndet till stranden ska vara minst 25 meter.
Även om prövningen av strandskyddet ingår i en tillståndsprövning så bör utgångspunkten vara att bestämmelserna för strandskyddsdispens ska tillämpas (särskilda skäl, strandskyddets syften, fri passage).
En förutsättning för dispens från strandskyddet är att det finns s.k. särskilda skäl. Som särskilda skäl får man endast använda något av de sex särskilda skäl som anges i 7 kap. 18 c § MB. Det kan till exempel vara att området redan har tagits i anspråk på ett sätt som gör att det saknar betydelse för strandskyddets syften (skäl 1). Det är möjligt att även skäl 5 skulle kunna vara tillämpbart, med hänvisning till att en fastighet blir bättre lämpad för bostadsändamål i ett längre perspektiv samt av miljö-/hälsoskyddsskäl. Inom ett område för landsbygdsutveckling i strandnära läge får man även använda de särskilda skäl som anges i 7 kap. 18 d § MB. Åtgärder som vidtas inom strandskyddsområde måste också alltid vara förenliga med förbudets syfte, se 7 kap. 26 § MB.
Ifall förutsättningarna för dispens från strandskyddet inte föreligger är det ett skäl till att avslå avloppsansökan med stöd av lokaliseringsprincipen i 2 kap. 6 § miljöbalken. Figur 29 beskriver de olika stegen i bedömningen.
Det finns även vissa typer av byggnationer och åtgärder till exempel anordningar som behövs för näringsverksamhet inom bland annat jordbruket som inte omfattas av det generella förbudet, och som därför inte heller behöver strandskyddsprövas. En avloppsanläggning som till exempel hör till en byggnad som behövs för jordbrukets ändamål och som inte avser att tillgodose bostadsändamål behöver sålunda inte strandskyddsprövas. Vilka övriga åtgärder som är undantagna från förbudet i 15 § framgår av 7 kap. 16 § miljöbalken. I avloppstillståndet ska motiveras varför ingen strandskyddsprövning behövs.
Figur 29 Processchema strandskydd. Klicka på bilden för en större version.
Det är viktigt att i ett beslut om tillstånd till ett avlopp motivera till exempel varför en strandskyddsprövning inte behövs, trots att anläggningen ligger inom strandskyddat område.
Om strandskyddsprövning däremot behövs och förutsättningar för dispens finns samt tillstånd till avloppsanläggningen kan meddelas ska det tydligt framgå varför strandskyddsreglerna inte utgör hinder för tillstånd till avloppsanläggningen.
Det kan också vara lämpligt att i tillståndet villkora om försiktighetsåtgärder, för att säkra att påverkan från den tillåtna åtgärden motverkas eller begränsas så långt som möjligt. Ett sådant exempel på villkor är att utsläppspunkten ska anordnas utan att påverka bäckfåran samt så att bäckslänten får ett naturligt utseende. Andra villkor kan handla om att körning eller upplag av massor inte får ske inom ett visst område eller att arbeten som kan påverka vattenkvaliteten inte får utföras under viss tid på året för att undvika störning på fisk.
Natura 2000-frågan ingår i tillståndsprövningen av ett liten avloppsanläggning men prövas av länsstyrelsen om det gäller en anmälan.
Om avloppsanläggningen kan komma att påverka miljön i Natura 2000-området på ett betydande sätt så krävs en Natura 2000- prövning. Även kumulativa effekter ska beaktas. Ansökan ska i sådana fall kompletteras med en MKB.
Tillstånd enligt 7 kap. 28 a § MB får lämnas endast om verksamheten eller åtgärden ensam eller tillsammans med andra pågående eller planerade verksamheter eller åtgärder inte kan skada den livsmiljö eller de livsmiljöer som är tänkta att skyddas eller medför att den art eller de arter som avses att skyddas utsätts för en störning som på ett betydande sätt kan försvåra bevarandet i området av arten eller arterna.
Om en Natura 2000-prövning inte behövs ska det motiveras i avloppstillståndet.
Lämnas ett Natura 2000-tillstånd är det ett separat beslut, men det kan fattas i samma dokument som det ”vanliga avloppstillståndet”.
Av 7 kap. 28 a § MB framgår att det krävs tillstånd för att bedriva verksamheter eller vidta åtgärder som på ett betydande sätt kan påverka miljön i ett Natura 2000-område. Tillståndsplikten gäller även för verksamheter eller åtgärder som bedrivs eller vidtas utanför Natura 2000-området, om den på ett betydande sätt kan påverka miljön inom Natura 2000-området. Det viktigaste är alltså inte var verksamheten är lokaliserad utan avgörande är istället den påverkan den kan få på ett Natura 2000-område. En avloppsanläggning kan komma att påverka ett Natura 2000-område om avloppsvattnet till exempel släpps till ett vattenområde som utpekats som Natura 2000, men också om avloppsanläggningen lokaliseras till mark med till exempel höga botaniska eller entomologiska värden inom Natura 2000-området. Det är därför viktigt att relatera avloppsanläggningens risk för påverkan till de värden som Natura 2000-området syftar till att skydda, vilket framgår av respektive Natura-2000-områdes bevarandeplan. Figuren nedan förklarar de olika stegen i bedömningen.
En specifik miljöbedömning ska alltid göras i frågan om en verksamhet eller åtgärd som ska prövas för ett tillstånd som avses i 7 kap. 28 a § MB. Naturvårdsverket vägleder om miljöbalkens systemfrågor och har vägledning på sin webbplats rörande 6 kap. MB som omfattar alla verksamheter och åtgärder enligt miljöbalken. Vid utförande av en miljöbedömning bör relevanta delar av Naturvårdsverkets vägledning följas. Naturvårdsverket vägleder även specifikt om Natura 2000.
Processchema Natura 2000. Klicka på bilden för en större version.
Av 7 kap. 29 b § MB framgår att frågor om Natura 2000-tillstånd normalt sett prövas av länsstyrelsen, men
för en verksamhet eller åtgärd som omfattas av tillståndsplikt eller dispensprövning till följd av bestämmelserna i 9 kap. eller 11-15 kap. skall dock frågan om tillstånd enligt 28 a § prövas av den myndighet som prövar den andra tillståndsfrågan eller dispensen.
Enligt denna bestämmelse gäller då att frågan om tillstånd enligt 7 kap. 28 a-b §§ ska prövas av den kommunala nämnden i samband med en tillståndsprövning av ett litet avlopp enligt 9 kap. Syftet är att säkerställa en samlad prövning av anläggningen och dess påverkan.
Eftersom anmälningspliktiga avloppsåtgärder inte omfattas av 7 kap. 29 b § MB är det länsstyrelsen som prövar Natura 2000-frågan i dessa fall. Riskerar en anmälningspliktig åtgärd att påverka ett Natura 2000-område bör miljöförvaltningen samråda med länsstyrelsen kring den fortsatta handläggningen. För små avloppsanläggningar är det troligen de större anläggningarna, mellan 50-200 pe, som innebär störst risk för en sådan påverkan. Miljöförvaltningen kan meddela ett tillfälligt förbud mot att tills vidare påbörja verksamheten för att tillräckligt med tid ska finnas för en eventuell utredning.
Först måste den kommunala nämnden göra en bedömning av om den ansökta verksamheten kan komma att påverka naturmiljön på ett betydande sätt. Det är viktigt att inte blanda ihop förutsättningarna för när tillståndskravet gäller (7 kap. 28 a § MB) med vad som gäller för att myndigheten ska få lämna tillstånd (7 kap. 28 b § MB). Kravet för när tillstånd krävs är mer allmänt formulerat i syfte att fånga upp verksamheter som typiskt sett kan innebära en sådan påverkan.
För att avgöra om den planerade verksamheten omfattas av tillståndsplikt eller inte räcker det med att det finns en sannolikhet för att det kan påverka naturmiljön på ett betydande sätt ”i ett naturområde som har förtecknats”. Försiktighetsprincipen gäller vid osäkerhet – risken räcker för att ”trigga igång” tillståndskravet. För att miljöförvaltningen ska kunna avgöra om en avloppsanläggning kan påverka miljön i ett Natura 2000-område krävs att den som söker tillstånd ger in ett tillräckligt beslutsunderlag. Det är den som söker som har bevisbördan för hur en avloppsanläggning kan komma att påverka genom exempelvis utsläpp till ett vattenområde som utpekats som Natura 2000-område, men även risk för fysisk påverkan på Natura 2000-området kan utlösa ett tillståndskrav. Även kumulativa effekter av påverkan från små avloppsanläggningar på Natura 2000-området ska beaktas, och som nämnts ovan behöver inte avloppsanläggningen vara fysiskt placerad inom det utpekade området för att risk för påverkan ska kunna finnas.
En ansökan som innehåller de uppgifter som finns angivna i bilaga 4 i AR Små avlopp bör normalt sett vara tillräckligt för att kunna avgöra om tillstånd enligt 7 kap. 28 a § MB behövs.
För att bedöma om det finns en risk för att naturmiljön kommer att påverkas på ett betydande sätt kan det därutöver vara lämpligt att inhämta länsstyrelsens synpunkter. Se även avsnittet Remiss.
Om Natura 2000-tillstånd inte behövs handläggs ansökan enligt de ”vanliga” bestämmelserna för små avloppsanläggningar. Det är viktigt att myndigheten anger i sitt avloppsbeslut vilka skäl som lett fram till bedömningen att verksamheten inte kommer att påverka miljön på ett betydande sätt.
Om bedömningen blir att Natura 2000-tillstånd behövs uppkommer frågan om den sökande behöver komplettera sin ansökan med en MKB. Enligt 6 kap. 20 § p 1 MB ska en specifik miljöbedömning alltid göras i frågan om en verksamhet eller åtgärd som ska prövas för ett tillstånd som avses i 7 kap. 28 a § MB. I 7 § förordning om miljöbedömningar (2017:966) anges ett undantag från kravet på MKB för ansökan om tillstånd till åtgärd som avses i 13 § FMH, dvs. vid inrättande av avloppsanläggningar. Man får här ta med i bedömningen att lagstiftaren dock inte har meddelat något generellt undantag från krav på Natura 2000-tillstånd för avloppsanläggningar som kräver tillstånd enligt 13 § FMH. Undantaget från MKB gäller alltså inte om avloppsanläggningen kräver tillstånd enligt 7 kap. 28 a § MB. Om Natura 2000-tillstånd behövs ska en MKB göras helt i enlighet med 6 kap. 20 § p 1 och 35-36 §§ MB. Denna MKB ska vara inriktad på Natura 2000-frågan och innehålla de uppgifter som behövs för prövningen enligt 7 kap. 28 b och 29 §§.
I de fall miljöförvaltningen bedömer att Natura 2000-tillstånd krävs ska länsstyrelsen ges möjlighet att yttra sig över ansökan inklusive MKB:n (7 kap. 29 b § MB). Innan en MKB tas fram ska också ett så kallat avgränsningssamråd genomföras enligt 6 kap. 28 § MB. Syftet är bland annat att avgränsa MKBn:s innehåll och utformning, se 6 kap. 29-32 §§ MB.
Om en verksamheten eller åtgärd kan antas påverka miljön i ett naturområde som är förtecknat enligt 7 kap. 27 § första stycket 1 eller 2, ska miljökonsekvensbeskrivningen innehålla
Bestämmelsen innebär att en miljökonsekvensbeskrivning aldrig får sakna de uppgifter som behövs för en prövning av en verksamhet eller åtgärd som kan antas påverka miljön i ett Natura 2000-område. Sådan påverkan ska beaktas vid en tillståndsprövning enligt 9 kap MB.
De uppgifter som kan komma att behövas varierar bland annat beroende på hur anläggningen utifrån dimensionering, placering och utsläppspunkt kan komma att påverka de värden som 6 kap. 28 § MB.
Viktigt underlag för denna bedömning kan hämtas i länsstyrelsens bevarandeplaner för respektive Natura 2000-områden. Dessa planer ska konkretisera bevarandesyftet och ta fram bevarandemål för att beskriva områdets bidrag till gynnsam bevarandestatus för de arter och/eller naturtyper som finns i området. I planerna brukar också framgå vilka åtgärder som är särskilt känsliga i områdena.
Kartor och övrig information om Natura 2000-områden finns tillgängliga i Naturvårdsverkets kartverktyg ”Skyddad natur”.
Enligt 7 kap. 28 b § får miljöförvaltningen lämna tillstånd endast om verksamheten eller åtgärden ensam eller tillsammans med andra pågående eller planerade verksamheter eller åtgärder inte kan skada den livsmiljö eller de livsmiljöer som är tänkta att skyddas, eller medför att den art eller de arter som avses skyddas utsätts för en störning som på ett betydande sätt kan försvåra bevarandet i området av arten eller arterna. Ett tillståndsbeslut kan förenas med villkor enligt 16 kap. 2 § MB. Ett Natura 2000-tillstånd är ett separat beslut men kan fattas i samma dokument som det ”vanliga avloppstillståndet”.
Om miljöförvaltningen gör den sammanlagda bedömningen att tillstånd kan ges är det viktigt att i beslutsskälen noga motivera vilka överväganden som gjorts. Om tillståndet behöver villkoras ska även detta motiveras.
Om miljöförvaltningens bedömning istället blir att Natura 2000-tillstånd inte kan ges ska ansökan avslås med stöd av 7 kap. 28 b § och 2 kap. 6 § MB (lokaliseringsprincipen). Även i dessa fall är motiveringen av avgörande betydelse. Det måste tydligt framgå för sökanden och andra parter vilka omständigheter som varit avgörande för bedömningen i det enskilda ärendet.
I en dom från MMD, M 2425-15, avslogs en ansökan om minireningsverk med utsläpp till en känslig havsvik som var Natura 2000-skyddad.
Andra skyddade områden enligt 7 kap MB kan vara till exempel naturreservat, biotopskyddsområde eller nationalpark. För dessa områden finns ett särskilt beslut om skydd samt vilka bestämmelser som gäller för området.
Det finns också så kallat generellt biotopskydd för vissa lätt identifierbara biotoper, bland annat alléer, stenmurar och småvatten i jordbruksmark och åkerholmar.
Verksamhet eller åtgärder får inte vidtas inom skyddade områden som kan skada natur/kulturmiljön eller kan motverka syftet med skyddet.
Om det finns särskilda skäl, får dispens ges i det enskilda fallet. Sådana dispenser prövas av den myndighet som beslutat om skyddet - länsstyrelsen, skogsstyrelsen eller kommunen. Gäller det dispens från generellt biotopskydd till exempel alléer, åkerholmar med mera prövas dessa alltid av länsstyrelsen.
I 7 kapitlet i miljöbalken finns utöver bestämmelser om strandskydd, vattenskyddsområden och Natura 2000-områden också bestämmelser som rör
För ett skyddat område finns ett särskilt beslut om skydd med motivet till skyddet och vilka bestämmelser som gäller för det specifika området. Detta gäller med undantag för biotopskyddsområden där det finns två kategorier – dels sådana biotopskyddsområden som har beslutats för ett visst område av länsstyrelsen, skogsstyrelsen eller kommunen, dels sådana biotoper som är lätt identifierbara och som åtnjuter ett allmänt skydd i hela landet – utan att ett specifikt beslut fattats i varje enskilt fall (så kallat generellt biotopskydd). De biotoper som har ett allmänt skydd är
Generellt får inte verksamhet eller åtgärder vidtas inom skyddade områden som kan skada natur/kulturmiljön eller kan motverka syftet med skyddet. Exempel på sådana åtgärder inom ett skyddat område kan vara:
Om det finns särskilda skäl, får dispens ges i det enskilda fallet. Sådana dispenser prövas av den myndighet som beslutat om skyddet - länsstyrelsen, skogsstyrelsen eller kommunen. Gäller det dispens från generellt biotopskydd till exempel alléer, åkerholmar m.m. prövas dessa alltid av länsstyrelsen.
Miljöförvaltningen bör innan beslut ha en dialog med den aktör som äger frågan om dispens (19 kap. 4 § MB), se avsnitt Remiss. Kan inte dispens meddelas är detta ett tecken på att det ur naturvårdssynpunkt är olämpligt att placera en avloppsanläggning på den aktuella platsen, se domar från MMD, M 6898-15 där en ansökan om tillstånd till avloppsanläggning inom ett område som omfattades av ett regeringsbeslut avslogs och M 2939-10 där dispens för avloppsanläggning inom naturreservat inte gavs.
Tillståndsansökan kan i sådana fall avslås med stöd av lokaliseringsprincipen i 2 kap 6 § MB. Eftersom dispensprövningen kan ha betydelse för lokaliseringsbedömningen är det alltså viktigt att miljöförvaltningen inväntar dispensprövningen.
Riskerar en anmälningspliktig åtgärd att påverka ett skyddat område bör miljöförvaltningen samråda med länsstyrelsen kring den fortsatta handläggningen. Miljöförvaltningen kan meddela ett tillfälligt förbud mot att tills vidare påbörja verksamheten för att tillräckligt med tid ska finnas för en eventuell utredning. Se även avsnitt Anmälan.
Små avloppsanläggningar omfattas inte av samrådsplikten i 12 kap 6 § MB vid väsentlig påverkan på naturmiljön utan detta ska ingå i tillståndsprövningen eller bedömning av anmälan.
I ett område med dokumenterat höga natur- eller kulturmiljövärden eller i ett område som annars är känsligt kan även en förhållandevis liten åtgärd innebära väsentlig ändring av natur- eller kulturmiljön. Det kan när det gäller små avloppsanläggningar handla om till exempel effekterna av grävning, avbaning av vegetation eller uppförande av en byggnad för avloppsrening. Vilka områden som är känsliga kan framgå av till exempel lokala naturvårdsplaner eller kulturmiljöprogram.
I ett område med dokumenterat höga natur- eller kulturmiljövärden eller i ett område som annars är känsligt kan även en förhållandevis liten åtgärd innebära väsentlig ändring av natur- eller kulturmiljön. Det kan när det gäller små avloppsanläggningar handla om till exempel effekterna av grävning, avbaning av vegetation eller uppförande av en byggnad för avloppsrening. Vilka områden som är känsliga kan framgå av till exempel lokala naturvårdsplaner eller kulturmiljöprogram.
Eftersom små avlopp är tillstånd- eller anmälningspliktiga omfattas de inte av samrådsplikten i 12 kap. 6 § MB vid väsentlig påverkan på naturmiljön, utan detta ska ingå i prövningen. Det är viktigt att miljöförvaltningen har detta i beaktande så att det material den behöver begärs in från den sökande. Jämför med vad som krävs i en anmälan enligt 12 kap. 6 § MB - bland annat bör det finnas med en redogörelse av vilka skyddsåtgärder som är planerade för att förebygga och motverka skada på naturmiljön.
12 kap. 6 § MB: Kan en verksamhet eller åtgärd som inte omfattas av tillstånds- eller anmälningsplikt enligt andra bestämmelser i denna balk komma att väsentligt ändra naturmiljön ska anmälan för samråd göras hos den myndighet som utövar tillsynen enligt bestämmelser i 26 kap eller bestämmelser som har meddelats med stöd av samma kapitel. (…)
Den skada på miljön som avses kan i avloppssammanhang handla om effekterna av grävning, utfyllnad, avverkning eller avbaning av vegetation och/eller uppförande av byggnader för avloppsrening samt utsläppet av avloppsvatten i sig.
I ett område med dokumenterat höga natur- eller kulturmiljövärden eller i ett område som annars är känsligt kan även en förhållandevis liten åtgärd innebära väsentlig ändring av natur- eller kulturmiljön. Av MÖD:s dom M 4255-18 framgår att begreppet naturmiljön i 12 kap. 6 § miljöbalken omfattar även kulturmiljövärden.
Påverkan från utsläpp av renat hushållsspillvatten på känsliga miljöer som till exempel
Placering av en avloppsanläggning inom
Påverkan på ett vattendrag med flodpärlmussla genom grumling.
I områden där det finns eller misstänks finnas föroreningar måste miljöförvaltningen ta med denna aspekt i avloppshandläggningen. Det är sökandens ansvar att utreda risker och behov av åtgärder.
Är skyddsåtgärder inte möjliga eller otillräckliga kan avloppsansökan avslås med stöd av lokaliseringsprincipen i 2 kap. 6 § MB. Gäller det en anmälan om avloppsanläggning kan svaret på anmälan bli ett förbud.
Anläggande av ett avlopp i ett sådant område kan riskera att sprida föroreningarna. Även om ett område som tidigare varit förorenat nu är åtgärdat kan det finnas en risk för förorening eftersom en åtgärd inte alltid innebär att alla föroreningar är borta. Speciellt riskfyllt är anläggningar som bygger på infiltration där tillförseln av hushållsspillvatten kan öka risken för utlakning av föroreningar. Även om anläggningen i sig är tät kan till exempel rörledningar innebära att det finns en ökad risk för föroreningsspridning i och med att markvattnet söker sig fram i rörgravarna. Är området åtgärdat och färdigställt kan det också ha försetts med ett tätskikt som inte ska brytas.
De områden som idag är kända som potentiellt förorenade finns i första hand sammanställda i länsstyrelsernas databas över potentiellt förorenade områden, EBH-stödet. Det kan också finnas annan lokal kännedom om förorenade områden. Miljöförvaltningen bör ha dessa områden inlagda i sin egen databas så att det är lätt att kontrollera om en avloppsanläggning riskerar att påverka ett förorenat område.
Det är verksamhetsutövarens ansvar att meddela miljöförvaltningen, som är tillsynsmyndighet, om de eventuella miljörisker som anläggandet av avloppsanläggningen kan komma att medföra och vilka försiktighetsmått man anser vara lämpliga för att förhindra risker för människors hälsa och miljön. Eftersom verksamhetsutövaren ofta är en privatperson kan miljöförvaltningen ändå inledningsvis i ett avloppsärende behöva utreda om det finns information om föroreningar på platsen som sökanden inte känner till, samt göra en översiktlig bedömning av om anläggandet och driften av avloppsanläggningen kan medföra risk för föroreningsspridning. Det kan vara lämpligt att internremittera inom miljöförvaltningen till den eller de handläggare som ansvarar för förorenade områden.
Om det finns en miljö- och hälsorisk ska den sökande redovisa uppgifter om området samt vilka skyddsåtgärder som kommer att vidtas för att förhindra förororeningsspridning. Det är den sökande, det vill säga verksamhetsutövaren, som enligt miljöbalken ska ha, eller införskaffa sig, kunskap om eventuella risker som kan uppstå genom anläggandet av avloppsanläggningen (2 kap. 2 § MB). Den sökande kan behöva anlita en sakkunnig för att utredningen ska bli tillräcklig. Det är viktigt att ha en tydlig dialog med sökanden i ett tidigt skede, inte minst för att ett alternativ kan vara att sökanden väljer en annan lokalisering av avloppsanläggningen.
En anmälan om avhjälpande åtgärd enligt 28 § FMH ska alltid inkomma till tillsynsmyndigheten innan någon form av åtgärd av föroreningar sker, även vissa typer av miljötekniska undersökningar kan behöva anmälas. Se även avsnitt Remiss.
Är skyddsåtgärder inte möjliga eller otillräckliga kan avloppsansökan avslås med stöd av lokaliseringsprincipen i 2 kap. 6 § MB. Gäller det en anmälan om avloppsanläggning kan svaret på anmälan bli ett förbud, se avsnitt Anmälan.
Oavsett kännedom om marken är förorenad eller inte är den som misstänker eller påträffar föroreningar vid bruk av en fastighet,till exempel vid inrättande av en liten avloppsanläggning, skyldig att underrätta tillsynsmyndigheten enligt 10 kap. 11 § MB, om föroreningen kan medföra skada eller olägenhet för människors hälsa eller miljön.
Naturvårdsverket vägleder om förorenade områden, bland annat på sin webbplats. Alla relevanta delar av Naturvårdsverkets vägledning bör följas.

Gammal industrimark kan vara förorenad. Grävning för avloppsanläggning i ett sådant område kan riskera att sprida eventuella föroreningar. Foto: Bodil Forsberg
Tillståndsprövningen av en avloppsanläggning ska innefatta även risk för påverkan på en fornlämning.
Förekomst av en känd fornlämning på platsen för den planerade avloppsanläggningen kan medföra avslag på en tillståndsansökan enligt lokaliseringsprincipen i 2 kap MB. Däremot sker ingen direkt prövning utifrån Kulturmiljölagen i avloppsprövningen eftersom det är länsstyrelsen som är prövningsmyndighet.
Miljöförvaltningen bör upplysa den som avser anmäla eller söka om tillstånd till en avloppsanläggning, om att kontroll behöver göras med länsstyrelsen om fornlämning eller kulturmiljö kan komma att påverkas. Det är också rimligt att miljöförvaltningen själv gör en kontroll av om en fornlämning eller kulturmiljö kan komma att beröras.
Om det finns en känd fornlämning eller kulturmiljö på platsen för den aktuella avloppsanläggningen så ska ansökan/anmälan remitteras till länsstyrelsen. Utifrån remissvaret kan miljöförvaltningen avgöra om ansökan/anmälan kan beviljas/accepteras eller inte.
Vid prövningen av en avloppsanläggning dyker ibland frågan om fornlämningar och kulturmiljöer upp. Kulturmiljölagen och miljöbalken är parallella lagstiftningar precis som till exempel miljöbalken och plan- och bygglagen. Det innebär att ansökningarna enligt de olika lagarna prövas var för sig även om de kan innehålla liknande moment. En ansökan om tillstånd enligt miljöbalken kan därmed komma att ges, men tillståndet kanske ändå inte kan utnyttjas. Till exempel kan det vara så att en okänd fornlämning påträffas när avloppsanläggningen anläggas. På Riksantikvarieämbetets webbplats finns mer information.
Relevanta bestämmelser i kulturmiljölagen (KML) finns framförallt i 2 kapitlet. Det är förbjudet att utan tillstånd rubba, ta bort, gräva ut, täcka över eller genom bebyggelse, plantering eller på annat sätt ändra eller skada en fornlämning. Ansvaret enligt kulturmiljölagen ligger på den som ”avser att uppföra en byggnad eller en anläggning eller genomföra ett annat arbetsföretag” (2 kap. 10 § KML). Sökanden ska inhämta information från länsstyrelsen om någon fornlämning eller kulturmiljö kan komma att påverkas eller om länsstyrelsen utifrån fornlämningssituationen bedömer att det finns risk för att ej kända fornlämningar kan komma att beröras. I så fall ska snarast samråd ske med länsstyrelsen.
Även byggnadsminnen och kyrkomiljöer är skyddade enligt 3 och 4 kap. KML.
Vid prövning av tillstånd enligt miljöbalken ska hänsyn tas till kulturmiljövärden, se till exempel 1 kap. 1 § 2 p och 3 kap. 6 § MB – ”miljöbalken ska tillämpas så att värdefulla natur- och kulturmiljöer skyddas och vårdas”. Det innebär att med en känd fornlämning eller kulturmiljö på platsen för en ansökt avloppsanläggning kan skäl finnas för att avslå ansökan utifrån lokaliseringsregeln i 2 kap. 6 § MB.
Miljöförvaltningen bör upplysa den som avser anmäla eller söka om tillstånd till en avloppsanläggning, om att kontroll behöver göras med länsstyrelsen om fornlämning eller kulturmiljö kan komma att påverkas.
Det är också rimligt att miljöförvaltningen själv gör en kontroll av om en fornlämning eller kulturmiljö kan komma att beröras genom att kontrollera aktuella kartskikt från Riksantikvarieämbetet. Kända fornlämningar är redovisade i Fornsök på Riksantikvarieämbetets webbplats. I Bebyggelseregistret finns uppgifter om byggnader, anläggningar och andra kulturmiljöer.
Om miljöförvaltningen konstaterar att det finns en känd fornlämning eller kulturmiljö på platsen där den sökande vill lägga avloppsanläggningen så ska ansökan remitteras till länsstyrelsen (19 kap. 4 § 2 p MB). Utifrån remissvaret kan miljöförvaltningen avgöra om ansökan kan beviljas eller inte. Det kan bli aktuellt att den sökande får söka tillstånd enligt 2 kap. 12 § KML hos länsstyrelsen, och en avloppsprövning bör i sådana fall avvakta detta. Se även avsnitt Remiss.

Med en känd fornlämning på platsen för en ansökt avloppsanläggning kan skäl finnas för att avslå ansökan utifrån lokaliseringsregeln i 2 kap. 6 § miljöbalken. Foto: Bodil Forsberg
Eftersom alla fornlämningar inte är kända kan det hända att det under grävning för en avloppsanläggning påträffas fornfynd eller fornlämningar. Då träder bestämmelserna 2 kap. 5 och 10 §§ KML in: den som påträffar ett fornfynd eller en fornlämning under grävning eller annat arbete ska omedelbart avbryta arbetet och anmäla detta till länsstyrelsen.
Det är lämpligt att i ett avloppsbeslut ange att meddelat tillstånd enligt miljöbalken inte befriar verksamhetsutövaren från skyldigheten att rätta sig efter vad som föreskrivs i en annan författning. Om fornfynd eller fornlämning påträffas under grävning eller annat arbete, ska arbetet avbrytas och förhållandet omedelbart anmälas till länsstyrelsen (2 kap. 5 och 10 §§ KLM).
Ett anmälningsärende handläggs på samma sätt som ett tillståndsärende, men med skillnaden att beslut i ärendet utformas som förbud, föreläggande eller meddelande om att ingen erinran finns, se avsnitt Anmälan.
Ansvaret för ansökan/anmälan om vattenverksamhet vilar helt på den sökande. Miljöförvaltningen behöver rent formellt inte invänta en prövning om vattenverksamhet för att kunna ge tillstånd enligt 9 kap. MB, men bör ändå invänta ett eventuellt beslut enligt 11 kap. MB eftersom det finns risk för att avloppstillståndet annars inte går att utnyttja.
Om det är uppenbart att varken allmänna eller enskilda intressen skadas genom vattenverksamhetens inverkan på vattenförhållandena behövs varken tillstånd eller anmälan (11 kap. 12 § MB).
Vissa åtgärder som planeras att genomföras i samband med att en avloppsanläggning ska byggas kan ibland vara vattenverksamhet. Vattenverksamheter och vattenanläggningar regleras i 11 kap. MB. Exempel på olika åtgärder som skulle kunna omfattas av bestämmelserna i 11 kapitlet är
Ansvaret för ansökan/anmälan till MMD/länsstyrelsen/kommunen vilar helt på den sökande. När en fråga om vattenverksamhet uppkommer i samband med en tillståndsprövning eller anmälan av en avloppsanläggning kan påverkan på växt- och djurlivet i det berörda vattendraget samt enskilda intressen behöva beaktas av den sökande. Typisk påverkan i samband med grävning i vattendrag är grumling. Särskilt känsliga vattendrag kan vara sådana där det finns skyddsvärda arter som till exempel flodpärlmussla. Är man som sökande osäker på om den åtgärd man vill vidta är tillstånds- eller anmälningspliktig vattenverksamhet eller undantagen från tillståndsplikten kan det vara bra att kontakta ansvarig myndighet vilket ofta är länsstyrelsen. Det är alltid sökande som ansvarar för att nödvändiga tillstånd finns för den åtgärd man vill vidta.
Länsstyrelsen är ansvarig för tillsyn och för prövning av anmälningspliktiga vattenverksamheter enligt 11 kap. MB (kan delegeras till kommun). Tillstånd till vattenverksamhet söks hos mark- och miljödomstol förutom markavvattning som tillståndsprövas av Länsstyrelsen, såvida markavvattningen endast berör den egna fastigheten. HaV har tillsynsvägledningsansvar för 11 kap. MB med undantag för dammsäkerhet (Svenska kraftnät) och markavvattning (Naturvårdsverket).
Ofta kan en fråga om vattenverksamhet sammanfalla med en fråga om strandskydd. Eftersom lagstiftningen kring strandskydd är formulerad som ett förbud måste frågan om strandskyddet avgöras först, se avsnittet om Strandskydd.
Naturvårdsverket vägleder om markavvattning och har vägledning om detta på sin webbplats. Havs- och vattenmyndigheten vägleder om övrig vattenverksamhet (med undantag för dammsäkerhet).
När en ansökan/anmälan om en avloppsanläggning inkommer ska miljöförvaltningen inte göra någon egen bedömning av om åtgärden också kräver tillstånd eller anmälan enligt 11 kap MB. utan bör ge rådet till sökanden att ta en kontakt med ansvarig myndighet för att höra efter hur man ska gå vidare när det gäller frågan om hur åtgärden förhåller sig till 11 kap.
Miljöförvaltningen behöver rent formellt inte invänta en prövning enligt 11 kap. MB för att kunna ge tillstånd enligt 9 kap. MB. Om det blir aktuellt att den sökande söker tillstånd/anmäler vattenverksamhet bör ändå en avloppsprövning avvakta detta i samråd med den sökande. Risken är annars att avloppstillståndet enligt 9 kap. MB eventuellt inte går att utnyttja. Den sökande har i så fall möjlighet att dra tillbaka sin ansökan om avloppstillståndet inte kommer att kunna utnyttjas p.g.a. att vattenverksamheten inte kan tillåtas. En avloppsansökan kan inte avslås med hänvisning till bestämmelser i 11 kap. MB
Meddelar miljöförvaltningen ett tillstånd är det lämpligt att kommunen under Information i tillståndet anger att
Det bör också framgå av informationen att det i 3 kap. 5-8 §§ och 7 kap. 17-18 §§ lag med särskilda bestämmelser om vattenverksamhet (SFS 1998:812) finns regler om hur avlopp får anslutas till ett markavvattningsföretag och att kommunens beslut enligt 9 kap. MB inte innebär någon rättighet att släppa ut avloppsvattnet till ett markavvattningsföretag. Sökande måste själv lösa detta via kontakter med markavvattningsföretaget. Länsstyrelsen kan ha information om det finns ett markavvattningsföretag som berör diket/vattendraget där utloppet från avloppet ska anslutas.
När ett ärende är tillräckligt utrett och bedömningen klar är det dags för beslut. Om anläggningen bedöms uppfylla kraven i miljöbalken kan tillstånd med villkor eller ett föreläggande om försiktighetsåtgärder meddelas.
Om utredningen i ansökan antingen är ofullständig och det därför inte kan anses visat att kraven i miljöbalken är uppfyllda, eller om den valda avloppsanläggningen inte uppfyller de krav som behövs enligt skyddsnivån på den aktuella platsen ska ansökan avslås.
Om ansökan/anmälan däremot är så ofullständig att prövning inte ens kan ske av sakfrågan så leder det till avvisning eller föreläggande/förbud se avsnitten Ofullständig ansökan leder till avvisning eller avslag och Ofullständig anmälan leder till föreläggande eller förbud.
En komplett ansökan/anmälan som innehåller tillräckliga uppgifter (se avsnitt Vilka uppgifter ska en ansökan/anmälan innehålla?) är en förutsättning för tillståndet/föreläggandet eftersom det grundläggande villkoret bör vara att anläggningen utförs enligt de uppgifter som redovisats i ansökan/anmälan. Såvida inte annat anges i tillståndet/föreläggandet.
En otillräcklig ansökan eller utredning kan inte kompenseras genom villkor i beslutet eftersom ett beslut med villkor inte ska meddelas om miljöförvaltningen inte med säkerhet vet att det kan följas, se till exempel M 8541-13 från MÖD och M 2804-16 från Växjö MMD. I M 8541-13 hade den sökande fått två alternativa lösningar att välja på i tillståndet som upphävdes av MÖD. I M 2804-16 upphävdes ett tillståndsbeslut då grundvattennivån inte var utredd.
Ett hushåll som har en avloppsanläggning bestående av till exempel en sluten tank och BDT-anläggning ska enligt MÖD:s dom, M 6531-15, ha två beslut - ett för den slutna tanken och ett för BDT-anläggningen.
Om man har fått ett tillstånd omfattas det av rättskraft, det vill säga beslutet gäller mot alla med avseende på de frågor som prövats i ärendet (se 24 kap. 1 § MB). Det innebär att miljöförvaltningen måste förhålla sig till de regler som finns om omprövning och återkallelse i 24 kap. MB om det till exempel kommer in klagomål på anläggningen. Den enskilde får därmed ett starkt skydd mot framtida krav på anläggningen.
Tillstånd för små avloppsanläggningar gäller under den tid anläggningen är i drift eller till dess tillståndet upphävs eller förfaller.
Tillståndet innebär att tillsynsmyndigheten som huvudregel inte får förelägga i de frågor som är prövade inom ramen för tillståndet. Om myndigheten vill ställa strängare krav eller förbjuda utsläpp krävs att tillståndet eller villkor omprövas eller återkallas enligt vad som anges i 24 kap. 3, 5 samt 7 §§ MB. Detta betyder bland annat att tillsynsmyndigheten normalt är förhindrad att genom föreläggande senare i tillsynsskedet skärpa de krav som följer av tillståndet.
Undantag gäller brådskande förelägganden och förbud som är nödvändiga för att undvika att ohälsa eller allvarlig skada på miljön uppkommer (se 26 kap. 9 § 4 st MB).
Är en fråga inte prövad i tillståndet kan tillsynsmyndigheten förelägga om denna. Ett exempel är frågor om hur uttjänt material ska omhändertas som inte behandlats i tillståndet (Miljöbalken, en kommentar del II, 2012).
Tillstånd givna med stöd av lagstiftning före miljöbalken har däremot inte samma rättskraft som de tillstånd som meddelats med stöd av miljöbalken, se MÖD:s dom i mål M 464-03. Rättskraften av ett tillstånd meddelat med stöd av hälsoskyddslagen är begränsat till inrättandet. När det gäller sådana tillstånd finns därför inget hinder för kommunen att meddela de förelägganden och förbud som bedöms nödvändiga.
Ett tillstånd är knutet till verksamheten/anläggningen vilket innebär att tillståndet gäller för en ny fastighetsägare. Ett föreläggande gäller däremot inte mot en ny fastighetsägare om det inte har skrivits in i fastighetsregistrets inskrivningsdel, 26 kap. 15 § MB. Ett föreläggande som svar på anmälan om en liten avloppsanläggning gäller alltså enbart mot den som anmält anläggningen, såvida inte föreläggandet skrivits in i fastighetsboken. Om inskrivning inte skett kan det vid tillsyn av sådan anläggning finnas skäl att meddela en ny ägare ett föreläggande om till exempel skötselåtgärder, se även avsnitt Anteckning i fastighetsregistret.
Av 16 kap. 2 § miljöbalken följer att ett tillstånd får förenas med villkor och att det får tidsbegränsas. Miljöförvaltningen kan alltså, om den bedömer att detta är nödvändigt för att uppfylla miljöbalkens krav, tidsbegränsa brukandet av anläggningen. Väljer nämnden att göra detta måste man motivera varför man anser att det finns skäl för att tidsbegränsa tillståndet. Det är inte alltid skäligt att tidsbegränsa ett tillstånd. En BDT-avloppsanläggning är till exempel inte i sådant behov av uppföljning och kontroll att det är motiverat att tidsbegränsa tillståndet till 10 år, det fastslogs i en dom från MÖD, M 6520-09.
Anledningar till tidsbegränsning av tillstånd kan till exempel vara att kommunen i sin VA- plan anger att man avser bygga en samlad avloppslösning inom näraliggande framtid, eller att den valda reningstekniken bedöms ha en begränsad livslängd. Ett annat skäl för att tidsbegränsa ett tillstånd kan vara att en verksamhetsutövare ska få skälig tid på sig att finna en ny lösning på avloppsfrågan och under tiden behöver lösa sin avloppssituation temporärt, se dom från MÖD, M 3682-04.
Innebörden av att ett tillstånd tidsbegränsas är att tillståndet upphör att gälla vid den tidpunkt som anges i tillståndet. Om verksamhetsutövaren vill fortsätta att använda sin avloppsanläggning efter det att tillståndet upphört att gälla krävs ett nytt tillstånd.
Det är viktigt att tidsramen är tydligt avgränsad så att det inte råder någon tveksamhet om när tillståndet upphör att gälla. Havs- och vattenmyndigheten bedömer att det i normalfallet torde avse ett datum eller en given tidsrymd som anges i exempelvis månader eller år.
Ett tidsbegränsat tillstånd kan förlängas med högst 3 år, om förutsättningarna i 24 kap 14 a § miljöbalken är uppfyllda. Förlängning av ett tidsbegränsat tillstånd kan bara ske en gång, sen behöver en ny tillståndsprövning ske om avloppsanläggningen ska vara fortsatt i drift. En sådan tillståndsprövning skulle möjligen kunna förenklas eftersom många uppgifter förmodligen redan finns.
Praxis tillåter att myndigheten kan ge tillstånd för anläggandet av en avloppsanläggning i efterhand och det finns inte något hinder mot att en fastighetsägare ansöker om tillstånd för en avloppsanläggning som redan är på plats. Det kan vara viktigt för den enskilde fastighetsägaren att få frågan om tillstånd prövad i efterhand. En anledning kan vara frågan om rättskraft. Läs mer i avsnittet Små avloppsanläggningar inrättade utan tillstånd i vägledning för tillsyn.
Av 19 § i förordningen om miljöfarlig verksamhet och hälsoskydd framgår att ett avloppstillstånd enligt 13 § gäller i fem år men förfaller om arbetet med anläggningen inte har påbörjats inom två år. Detta innebär att om avloppsanläggningen inte är färdigbyggd inom fem år eller om arbetet med anläggningen inte har påbörjats inom två år förfaller tillståndet, se även avsnitt Vad är tillståndspliktigt? Om en anläggning inte påbörjats/färdigställt inom tidsgränsen måste en ny ansökan inges.
Denna bestämmelse avser alltså inte tidsbegränsning av tillståndet. Bakgrunden till bestämmelsen är att undvika att det ligger tillstånd, utfärdade för länge sedan, som tas i anspråk när förutsättningarna i omgivningen eller i den tekniska utvecklingen har ändrats.
Det är vanligt att genomförandetiden förväxlas med den tid inom vilken ett bristfälligt avlopp ska åtgärdas efter att miljöförvaltningen har varit ute på tillsyn och konstaterat att anläggningen är lagstridig. Tiden för att vidta åtgärd bör inte skrivas in i tillståndet till den nya anläggningen annat än som en upplysning, medan den bristfälliga gamla anläggningen istället bör förbjudas att användas efter ett visst datum. Förbudet tvingar adressaten att efter ett visst datum sluta använda den gamla bristfälliga anläggningen, medan tillståndet reglerar att om adressaten ska göra ett nytt avlopp så måste det ske på det sätt som anges i tillståndet. Den som får ett tillstånd är aldrig skyldig att ta tillståndet i anspråk, se dom från MMD, M 379-05. För att följa förbudet om att inte längre använda den bristfälliga anläggningen så skulle ju verksamhetsutövaren i princip även kunna bestämma sig för att inte längre använda huset. Då finns inget behov av en ny anläggning.
En myndighet som meddelar ett beslut i ett ärende ska så snart som möjligt underrätta den som är part om det fullständiga innehållet i beslutet. När kommunen fattar ett beslut om tillstånd till en avloppsanläggning bör tillståndet delges sökanden, och alla andra som kan komma att beröras av anläggningen och som därför har rätt att överklaga (33 § FL). Tiden för överklagande är tre veckor från det att den som överklagar tog del av beslutet (44 § FL). Om parterna underrättats om beslutet genom delgivning fungerar det insända delgivningskvittot som bevis för när parten blev delgiven.
Fungerar det inte med sedvanlig delgivning reglerar delgivningslagen ett antal andra alternativ, varav s.k. kungörelsedelgivning kan vara ett bra alternativ när det är många sakägare eller där alla sakägare inte är kända.
(Se även avsnitt Delgivning i vägledning för tillsyn)
Även om det inte finns något uttryckligt krav på delgivning i förvaltningslagen rekommenderas att delgivning används vid underrättelse om denna typ av beslut. Utan delgivning går det inte heller att fastställa om ett beslut vunnit laga kraft eller ej och man kan inte veta om överklagandetiden gått ut för samtliga berörda parter i ett ärende. I en sådan situation måste man istället utgå från att den som överklagat har gjort det inom rätt tid.
Miljöbalken har en ”generös” definition av vem som är sakägare. Alla de som kan komma att beröras av avloppsanläggningen ska dels ges möjlighet att ge synpunkter på ansökan, dels underrättas om beslutet så att de kan överklaga. Det räcker med en risk för påverkan för att man ska anses som berörd sakägare (se även Kommunikation och remiss om vem som är part). Det innebär att sakägarkretsen, det vill säga de som ska delges beslutet och har rätt att överklaga, ofta sammanfaller med dem som har kommunicerats i ärendet, men inte alltid.
Har miljöförvaltningen som ett led i sin utredning skickat den inkomna ansökan på remiss till exempelvis en annan kommunal förvaltning eller länsstyrelsen, så kan även dessa vara sakägare. En kommun kan till exempel vara markägare eller äga en fastighet med en dricksvattenbrunn.
Det kan dock mycket väl finnas situationer där de som inledningsvis har hörts i utredningen av ärendet inte kommer att beröras av en planerad avloppsanläggning, till exempel eftersom det inte fanns någon dricksvattentäkt som kunde påverkas.
Att någon som fått möjlighet att yttra sig inte gjort det innebär inte att denne därmed mist sin rätt att delges beslutet och att överklaga – förutsatt att vederbörande är berörd.
Den myndighet som meddelar ett beslut har inte rätt att bestämma vem som har talerätt det vill säga rätt att klaga mot dess beslut, utan ska enbart se till att underrätta dem som kan beröras av beslutet om innehållet i detta. Om ett överklagande kommer in så ska myndigheten pröva om det kommit in i rätt tid (45 § FL). Har det gjort det ska överklagandet tillsammans med övriga handlingar i ärendet lämnas över till den överprövande myndigheten (i detta fall Länsstyrelsen) som är den instans som prövar om den som överklagat har talerätt (46 § FL). Det innebär också att även den som inte är formellt delgiven kan överklaga ett beslut, och att länsstyrelsen som nästa instans avgör om hen har talerätt eller inte.
Ett avloppstillstånd får inte tas i anspråk förrän det har vunnit laga kraft, vilket innebär att anläggandet inte får starta förrän då. Tre veckor efter det att den sökande och andra sakägare fått ta del av beslutet, vinner beslutet laga kraft om inte överklagande skett inom denna tid.
Sökanden kan dock med stöd av 19 kap. 5 § och 22 kap. 28 § MB begära att tillståndet ska få tas i anspråk även innan det har vunnit laga kraft, ett s.k. verkställighetsförordnande. En sakägare som överklagar i ett sådant ärende kan begära inhibition hos länsstyrelsen som är första prövningsinstans för ett överklagat avloppsbeslut. Länsstyrelsen ska då skyndsamt ta ställning i frågan och har möjlighet att bestämma att det överklagade beslutet tills vidare inte ska gälla, det är detta som kallas inhibition (48 § FL). Även om den som klagar på beslutet inte uttryckligen begärt inhibition i överklagandet kan det ibland tydligt framgå att syftet är att det överklagade beslutet tills vidare inte bör få gälla. I sådana fall ska länsstyrelsen på eget initiativ pröva frågan om inhibition. Beslutar länsstyrelsen om inhibition gäller detta omedelbart.
Har beslutet i avloppsärendet överklagats vinner det inte laga kraft förrän det finns ett lagakraftvunnet beslut från överprövande instans. Ett beslut från länsstyrelsen i första instans ska ha delgivits och inte ha överklagats till nästa prövningsinstans (MMD) för att det ska vinna laga kraft efter att de tre veckorna har gått. MMD:s beslut kan också överklagas på samma sätt, men för att få frågan prövad i MÖD krävs prövningstillstånd. Meddelas inte prövningstillstånd vinner beslutet laga kraft när MÖD meddelat avslag på begäran om prövningstillstånd.
Små avloppsanläggningar är i hög grad beroende av korrekt installation för sin funktion. En infiltrationsanläggning som hamnar för lågt i förhållande till grundvattennivån eller får för liten infiltrationsyta kommer inte att rena avloppsvattnet som förväntat, alternativt få en förkortad livslängd. Ett minireningsverk där installationen av kemfällning blir felaktig kommer inte heller att leverera vad som förväntas.
Av 22 kap. 25 § 3 p MB framgår att ett tillståndsbeslut ska innehålla bestämmelser om bl.a. tillsyn, besiktning samt kontroll. För att minska risken att hamna i ovan beskrivna situationer kan miljöförvaltningen använda sig av utförandeintyg med kontrollplan. Syftet med detta är både att säkerställa att anläggningen blir utförd enligt tillståndet och får en korrekt funktion, men också att det i efterhand och med någorlunda säkerhet går att verifiera hur den är byggd, vilket underlättar för såväl verksamhetsutövaren som miljöförvaltningen vid framtida tillsyn.
I beslutet kan villkoras att ett utförandeintyg, det vill säga en dokumentation av utförd kontroll enligt kontrollplanen samt ett intygande av entreprenören att anläggningen är utförd enligt beslutet, ska lämnas in till miljöförvaltningen. Den sakkunnige som utfört anläggningen skriver under utförandeintyget som innehåller en ifylld kontrollplan inklusive foton av angivna kritiska moment under inrättandet. Se även avsnitt Byggnation.
Eftersom det ytterst är den sökande som är ansvarig för att tillståndet följs så kan det vara praktiskt att såväl dennes som entreprenörens underskrift finns med på utförandeintyget. Den sökande har då haft möjlighet att bli medveten om de eventuella avsteg från tillståndet som finns noterade. Finns inte den sökandes underskrift med på intyget behöver miljöförvaltningen kommunicera den sökande med de inkomna handlingarna.
För att kontrollplanen i utförandeintyget ska kunna fastställas i beslutet behöver ansökan innehålla installationsanvisningar. Installationsanvisningar är en beskrivning av hur avloppsanläggningen ska anläggas och/eller installeras inklusive de kritiska punkterna för anläggandet, det vill säga vad som är speciellt viktigt att ha kontroll över vid installationen för att funktionen ska kunna garanteras när anläggningen är i drift. Se även avsnitt Installationsanvisningar och kritiska punkter.
Med utgångspunkt från uppgifterna i ansökan kan miljöförvaltningen utforma en kontrollplan som omfattar de kritiska punkterna för anläggandet och vilka delar av anläggningsarbetet som ska dokumenteras med foton. (Havs- och vattenmyndigheten, 2016)

Små avloppsanläggningar är i hög grad beroende av korrekt installation för sin funktion. Ett utförandeintyg med kontrollplan som kopplas till tillståndsbeslutet uppmärksammar entreprenör och verksamhetsutövare på de viktigaste kritiska momenten i anläggningsarbetet. Foto: Maja Kristin Nylander.
I 18 § FMH framgår att i beslut om tillstånd att inrätta en avloppsanordning som avses i 13 § får den kommunala nämnden föreskriva att anordningen inte får tas i bruk förrän den har besiktigats och godkänts av nämnden. Paragrafen är ett arv från tidigare lagstiftning (7 § i hälsoskyddsförordningen från 1983). Hälsoskyddslagstiftningen byggde till skillnad från miljöbalken på så kallad rak bevisbörda, det vill säga det var tillsynsmyndigheten som skulle visa att olägenhet förelåg och inspektörsrollen handlade mer om att ”peka med hela handen”.
Fram till 2006 när Naturvårdsverkets Allmänna Råd om små avlopp kom ställdes också teknikkrav på avloppsanläggningarna och inte som idag funktionskrav. Att kontrollera ett teknikkrav vid en slutbesiktning enligt ovan är lättare än att kontrollera ett funktionskrav, inte minst eftersom anläggningen inte får ha tagits i drift vid en slutbesiktning.
En risk med slutbesiktning är att verksamhetsutövaren felaktigt uppfattar miljöförvaltningens slutbesiktning som en opartisk granskning av att entreprenörens arbete är utfört fackmannamässigt och därmed utgör en garanti för anläggningens funktion. Väljer miljöförvaltningen att utföra en slutbesiktning är det viktigt att det är tydligt för såväl entreprenör som verksamhetsutövare vilket syfte besiktningen har.
Om ingen slutbesiktning på plats gjorts kan det vara en fördel att tillsyna avloppsanläggningen när den väl är tagen i drift efter 1-2 år.
Efter att ifyllt utförandeintyg inkommit till miljöförvaltningen bör den sökande få en bekräftelse på att dokumentationen har inkommit och att den ingivna dokumentationen inte föranleder några åtgärder från nämndens sida – om så är fallet.
Det går precis som vid en slutbesiktning inte att se alla detaljer utifrån den skriftliga dokumentationen eller att garantera anläggningens funktion. I bekräftelsen till den sökande bör det därför tydligt anges att granskningen av inkommen dokumentation inte syftar till att garantera utförandet av anläggningsarbetet samt att den granskning som görs av dokumentationen inte säger något om funktionen hos anläggningen när den väl är i drift utan att driften kommer att följas upp genom tillsyn i ett senare skede.
Uppenbara avvikelser från tillståndet och andra tveksamheter i dokumentationen bör dock självfallet återkopplas till entreprenör och sökande innan förvaltningen kan meddela att inkomna handlingar inte föranleder någon ytterligare åtgärd. Om avvikelserna är så stora att förvaltningen inte kan godta den inkomna dokumentationen kan ett tillsynsärende behöva inledas.
Se till exempel MÖD 5333-23 där tillsynsmyndigheten i samband med granskningen av den kvalitetsredovisning som fastighetsägarna hade skickat in uppmärksammade att anläggningen inte stämde överens med det beviljade tillståndet. Fastighetsägarna ansökte om och beviljades tillstånd för att inrätta en ny avloppsanläggning. Fastighetsägarna inrättade dock inte den nya tillståndsgivna anläggningen varför tillsynsmyndigheten beslutade att förbjuda fastighetsägarna att släppa ut spillvatten från WC, bad-, disk- och tvättvatten till den befintliga avloppsanläggningen.
Ett tillstånd består av två delar, först beslutsmeningen där tillståndets omfattning regleras och sedan villkoren som anger hur verksamheten får bedrivas. Att tillstånd får förenas med villkor framgår av 16 kap. 2 § MB. Villkoren fogas till tillståndet och kan exempelvis ange gränser för utsläpp av vissa ämnen. Se även avsnittet Vad är lämpligt att reglera i ett tillstånd?.
Av 19 kap. 5 § p 9 MB framgår att i ett tillståndsärende som prövas av en kommunal nämnd ska nämnden tillämpa delar av bestämmelserna i 22 kap. 25 §. Det innebär att ett tillstånd till en avloppsanläggning där så är relevant ska innehålla bestämmelser om bland annat
Dessutom finns i FMH specifika bestämmelser avseende små avlopp. Nedan följer en översiktlig genomgång av vad som bör finnas med i ett beslut om tillstånd till en liten avloppsanläggning utifrån en generell disposition av beslutsdokumentet
De olika delarna i den generella dispositionen av beslutsdokumentet för tillstånd.
Ett tillstånd består av två delar, först beslutsmeningen där tillståndets omfattning regleras och sedan villkoren som anger hur verksamheten får bedrivas. Att tillstånd får förenas med villkor framgår av 16 kap. 2 § MB. Villkoren fogas till tillståndet och kan till exempel ange gränser för utsläpp av vissa ämnen. Se även avsnittet Vad är lämpligt att reglera i ett tillstånd?.
Av 19 kap. 5 § p 9 MB framgår att i ett tillståndsärende som prövas av en kommunal nämnd ska nämnden tillämpa delar av bestämmelserna i 22 kap. 25 §. Det innebär att ett tillstånd till en avloppsanläggning där så är relevant ska innehålla bestämmelser om bland annat
Dessutom finns i FMH specifika bestämmelser avseende små avlopp. Nedan följer en översiktlig genomgång av vad som bör finnas med i ett beslut om tillstånd till en liten avloppsanläggning utifrån en generell disposition av beslutsdokumentet
Under denna rubrik lämnas det formella tillståndet till anläggningen i den s.k. beslutsmeningen. Här ska framgå till vem tillståndet lämnas (adressat), vilken fastighet som beslutet rör och vad tillståndet omfattar. Tillståndet följer förvisso fastigheten, men beslutet bör inte formuleras så att det är riktat till ”fastighetsägaren till fastigheten X”.
Utgångspunkten bör vara att det i ansökan finns tillräckligt med dokumentation och underlag för att bevilja ett tillstånd med så få detaljreglerande villkor som möjligt. Däremot bör det i beslutet tydligt framgå tillståndsgiven teknik, dimensionering och lokalisering.
I normalfallet är ett tillstånd till en liten avloppsanläggning inte tidsbegränsat, men av 16 kap. 2 § MB framgår att det får tidsbegränsas, se avsnittet Tillstånd kan tidsbegränsas. Är tillståndet tidsbegränsat bör det framgå i beslutsmeningen ovan.
Se även avsnitt Bedömning av dimensionering, framförallt vad gäller tillstånd för anläggningar som avviker från ett hushåll, 5 pe.
Kommunfullmäktige får med stöd av 27 kap. 1 § MB meddela föreskrifter om avgifter som avser prövning och tillsyn enligt miljöbalken. För små avlopp kan det handla om att taxa fastställts av kommunfullmäktige för
I samband med prövning av tillstånd till en liten avloppsanläggning bör avgiften för prövning av ansökan anges i beslutet om tillstånd, alternativt i avslagsbeslutet om tillstånd inte kan beviljas. På samma sätt bör avgiften hanteras för handläggning av en anmälan om en avloppsanläggning.
Exempel: Miljönämnden beslutar att ta ut en prövningsavgift om x kronor. Avgiften ska betalas av sökande NN. Beslutet om avgift gäller omedelbart även om det överklagas.
Om anläggningen ska placeras i ett Natura 2000-område och tillstånd enligt 7 kap. 28 § MB krävs, ska även beslut om detta ingå i tillståndet. Se även avsnittet Natura 2000.
Exempel: Miljönämnden medger tillstånd, med stöd av 7 kap. 28 a § miljöbalken (MB), att anlägga en infiltrationsanläggning avsedd för ett hushåll (5 pe) med ansluten vattentoalett och bad-, disk- och tvättvatten inom Natura 2000-området X (dnr xxxx-xx).
Om anläggningen ska placeras i ett vattenskyddsområde och det krävs tillstånd till anläggningen enligt skyddsföreskrifterna ska även beslut om detta ingå, om det är miljöförvaltningen som är tillståndsmyndighet.
Exempel: Miljönämnden medger tillstånd, med stöd av föreskrifterna x att inom sekundär zon i x vattenskyddsområde anlägga en infiltrationsanläggning avsedd för ett hushåll (5 pe) med ansluten vattentoalett och bad-, disk- och tvättvatten.
Mer information om hur bedömningen kan göras finns under avsnittet Vattenskyddsområde.
Allt som omfattas av prövningen kan teoretiskt sett bli föremål för villkor. Hur villkoren utformas är viktigt eftersom det i hög grad är mot villkoren som tillsyn sedan sker. Ett villkor ska utformas så att det uppfyller kraven på
Villkoret ska vara så formulerat att det är tydligt för verksamhetsutövaren vad som krävs och det ska också gå att objektivt fastställa när villkoret följs eller överträds. Detta betyder att det på ett tillförlitligt sätt ska vara möjligt att kontrollera hur villkoret efterlevs.
Ett villkor ska spegla avvägningen mellan teknik, miljö och ekonomi och eventuella andra intressen i det enskilda ärendet. De villkor som föreskrivs måste vara relevanta för ärendet och det måste finnas ett behov av den åtgärd som regleras i villkoret. Utgångspunkten bör vara hur känslig recipienten är samt hur krav på rening påverkar miljö eller hälsa i övrigt.
De åtgärder som föreskrivs i villkor i ett tillstånd får inte vara oskäligt dyra i förhållande till den miljönytta som de innebär, se avsnittet Miljöbalkens hänsynsregler. Inte heller får de krav som anges i ett villkor på annat sätt anses som orimliga. Villkor som är mycket kostsamma att uppfylla i förhållande till miljönyttan skulle kunna betraktas som orimliga vid en avvägning enligt 2 kap. 7 § MB. En skälighetsavvägning enligt 2 kap. 7 § första stycket MB får dock inte hindra att de krav ställs som behövs för att reglerna om MKN för yt- och grundvatten som finns i 5 kap. 4 § MB ska uppfyllas.
Miljöförvaltningen bör sträva efter att meddela villkor som är enkla, klara och tydliga att förstå och som är enkla att utöva tillsyn över.
Ett exempel är om tillståndet villkoras med ett krav på ett minsta avstånd till grundvattennivå från spridningsytan. Det bör då rimligen också finnas krav på att det finns ett grundvattenrör så att villkoret går att kontrollera. I ansökan behöver därför placering och utformning av ett grundvattenrör finnas redovisat, såvida inte det är helt uppenbart att infiltrationen inte kommer att kunna påverkas av höga grundvattennivåer. Då behövs inget grundvattenrör och inget villkor.
Det som följer av lag, förordningar och föreskrifter bör inte villkoras. Ett exempel är att det inte bör vara ett villkor att verksamhetsutövaren måste anmäla om avloppsvattnets mängd eller sammansättning väsentligt ändras, eftersom detta redan är reglerat i §14 FMH. Däremot kan det vara lämpligt att det framgår under ”Information” i beslutet vad som i övrigt gäller för verksamheten.
Villkor som meddelas i ett tillståndsbeslut måste avse krav som verksamhetsutövaren har rättslig och faktisk möjlighet att uppfylla. I till exempel mål M 2804-16 från Växjö MMD upphävdes ett tillståndsbeslut då grundvattennivån inte var utredd. Domstolen uttalade:
Även om villkor om ett minsta avstånd mellan infiltrationens botten och grundvattennivån föreskrivs måste det vara visat att ett sådant villkor faktiskt kan innehållas.
Om provtagning behövs måste frågan om hur sådan provtagning ska ske vara löst innan tillstånd ges genom att sökanden redovisar i ansökan hur provtagningsmöjlighet kommer att utformas samt anger hur provet ska tas ut för att bli representativt.
Exempel på olämpligt villkor
Anläggningen ska byggas så att provtagning från utgående vatten kan göras.
Två andra exempel handlar om utsläppspunktens lokalisering och utformning. Utsläppspunkten är väsentlig för att kunna bedöma riskerna med anläggningen och bör därför finnas angiven i ansökan. Exempel på olämpliga villkor:
Exempel på olämpliga villkor
Utloppet ska ledas i täta rör till en recipient som ligger minst 100 meter från [namn på badplats/vattentäkt].
Utsläppspunkten ska göras svårtillgänglig genom att utsläpp till exempel sker i en grusficka.
Ett annat exempel handlar om möjlighet till slamtömning. Ansökan bör remitteras till kommunens avfallsansvariga så att det redan från början är klart att det till exempel är farbar väg fram till anläggningen, se avsnitt Remiss.
Exempel på olämpligt villkor
Det ska finnas farbar väg för slamtömningsfordon.
Små avlopp är i hög grad beroende av det fysiska utförandet för sin funktion och krav bör därför ställas på att anläggningen ska utföras enligt ansökan eller på annat sätt som föreskrivs i tillståndet. Det är därför mycket viktigt att miljöförvaltningen eftersträvar att ansökningshandlingarna i sig är fullständiga och så detaljerade att det redan i prövningsprocessen framgår hur anläggningen fungerar och hur den ska anläggas, skötas och kontrolleras. Att anläggningen ska utföras enligt ansökan regleras i ett allmänt villkor i tillståndet.
Exempel
Anläggningen ska placeras, utföras, kontrolleras och brukas enligt uppgifterna i ansökan samt enligt tillverkarens anvisningar, om inte något annat framgår av villkoren nedan.
I det allmänna villkoret är det även lämpligt att reglera att tillståndet finns tillgängligt.
Exempel
Detta tillstånd med villkor ska finnas tillgängligt hos den sökande och vid överlåtelse av fastigheten överlämnas till ny ägare.
Här är villkoret formulerat som att tillståndet ska finnas tillgängligt hos den sökande, vilket lämnar öppet för att det finns digitalt tillgängligt och inte nödvändigtvis i pappersformat på fastigheten.
Det är väsentligt att den som anlägger avloppsanläggningen också utför någon form av kontroll av att inrättandet av anläggningen blir korrekt. Det är de moment som i ansökan angivits som kritiska som minst bör kontrolleras och dokumenteras med foton i överensstämmelse med en i beslutet fastställd kontrollplan. (Havs- och vattenmyndigheten, 2016) Se även avsnittet om Utförandeintyg med kontrollplan.
I tillståndet bör det därför finnas villkor både om att dokumentationen av denna kontroll och att ett intyg från entreprenören om att anläggningen är utförd enligt tillståndet, ska lämnas in till miljöförvaltningen.
Exempel
Utförandet av kritiska punkter i anläggningsarbetet ska dokumenteras med foton i överensstämmelse med kontrollplanen i utförandeintyget. Dokumentationen av denna kontroll samt ett intygande av entreprenören att anläggningen är utförd enligt beslutet, ska lämnas in till Miljönämnden senast två veckor efter att anläggningen färdigställts.
Utifrån 18 § FMH får beslutet dessutom innehålla villkor om besiktning i anläggningsskedet.
I beslut om tillstånd att inrätta en avloppsanordning som avses i 13 § får den kommunala nämnden föreskriva att anordningen inte får tas i bruk förrän den har besiktigats och godkänts av nämnden.
Exempel
Innan avloppsanläggningen är färdig ska du ge Miljönämnden möjligheten att besiktiga anläggningen. Kontakta Miljönämnden minst tre arbetsdagar innan du sluttäcker anläggningen.
Andra villkor som berör byggnation och som beroende på anläggningstyp kan vara lämpliga är:
Avloppsanläggningens utlopp ska vara frostsäkrat och fungera året runt.
Dag- och dräneringsvatten, backspolningsvatten för dricksvattenfilter, vatten från pool, badtunna, vatten från golvbrunn i garage och liknande får inte ledas till anläggningen.
Vid tillstånd till inrättande av avloppsanläggning eller vid anmälan enligt 13 § FMH, bör miljöförvaltningen ställa krav på att arbetet ska utföras av sakkunnig person. Med sakkunnig avses en person som genom yrkeserfarenhet, deltagande i utbildningar eller på annat sätt har tillräckliga kunskaper för att utföra det arbete som avses. (Havs- och vattenmyndigheten, 2016)
Exempel på villkor
Installationen av avloppsanläggningen ska utföras av sakkunnig person på ett fackmannamässigt sätt.
Utifrån 22 kap. 25 § p 3 och 6 MB ska beslutet, när det behövs, innehålla bland annat funktionsvillkor och provtagning. Vilka fysiska kontrollmöjligheter som ska finnas på anläggningen och hur de ska användas, till exempel provtagningsbrunn för utgående vatten och hur ett representativt prov tas ut, bör dock från början framgå av ansökan. Provtagning med avseende på närsalter och smittämnen som kommer ut från otäta markbaserade anläggningar är inte särskilt lätt eller meningsfullt att genomföra, medan det kan finnas ett behov av att för mer tekniskt avancerade anläggningar med utlopp, till exempel minireningsverk, sätta funktionsvillkor som följs upp i tillsynen.
För infiltrationsanläggningar kan det istället för provtagning handla om uppföljning av funktionen genom att mäta avståndet till grundvattennivån. Den fysiska kontrollpunkten som är aktuell i sådana fall är ett grundvattenrör, se Anvisningar för grundvattenrör. Villkorsformulering kring grundvattennivåer finns i avsnitt Formulering av grundvattenvillkor.
Det kan vara relevant med funktionsvillkor för tekniskt avancerade anläggningar samt anläggningar för fler än några enstaka hushåll, om provtagningsmöjlighet finns. För en verksamhetsutövare är det dock ofta svårt att följa upp funktionen på sin avloppsanläggning själv eftersom provtagningskompetens ofta saknas hos privatpersoner. En servicefirma eller annan person med relevant kompetens kan däremot ta ut prover för analys på laboratorium.
Ett annat alternativ, framförallt för mindre anläggningar, är att genom enklare kontroller av kritiska driftsparametrar i samband med service få tillräckligt bra information om anläggningens funktion för att kunna justera driftsprocessen så att till exempel dosering av fällningskemikalier blir korrekt. Sådana kritiska driftsparametrar kan vara fältmätning av t.ex. pH, ortofosfat och turbiditet.
Med en dokumenterad fackmannamässig och processorienterad service inriktad på optimal reningsfunktion hos anläggningen kan övrig provtagning begränsas till myndighetens tillsyn, till exempel genom att ta ut ett indikerande stickprov. Se även avsnitt Bedömning av drift, skötsel och funktionskontroll och Fackmannamässig skötsel.
Kostnader för provtagning ska tas in i skälighetsbedömningen enligt 2 kap. 7 § MB vid tillståndsprövningen. Å ena sidan är möjlighet att följa upp reningsresultaten en förutsättning för att kunna ställa funktionskrav, men dessa får å andra sidan inte bli så tekniskt eller ekonomiskt betungande att de blir orimliga att uppfylla för den enskilde.
Sammanfattningsvis bör miljöförvaltningen noga överväga såväl kostnader för provtagning för den enskilda verksamhetsutövare som tillförlitligheten i analysresultaten beroende på vem som tar ut proverna, innan tillståndet villkoras med krav på återkommande provtagning och inrapportering till tillsynsmyndigheten.
Behovet av villkor om provtagning kan vara större för en avloppsanläggning avsedd för fler än några enstaka hushåll men behöver bedömas utifrån förutsättningarna i det enskilda ärendet. Sätts villkor i beslutet om provtagning kan det vara relevant att också ställa krav på kompetens hos provtagaren.
För infiltrationer är det oftast relevant att ställa krav på uppföljning av grundvattennivån under anläggningen, se även avsnitt Teknisk utformning - möjlighet till funktionskontroll
En förutsättning för att denna uppföljning ska vara möjlig är att det finns ett grundvattenrör i anslutning till anläggningen. Omfånget på den omättade zonen under anläggningen är ett viktigt kriterium för hur väl reningen fungerar och under normala förhållanden bör avståndet mellan spridningsytan och grundvattenytan vara minst en meter. Anläggningen bör därför vara projekterad utifrån den dimensionerande grundvattennivån, se Bestämning av dimensionerande grundvattennivå.
I begreppet dimensionerande grundvattennivå finns en tolerans inbyggd som gör att en viss avvikelse från kravet på 1 meter omättad zon under vissa betingelser kan accepteras eftersom det knappast är skäligt att ta höjd för den allra högsta möjliga grundvattennivån vid projekteringen av anläggningen. Se avsnitt Vertikalt avstånd mellan infiltrationsnivå och grundvatten och avsnitt Dimensionerande grundvattennivå för små avlopp.
Modellen för beräkning av dimensionerande grundvattennivå är utformad för att man normalt inte ska överträda skyddsavståndet på en meter mer än drygt vart 3:e år. Därmed är det lämpligt med ett absolut minsta avstånd mindre än 1 meter som ska upprätthållas samt en begränsning i tid för hur lång en överträdelse får vara. På detta sätt blir villkoret tydligt och möjligt att uppfylla samtidigt som man kan förvänta sig att en anläggning klarar kravet om 1 meters skyddsavstånd under den absolut största delen av drifttiden.
Är den dimensionerande grundvattennivån sålunda bestämd utifrån metoden i Bestämning av dimensionerande grundvattennivå, och anläggningen är projekterad och anläggs utifrån denna grundvattennivå, kan nedanstående villkor användas:
Avståndet mellan infiltrationsnivån och grundvattenytan ska med undantag för kortare perioder (högst 2 månader under ett år) uppgå till minst 1 m. Avståndet mellan infiltrationsnivån och grundvattenytan får aldrig understiga 0,5 m.
Med ”grundvattenytan” avses en grundvattennivå som kan avläsas inom 3 m från anläggningen, lämpligen grundvattenrör enligt ritning x i inkommen ansökan. Med ”infiltrationsnivån” avses underkant på anläggningens spridningslager, se profilritning y.
För att villkoret ska vara möjligt att följa upp är det viktigt att nivån i höjdled på spridningsledningar/spridningslagret framgår av ansökningshandlingarna. Lämpligen är denna nivå en av de kritiska punkter som ska kontrolleras under anläggningsarbetet och bör därför ingå i kontrollplanen. Avståndet från toppen på grundvattenröret till nivån 1 meter under infiltrationsnivån bör mätas in i samband med anläggandet för att få en referenspunkt för uppföljningen.
Exempel på olämpliga formuleringar av grundvattenvillkor
Avloppsanordningens funktion ska inte påverkas av grundvattnet eller grundvattnets kvalitet påverkas av anordningen
Alla avloppsanläggningar behöver skötas, kontrolleras och vid behov åtgärdas för att de ska fungera som avsett. Skötseln kan regleras i ett villkor.
Avloppsanläggningen ska löpande skötas så att olägenhet för människors hälsa och miljön inte uppstår.
I ansökan redovisad drift- och underhållsinstruktion ska följas, alternativt annan instruktion som kan godkännas av tillsynsmyndigheten.
Utifrån 22 kap. 25 § p 3 MB ska beslutet innehålla bland annat eventuella villkor om service och egenkontroll. För yrkesmässig verksamhet gäller Förordning (1998:901) om verksamhetsutövares egenkontroll som bland annat innehåller bestämmelser om organisatoriskt ansvar för verksamheten, kemikaliekontroll och rutiner. Det är dock i undantagsfall en avloppsanläggning bedrivs som yrkesmässig verksamhet, se avsnittet Bästa möjliga teknik och yrkesmässig verksamhet.
Oavsett om en verksamhet bedrivs yrkesmässigt eller ej gäller 26 kap. 19 § MB all miljöfarlig verksamhet och ”den som bedriver verksamhet eller vidtar åtgärder som kan befaras medföra olägenheter för människors hälsa eller påverka miljön ska fortlöpande planera och kontrollera verksamheten för att motverka eller förebygga sådana verkningar. Den som bedriver sådan verksamhet eller vidtar sådan åtgärd ska också genom egna undersökningar eller på annat sätt hålla sig underrättad om verksamhetens eller åtgärdens påverkan på miljön.”
Den som inrättat eller driver en avloppsanläggning bör därför genom att ta del av tillverkarens instruktioner, anlitande av sakkunnig eller på annat sätt, skaffa sig tillgång till sådan kunskap så att anläggningen underhålls på ett sätt så att dess funktion säkerställs. En ansökan behöver omfatta även förslag till övervakning och kontroll av verksamheten (22 kap. 1 § 5 p MB respektive AR Små avlopp bilaga 3 om drift- och underhållsinstruktion).
Skötseln och egenkontrollen består normalt sett av att verksamhetsutövaren följer tillverkarens drift- och skötselinstruktioner samt genom egen okulär kontroll försäkrar sig om att anläggningen fungerar som den ska. För tekniskt okomplicerade anläggningar bör detta räcka.
För mer tekniskt avancerade anläggningar som är känsliga för störningar eller utebliven skötsel bör dock krav ställas på att årlig service och kontroll av anläggningen utförs av sakkunnig, till exempel genom tecknande av ett serviceavtal, se MÖD:s dom i M 5060-16. Men, det är inte enbart förekomsten av ett serviceavtal som kommer att garantera anläggningens funktion, utan miljöförvaltningen behöver även bedöma om innehållet i servicen/skötseln kan anses vara av tillräcklig omfattning, se avsnitt Fackmannamässig skötsel och Drift- och underhållsinstruktion.
Exempel på villkor som reglerar egenkontroll och service
Du ska utföra den egenkontroll av anläggningen som finns redovisad i ansökan, om inte tillsynsmyndigheten medger annat.
Giltigt avtal om fackmannamässig service, inklusive uppföljning av funktionsvillkor, ska finnas för anläggningen, om inte tillsynsmyndigheten medger annat.
Villkoren är här formulerade med tillägget ”om inte tillsynsmyndigheten medger annat”, för att lämna utrymme för eventuell justering av vad som ingår i egenkontrollen eller att fackmannamässig service sker på annat sätt än genom serviceavtal, utan att omprövning av tillståndet behöver ske.
Miljöförvaltningen bör föreskriva att serviceprotokoll och/eller annan dokumentation ska förvaras på fastigheten och kunna visas upp på begäran av tillsynsmyndigheten.
Exempel
Dokumentation från egenkontroll, underhåll och service ska finnas tillgängligt hos dig och kunna uppvisas för tillsynsmyndigheten på begäran.
För infiltrationer bör funktionen följas upp av verksamhetsutövaren genom att mäta avståndet till grundvattennivån.
Exempel
Minst x gånger per år, i månad z och y, ska du mäta och dokumentera nivån i grundvattenröret samt notera datum för kontroll.
Här bör miljöförvaltningen välja månad(er) på året då det statistiskt sett brukar vara höga grundvattennivåer.
Utifrån 22 kap. 25 § p 7 och 11 MB ska beslutet i förekommande fall innehålla villkor om kemikaliehantering. För små avlopp är denna punkt mest relevant vad gäller förvaring av stora mängder fällningskemikalier så att de inte kan orsaka skada. Men det skulle också kunna handla om teknik för rening av mikroorganismer som kan innefatta hantering av kemiska produkter.
Exempel
Förvaring av flytande kemikalier ska ske enligt tillverkarens anvisningar och inom avloppslöst, invallat område.
Säkerhetsdatablad ska finnas tillgängliga för de kemikalier som används.
Utifrån 22 kap. 25 § p 8 MB ska beslutet i förekommande fall innehålla villkor om avfallshantering. Detta kan handla om villkor om till exempel intervall för slamtömning och hur byte och omhändertagande av fosforabsorberande material ska ske.
Exempel
Anläggningen ska slamtömmas enligt tillverkarens anvisningar genom att du anlitar kommunens slamtömningsentreprenör. Anläggningen ska tömmas så ofta som tillverkare anger, dock minst en gång per år.
Att villkora om slamtömning kan innebära en dubbelreglering, som generellt sett inte är önskvärd, eftersom det vanligtvis också är reglerat i de lokala avfallsföreskrifterna. I detta fall bedöms det ändå som lämpligt att göra ett undantag då slamtömning är en av de viktigaste delarna i skötseln för att anläggningen ska kunna fungera som avsett. Avfallsföreskrifternas intervall för tömning gäller som ett minimum, men i tillståndsbeslutet kan tätare intervall föreskrivas vid behov. Även krav på åtkomlighet för tömning är en aspekt som kan regleras i kommunens avfallsföreskrifter och som i det fall det är reglerat redan gäller generellt i kommunen.
Beslut om eget omhändertagande av avfall, till exempel urinspridning och kompostering av eget slam, bör inte regleras i avloppstillståndet utan i ett separat beslut om dispens för eget omhändertagande.
Observera att villkor om slamtömning inte bör skrivas in om dispens för eget omhändertagande finns eftersom en dispens enligt avfallsföreskrifterna för eget omhändertagande inte släcker ut ett villkor i ett tillståndsbeslut.
Däremot kan ett villkor om att anläggningen ska vara åtkomlig för slamtömning vara relevant (efter att man försäkrat sig om att det finns farbar väg) i betydelsen att slamavskiljaren inte ska täckas över eller på annat sätt göras oåtkomlig. Även villkor om att instruktion för slamtömning bör finnas förminireningsverk är viktigt eftersom olika fabrikat kan ha olika instruktioner.
Exempel
Anläggningen ska vara åtkomlig för slamtömning vilket innebär att den inte får täckas över eller på annat sätt göras oåtkomlig.
Exempel på villkor som kan användas om de är relevanta för anläggningstypen
Minireningsverket ska vara märkt med instruktion för slamtömning.
Filtermaterial i fosforfällan ska bytas enligt tillverkarens anvisningar vilket innebär xxx.
Om avloppsanläggningen läggs i ett känsligt område där formellt skydd saknas kan särskilda villkor för att skydda naturmiljön behövas.
Exempel
Grävarbeten i diket till vilket det renade avloppsvattnet ska avledas, ska utföras under 15 juli – 15 september då risken är minst för påverkan på öring i den nedströms liggande x-ån.
Det är lämpligt att denna typ av villkor utformas i samråd med länsstyrelsen.
Här bör miljöförvaltningen beskriva ärendet i en bakgrund som kan innehålla till exempel kortfattade uppgifter om vad som har hänt i ärendet, hur utredningen har gått till och vilka grundläggande förutsättningar som finns i ärendet. Till bakgrunden hör uppgifter om dricksvattentäkter, recipientstatus samt andra specifika förutsättningar somtill exempel förekomst av fornlämningar eller biotopskydd.
Här bör miljöförvaltningen redogöra för hur kommuniceringen med berörda parter har gått till, vilka synpunkter som har inkommit och hur de har hanterats.
Under bedömning bör relevanta stycken om på vilka grunder ansökan beviljas finnas med, till exempel bedömning av
Det behöver även finns med en motivering till hur bedömningen har gjorts. Att beslut som kan antas påverka någons situation på ett inte obetydligt sätt ska innehålla en klargörande motivering framgår av 32 § FL. En sådan motivering ska innehålla uppgifter om vilka föreskrifter som har tillämpats och vilka omständigheter som varit avgörande för myndighetens ställningstagande. Motiveringen bör på ett konkret plan beskriva vilka värderingar, överväganden och bedömningar som gjorts av de faktiska omständigheterna i ärendet med utgångspunkt från rättsläget (se JO:s uttalande i ärenden 1831-2015). Kravet på att en motivering ska vara klargörande innebär att beslutet inte enbart bör innehålla de skäl som har bestämt utgången i ärende utan dessa skäl bör också presenteras på ett sådant sätt att de blir begripliga för den enskilde (se sid 193 i förarbetena till 32 § FL prop. 2016/17:180). En utförlig motivering ger verksamhetsutövaren och de berörda parterna större möjlighet att förstå på vilka grunder beslutet har tagits och minskar därmed risken för överklaganden på grund av missförstånd. Om beslutet ändå skulle bli överklagat så ökar en genomtänkt motivering möjligheten att beslutet håller vid en överprövning. Eventuella synpunkter som kommit in ska också bemötas under bedömningen. Slutligen bör miljöförvaltningen sammanfatta bedömningen av ansökan och motiveringen för beslutet.
Exempel
Ansökan innehåller de uppgifter som vi behöver för att bedöma att anläggningen uppfyller miljöbalkens krav. Vi bedömer att kraven inte leder till orimliga kostnader.
Miljöförvaltningen bör ange vilka bestämmelser som beslutet grundar sig på, till exempel
Under denna rubrik kan det vara bra att ta med olika bestämmelser och krav som tillståndshavaren behöver känna till men som inte regleras genom själva tillståndet.
Exempelvis så anges i 22 kap. 25 § 2 st, sista meningen MB att i ett tillståndsbeslut ska framgå den tid inom vilken verksamheten ska ha satts igång. Men eftersom detta regleras specifikt för små avloppsanläggningar i 19 § FMH: Ett tillstånd enligt 13 eller 17 § gäller i fem år men förfaller om arbetet med anordningen eller anläggningen inte har påbörjats inom två år, så räcker det att ange detta under rubriken ”Information”.
Andra punkter som kan vara viktiga att ha med som information är till exempel
En dispens för eget omhändertagande är personlig och om fastigheten byter ägare kommer tillståndet därmed inte att kunna utnyttjas utan en ny prövning om dispens.
Det kan också i de lokala avfallsföreskrifterna finnas bestämmelser om till exempel barnsäkerhet för brunnslock, åtkomlighet för hämtningsfordon mm som kan vara viktigt att lägga med som information.
I beslutet bör anges vilka som ska delges beslutet utöver den sökande, det vill säga de som är berörda och därmed har rätt att ta del av beslutet och att överklaga det. Här bör också anges om beslutet ska skickas till någon annan för kännedom, men inte med delgivning och överklagandehänvisning.
Det är även lämpligt att skicka tillståndet och slamtömningsinstruktioner till den avfallsansvarige.
Slutligen behöver miljöförvaltningen redogöra för vilka handlingar som följer med beslutet, till exempel:
Syftet med anmälningsplikt för små avloppsanläggningar utan vattentoalett anslutet och ändringar av befintliga anläggningar är att tillsynsmyndigheten ska få möjlighet att i förväg ta ställning till om den anmälda anläggningen eller åtgärden kan godtas från hälso- och miljösynpunkt och om några särskilda krav på försiktighetsmått behöver ställas eller om förbud behöver meddelas.
Det ger också tillsynsmyndigheten möjlighet att uppmärksamma om den planerade ändringen eventuellt är tillståndspliktig eller om den anmälda renoveringen av en gammal anläggning inte kommer att leda till att anläggningen uppfyller kraven i miljöbalken.
En omständighet i sammanhanget som miljöförvaltningen måste vara medveten om är att det inte finns någon skyldighet för den som gjort anmälan att invänta beslutet från myndigheten. I normalfallet så inväntar oftast den sökande beslutet ändå eftersom hen löper risken att vidta åtgärder som inte accepteras av myndigheten, men juridiskt finns ingen skyldighet att vänta.
Anmälningspliktiga avloppsanläggningar har inte anmälningsplikt som följer av 9 kap. 6 § MB utan av 9 kap. 7 § MB, därav gäller inte 9 kap. 6 c § små avloppsanläggningar. Det finns sålunda inget som formellt reglerar tiden för när en anmälningspliktig avloppsanläggning tidigast får påbörjas.
Behöver miljöförvaltningen skicka remiss till till exempel länsstyrelsen, se avsnitt Remiss, för att kunna svara på en anmälan, kan ett förbud att påbörja anläggningen meddelas för att tillräcklig remisstid ska finnas.
När ett anmälningsärende är tillräckligt utrett, ska miljöförvaltningen meddela beslut i ärendet. Det kan beroende på resultatet av utredningen i ärendet vara
Om miljöförvaltningen underrättar den som gjort anmälan att myndigheten inte avser att ingripa så innebär detta inte något skydd för verksamhetsutövaren mot att myndigheten vid senare tillfälle kan komma att ingripa. Innebörden i en sådan underrättelse ska istället tolkas så att myndigheten för närvarande inte avser att ingripa. Verksamhetsutövaren är alltså inte skyddad mot kommande krav på samma sätt som om det hade gällt ett tillstånd, se avsnitt Tillståndets rättsverkan. Tillsynsmyndigheten kan vid ett senare tillfälle återkomma och ställa de krav som myndigheten bedömer är nödvändiga.
Ett föreläggande om försiktighetsmått meddelas med stöd av 26 kap. 9 § MB och kan i princip läggas upp på samma sätt som ett beslut om tillstånd, med bakgrund, redogörelse för kommunicering, motivering av beslutet etc.
Eftersom ett föreläggande måste rikta sig till någon som har rättslig och faktisk möjlighet att efterkomma beslutet behöver ett markägarmedgivande finnas om anläggningen avses placeras utanför egen fastighet.
Ett tillstånd består av två delar, först beslutsmeningen där tillståndets omfattning regleras och sedan villkoren som anger hur verksamheten får bedrivas. Att tillstånd får förenas med villkor framgår av 16 kap. 2 § MB. Villkoren fogas till tillståndet och kan till exempel ange gränser för utsläpp av vissa ämnen. Se även avsnittet Vad är lämpligt att reglera i ett tillstånd?.
Av 19 kap. 5 § p 9 MB framgår att i ett tillståndsärende som prövas av en kommunal nämnd ska nämnden tillämpa delar av bestämmelserna i 22 kap. 25 §. Det innebär att ett tillstånd till en avloppsanläggning där så är relevant ska innehålla bestämmelser om bland annat
Dessutom finns i FMH specifika bestämmelser avseende små avlopp. Nedan följer en översiktlig genomgång av vad som bör finnas med i ett beslut om tillstånd till en liten avloppsanläggning utifrån en generell disposition av beslutsdokumentet
Under denna rubrik lämnas det formella tillståndet till anläggningen i den så kallade beslutsmeningen. Här ska framgå till vem tillståndet lämnas (adressat), vilken fastighet som beslutet rör och vad tillståndet omfattar. Tillståndet följer förvisso fastigheten, men beslutet bör inte formuleras så att det är riktat till ”fastighetsägaren till fastigheten X”.
Utgångspunkten bör vara att det i ansökan finns tillräckligt med dokumentation och underlag för att bevilja ett tillstånd med så få detaljreglerande villkor som möjligt. Däremot bör det i beslutet tydligt framgå tillståndsgiven teknik, dimensionering och lokalisering.
I normalfallet är ett tillstånd till en liten avloppsanläggning inte tidsbegränsat, men av 16 kap. 2 § MB framgår att det får tidsbegränsas, se avsnittet Tillstånd kan tidsbegränsas. Är tillståndet tidsbegränsat bör det framgå i beslutsmeningen ovan.
Se även avsnitt Bedömning av dimensionering, framförallt vad gäller tillstånd för anläggningar som avviker från ett hushåll, 5 pe.
Kommunfullmäktige får med stöd av 27 kap. 1 § MB meddela föreskrifter om avgifter som avser prövning och tillsyn enligt miljöbalken. För små avlopp kan det handla om att taxa fastställts av kommunfullmäktige för
I samband med prövning av tillstånd till en liten avloppsanläggning bör avgiften för prövning av ansökan anges i beslutet om tillstånd, alternativt i avslagsbeslutet om tillstånd inte kan beviljas. På samma sätt bör avgiften hanteras för handläggning av en anmälan om en avloppsanläggning.
Miljönämnden beslutar att ta ut en prövningsavgift om x kronor. Avgiften ska betalas av sökande NN. Beslutet om avgift gäller omedelbart även om det överklagas.
Om anläggningen ska placeras i ett Natura 2000-område och tillstånd enligt 7 kap. 28 § MB krävs, ska även beslut om detta ingå i tillståndet. Se även avsnittet Natura 2000.
Miljönämnden medger tillstånd, med stöd av 7 kap. 28 a § miljöbalken (MB), att anlägga en infiltrationsanläggning avsedd för ett hushåll (5 pe) med ansluten vattentoalett och bad-, disk- och tvättvatten inom Natura 2000-området X (dnr xxxx-xx).
Om anläggningen ska placeras i ett vattenskyddsområde och det krävs tillstånd till anläggningen enligt skyddsföreskrifterna ska även beslut om detta ingå, om det är miljöförvaltningen som är tillståndsmyndighet.
Miljönämnden medger tillstånd, med stöd av föreskrifterna x att inom sekundär zon i x vattenskyddsområde anlägga en infiltrationsanläggning avsedd för ett hushåll (5 pe) med ansluten vattentoalett och bad-, disk- och tvättvatten.
Mer information om hur bedömningen kan göras finns under avsnittet Vattenskyddsområde.
Allt som omfattas av prövningen kan teoretiskt sett bli föremål för villkor. Hur villkoren utformas är viktigt eftersom det i hög grad är mot villkoren som tillsyn sedan sker. Ett villkor ska utformas så att det uppfyller kraven på
Villkoret ska vara så formulerat att det är tydligt för verksamhetsutövaren vad som krävs och det ska också gå att objektivt fastställa när villkoret följs eller överträds. Detta betyder att det på ett tillförlitligt sätt ska vara möjligt att kontrollera hur villkoret efterlevs.
Ett villkor ska spegla avvägningen mellan teknik, miljö och ekonomi och eventuella andra intressen i det enskilda ärendet. De villkor som föreskrivs måste vara relevanta för ärendet och det måste finnas ett behov av den åtgärd som regleras i villkoret. Utgångspunkten bör vara hur känslig recipienten är samt hur krav på rening påverkar miljö eller hälsa i övrigt.
De åtgärder som föreskrivs i villkor i ett tillstånd får inte vara oskäligt dyra i förhållande till den miljönytta som de innebär, se avsnittet Miljöbalkens hänsynsregler. Inte heller får de krav som anges i ett villkor på annat sätt anses som orimliga. Villkor som är mycket kostsamma att uppfylla i förhållande till miljönyttan skulle kunna betraktas som orimliga vid en avvägning enligt 2 kap. 7 § MB. En skälighetsavvägning enligt 2 kap. 7 § första stycket MB får dock inte hindra att de krav ställs som behövs för att reglerna om MKN för yt- och grundvatten som finns i 5 kap. 4 § MB ska uppfyllas.
Miljöförvaltningen bör sträva efter att meddela villkor som är enkla, klara och tydliga att förstå och som är enkla att utöva tillsyn över.
Ett exempel är om tillståndet villkoras med ett krav på ett minsta avstånd till grundvattennivå från spridningsytan. Det bör då rimligen också finnas krav på att det finns ett grundvattenrör så att villkoret går att kontrollera. I ansökan behöver därför placering och utformning av ett grundvattenrör finnas redovisat, såvida inte det är helt uppenbart att infiltrationen inte kommer att kunna påverkas av höga grundvattennivåer. Då behövs inget grundvattenrör och inget villkor.
Det som följer av lag, förordningar och föreskrifter bör inte villkoras. Ett exempel är att det inte bör vara ett villkor att verksamhetsutövaren måste anmäla om avloppsvattnets mängd eller sammansättning väsentligt ändras, eftersom detta redan är reglerat i §14 FMH. Däremot kan det vara lämpligt att det framgår under ”Information” i beslutet vad som i övrigt gäller för verksamheten.
Villkor som meddelas i ett tillståndsbeslut måste avse krav som verksamhetsutövaren har rättslig och faktisk möjlighet att uppfylla. I till exempel mål M 2804-16 från Växjö MMD upphävdes ett tillståndsbeslut då grundvattennivån inte var utredd. Domstolen uttalade:
Även om villkor om ett minsta avstånd mellan infiltrationens botten och grundvattennivån föreskrivs måste det vara visat att ett sådant villkor faktiskt kan innehållas.
Om provtagning behövs måste frågan om hur sådan provtagning ska ske vara löst innan tillstånd ges genom att sökanden redovisar i ansökan hur provtagningsmöjlighet kommer att utformas samt anger hur provet ska tas ut för att bli representativt.
Anläggningen ska byggas så att provtagning från utgående vatten kan göras.
Två andra exempel handlar om utsläppspunktens lokalisering och utformning. Utsläppspunkten är väsentlig för att kunna bedöma riskerna med anläggningen och bör därför finnas angiven i ansökan. Exempel på olämpliga villkor:
Utloppet ska ledas i täta rör till en recipient som ligger minst 100 meter från [namn på badplats/vattentäkt].
Utsläppspunkten ska göras svårtillgänglig genom att utsläpp till exempel sker i en grusficka.
Ett fjärde exempel handlar om möjlighet till slamtömning. Ansökan bör remitteras till kommunens avfallsansvariga så att det redan från början är klart att det till exempel är farbar väg fram till anläggningen, se avsnitt Remiss.
Det ska finnas farbar väg för slamtömningsfordon.
Små avlopp är i hög grad beroende av det fysiska utförandet för sin funktion och krav bör därför ställas på att anläggningen ska utföras enligt ansökan eller på annat sätt som föreskrivs i tillståndet. Det är därför mycket viktigt att miljöförvaltningen eftersträvar att ansökningshandlingarna i sig är fullständiga och så detaljerade att det redan i prövningsprocessen framgår hur anläggningen fungerar och hur den ska anläggas, skötas och kontrolleras. Att anläggningen ska utföras enligt ansökan regleras i ett allmänt villkor i tillståndet.
Anläggningen ska placeras, utföras, kontrolleras och brukas enligt uppgifterna i ansökan samt enligt tillverkarens anvisningar, om inte något annat framgår av villkoren nedan.
I det allmänna villkoret är det även lämpligt att reglera att tillståndet finns tillgängligt.
Detta tillstånd med villkor ska finnas tillgängligt hos den sökande och vid överlåtelse av fastigheten överlämnas till ny ägare.
Här är villkoret formulerat som att tillståndet ska finnas tillgängligt hos den sökande, vilket lämnar öppet för att det finns digitalt tillgängligt och inte nödvändigtvis i pappersformat på fastigheten.
Det är väsentligt att den som anlägger avloppsanläggningen också utför någon form av kontroll av att inrättandet av anläggningen blir korrekt. Det är de moment som i ansökan angivits som kritiska som minst bör kontrolleras och dokumenteras med foton i överensstämmelse med en i beslutet fastställd kontrollplan. (Havs- och vattenmyndigheten, 2016) Se även avsnittet om Utförandeintyg med kontrollplan.
I tillståndet bör det därför finnas villkor både om att dokumentationen av denna kontroll och att ett intyg från entreprenören om att anläggningen är utförd enligt tillståndet, ska lämnas in till miljöförvaltningen.
Utförandet av kritiska punkter i anläggningsarbetet ska dokumenteras med foton i överensstämmelse med kontrollplanen i utförandeintyget. Dokumentationen av denna kontroll samt ett intygande av entreprenören att anläggningen är utförd enligt beslutet, ska lämnas in till Miljönämnden senast två veckor efter att anläggningen färdigställts.
Utifrån 18 § FMH får beslutet dessutom innehålla villkor om besiktning i anläggningsskedet.
I beslut om tillstånd att inrätta en avloppsanordning som avses i 13 § får den kommunala nämnden föreskriva att anordningen inte får tas i bruk förrän den har besiktigats och godkänts av nämnden.
Innan avloppsanläggningen är färdig ska du ge Miljönämnden möjligheten att besiktiga anläggningen. Kontakta Miljönämnden minst tre arbetsdagar innan du sluttäcker anläggningen.
Andra villkor som berör byggnation och som beroende på anläggningstyp kan vara lämpliga är:
Avloppsanläggningens utlopp ska vara frostsäkrat och fungera året runt.
Dag- och dräneringsvatten, backspolningsvatten för dricksvattenfilter, vatten från pool, badtunna, vatten från golvbrunn i garage och liknande får inte ledas till anläggningen.
Vid tillstånd till inrättande av avloppsanläggning eller vid anmälan enligt 13 § FMH, bör miljöförvaltningen ställa krav på att arbetet ska utföras av sakkunnig person. Med sakkunnig avses en person som genom yrkeserfarenhet, deltagande i utbildningar eller på annat sätt har tillräckliga kunskaper för att utföra det arbete som avses. (Havs- och vattenmyndigheten, 2016)
Installationen av avloppsanläggningen ska utföras av sakkunnig person på ett fackmannamässigt sätt.
Utifrån 22 kap. 25 § p 3 och 6 MB ska beslutet, när det behövs, innehålla bland annat funktionsvillkor och provtagning. Vilka fysiska kontrollmöjligheter som ska finnas på anläggningen och hur de ska användas, till exempel provtagningsbrunn för utgående vatten och hur ett representativt prov tas ut, bör dock från början framgå av ansökan. Provtagning med avseende på närsalter och smittämnen som kommer ut från otäta markbaserade anläggningar är inte särskilt lätt eller meningsfullt att genomföra, medan det kan finnas ett behov av att för mer tekniskt avancerade anläggningar med utlopp, till exempel minireningsverk, sätta funktionsvillkor som följs upp i tillsynen.
För infiltrationsanläggningar kan det istället för provtagning handla om uppföljning av funktionen genom att mäta avståndet till grundvattennivån. Den fysiska kontrollpunkten som är aktuell i sådana fall är ett grundvattenrör, se Anvisningar för grundvattenrör. Villkorsformulering kring grundvattennivåer finns i avsnitt Formulering av grundvattenvillkor.
Det kan vara relevant med funktionsvillkor för tekniskt avancerade anläggningar samt anläggningar för fler än några enstaka hushåll, om provtagningsmöjlighet finns. För en fastighetsägare är det dock ofta svårt att följa upp funktionen på sin avloppsanläggning själv eftersom provtagningskompetens ofta saknas hos privatpersoner. En servicefirma eller annan person med relevant kompetens kan däremot ta ut prover för analys på laboratorium.
Ett annat alternativ, framförallt för mindre anläggningar, är att genom enklare kontroller av kritiska driftsparametrar i samband med service få tillräckligt bra information om anläggningens funktion för att kunna justera driftsprocessen så att till exempel dosering av fällningskemikalier blir korrekt. Sådana kritiska driftsparametrar kan vara fältmätning av t.ex. pH, ortofosfat och turbiditet.
Med en dokumenterad fackmannamässig och processorienterad service inriktad på optimal reningsfunktion hos anläggningen kan övrig provtagning begränsas till myndighetens tillsyn, till exempel genom att ta ut ett indikerande stickprov. Se även avsnitt Bedömning av drift, skötsel och funktionskontroll och Fackmannamässig skötsel.
Kostnader för provtagning ska tas in i skälighetsbedömningen enligt 2 kap. 7 § MB vid tillståndsprövningen. Å ena sidan är möjlighet att följa upp reningsresultaten en förutsättning för att kunna ställa funktionskrav, men dessa får å andra sidan inte bli så tekniskt eller ekonomiskt betungande att de blir orimliga att uppfylla för den enskilde.
Sammanfattningsvis bör miljöförvaltningen noga överväga såväl kostnader för provtagning för den enskilda fastighetsägaren som tillförlitligheten i analysresultaten beroende på vem som tar ut proverna, innan tillståndet villkoras med krav på återkommande provtagning och inrapportering till tillsynsmyndigheten.
Behovet av villkor om provtagning kan vara större för en avloppsanläggning avsedd för fler än några enstaka hushåll men behöver bedömas utifrån förutsättningarna i det enskilda ärendet. Sätts villkor i beslutet om provtagning kan det vara relevant att också ställa krav på kompetens hos provtagaren.
För infiltrationer är det oftast relevant att ställa krav på uppföljning av grundvattennivån under anläggningen, se även avsnitt Teknisk utformning - möjlighet till funktionskontroll
En förutsättning för att denna uppföljning ska vara möjlig är att det finns ett grundvattenrör i anslutning till anläggningen. Omfånget på den omättade zonen under anläggningen är ett viktigt kriterium för hur väl reningen fungerar och under normala förhållanden bör avståndet mellan spridningsytan och grundvattenytan vara minst en meter. Anläggningen bör därför vara projekterad utifrån den dimensionerande grundvattennivån, se Bestämning av dimensionerande grundvattennivå.
I begreppet dimensionerande grundvattennivå finns en tolerans inbyggd som gör att en viss avvikelse från kravet på 1 meter omättad zon under vissa betingelser kan accepteras eftersom det knappast är skäligt att ta höjd för den allra högsta möjliga grundvattennivån vid projekteringen av anläggningen. Se avsnitt Vertikalt avstånd mellan infiltrationsnivå och grundvatten och avsnitt Dimensionerande grundvattennivå för små avlopp.
Modellen för beräkning av dimensionerande grundvattennivå är utformad för att man normalt inte ska överträda skyddsavståndet på en meter mer än drygt vart 3:e år. Därmed är det lämpligt med ett absolut minsta avstånd mindre än 1 meter som ska upprätthållas samt en begränsning i tid för hur lång en överträdelse får vara. På detta sätt blir villkoret tydligt och möjligt att uppfylla samtidigt som man kan förvänta sig att en anläggning klarar kravet om 1 meters skyddsavstånd under den absolut största delen av drifttiden.
Är den dimensionerande grundvattennivån sålunda bestämd utifrån metoden i Bestämning av dimensionerande grundvattennivå, och anläggningen är projekterad och anläggs utifrån denna grundvattennivå, kan nedanstående villkor användas:
Avståndet mellan infiltrationsnivån och grundvattenytan ska med undantag för kortare perioder (högst 2 månader under ett år) uppgå till minst 1 m. Avståndet mellan infiltrationsnivån och grundvattenytan får aldrig understiga 0,5 m.
Med ”grundvattenytan” avses en grundvattennivå som kan avläsas inom 3 m från anläggningen, lämpligen grundvattenrör enligt ritning x. Med ”infiltrationsnivån” avses underkant på anläggningens spridningslager, se profilritning y.
För att villkoret ska vara möjligt att följa upp är det viktigt att nivån i höjdled på spridningsledningar/spridningslagret framgår av ansökningshandlingarna. Lämpligen är denna nivå en av de kritiska punkter som ska kontrolleras under anläggningsarbetet och bör därför ingå i kontrollplanen. Avståndet från toppen på grundvattenröret till nivån 1 meter under infiltrationsnivån bör mätas in i samband med anläggandet för att få en referenspunkt för uppföljningen.
Avloppsanordningens funktion ska inte påverkas av grundvattnet eller grundvattnets kvalitet påverkas av anordningen
Avloppsanläggningen ska löpande skötas så att olägenhet för människors hälsa och miljön inte uppstår.
I ansökan redovisad drift- och underhållsinstruktion ska följas, alternativt annan instruktion som kan godkännas av tillsynsmyndigheten.
Utifrån 22 kap. 25 § p 3 MB ska beslutet innehålla bland annat eventuella villkor om service och egenkontroll. För yrkesmässig verksamhet gäller Förordning (1998:901) om verksamhetsutövares egenkontroll som bland annat innehåller bestämmelser om organisatoriskt ansvar för verksamheten, kemikaliekontroll och rutiner. Det är dock i undantagsfall en avloppsanläggning bedrivs som yrkesmässig verksamhet, se avsnittet Bästa möjliga teknik och yrkesmässig verksamhet.
Oavsett om en verksamhet bedrivs yrkesmässigt eller ej gäller 26 kap. 19 § MB all miljöfarlig verksamhet och ”den som bedriver verksamhet eller vidtar åtgärder som kan befaras medföra olägenheter för människors hälsa eller påverka miljön ska fortlöpande planera och kontrollera verksamheten för att motverka eller förebygga sådana verkningar. Den som bedriver sådan verksamhet eller vidtar sådan åtgärd ska också genom egna undersökningar eller på annat sätt hålla sig underrättad om verksamhetens eller åtgärdens påverkan på miljön.”
Den som inrättat eller driver en avloppsanläggning bör därför genom att ta del av tillverkarens instruktioner, anlitande av sakkunnig eller på annat sätt, skaffa sig tillgång till sådan kunskap så att anläggningen underhålls på ett sätt så att dess funktion säkerställs. En ansökan behöver omfatta även förslag till övervakning och kontroll av verksamheten (22 kap. 1 § 5 p MB respektive AR Små avlopp bilaga 3 om drift- och underhållsinstruktion).
Skötseln och egenkontrollen består normalt sett av att verksamhetsutövaren följer tillverkarens drift- och skötselinstruktioner samt genom egen okulär kontroll försäkrar sig om att anläggningen fungerar som den ska. För tekniskt okomplicerade anläggningar bör detta räcka.
För mer tekniskt avancerade anläggningar som är känsliga för störningar eller utebliven skötsel bör dock krav ställas på att årlig service och kontroll av anläggningen utförs av sakkunnig, till exempel genom tecknande av ett serviceavtal, se MÖD:s dom i M 5060-16. Men, det är inte enbart förekomsten av ett serviceavtal som kommer att garantera anläggningens funktion, utan miljöförvaltningen behöver även bedöma om innehållet i servicen/skötseln kan anses vara av tillräcklig omfattning, se avsnitt Fackmannamässig skötsel och Drift- och underhållsinstruktion.
Du ska utföra den egenkontroll av anläggningen som finns redovisad i ansökan, om inte tillsynsmyndigheten medger annat.
Giltigt avtal om fackmannamässig service, inklusive uppföljning av funktionsvillkor, ska finnas för anläggningen, om inte tillsynsmyndigheten medger annat.
Villkoren är här formulerade med tillägget ”om inte tillsynsmyndigheten medger annat”, för att lämna utrymme för eventuell justering av vad som ingår i egenkontrollen eller att fackmannamässig service sker på annat sätt än genom serviceavtal, utan att omprövning av tillståndet behöver ske.
Miljöförvaltningen bör föreskriva att serviceprotokoll och/eller annan dokumentation ska förvaras på fastigheten och kunna visas upp på begäran av tillsynsmyndigheten.
Dokumentation från egenkontroll, underhåll och service ska finnas tillgängligt hos dig och kunna uppvisas för tillsynsmyndigheten på begäran.
För infiltrationer bör funktionen följas upp av verksamhetsutövaren genom att mäta avståndet till grundvattennivån.
Minst x gånger per år, i månad z och y, ska du mäta och dokumentera nivån i grundvattenröret samt notera datum för kontroll.
Här bör miljöförvaltningen välja månad(er) på året då det statistiskt sett brukar vara höga grundvattennivåer.
Utifrån 22 kap. 25 § p 7 och 11 MB ska beslutet i förekommande fall innehålla villkor om kemikaliehantering. För små avlopp är denna punkt mest relevant vad gäller förvaring av stora mängder fällningskemikalier så att de inte kan orsaka skada. Men det skulle också kunna handla om teknik för rening av mikroorganismer som kan innefatta hantering av kemiska produkter.
Förvaring av flytande kemikalier ska ske enligt tillverkarens anvisningar och inom avloppslöst, invallat område.
Säkerhetsdatablad ska finnas tillgängliga för de kemikalier som används.
Utifrån 22 kap. 25 § p 8 MB ska beslutet i förekommande fall innehålla villkor om avfallshantering. Detta kan handla om villkor om till exempel intervall för slamtömning och hur byte och omhändertagande av fosforabsorberande material ska ske.
Anläggningen ska slamtömmas enligt tillverkarens anvisningar genom att du anlitar kommunens slamtömningsentreprenör. Anläggningen ska tömmas så ofta som tillverkare anger, dock minst en gång per år.
Att villkora om slamtömning kan innebära en dubbelreglering, som generellt sett inte är önskvärd, eftersom det vanligtvis också är reglerat i de lokala avfallsföreskrifterna. I detta fall bedöms det ändå som lämpligt att göra ett undantag då slamtömning är en av de viktigaste delarna i skötseln för att anläggningen ska kunna fungera som avsett. Avfallsföreskrifternas intervall för tömning gäller som ett minimum, men i tillståndsbeslutet kan tätare intervall föreskrivas vid behov. Även krav på åtkomlighet för tömning är en aspekt som kan regleras i kommunens avfallsföreskrifter och som i det fall det är reglerat redan gäller generellt i kommunen.
Beslut om eget omhändertagande av avfall, till exempel urinspridning och kompostering av eget slam, bör inte regleras i avloppstillståndet utan i ett separat beslut om dispens för eget omhändertagande.
Observera att villkor om slamtömning inte bör skrivas in om dispens för eget omhändertagande finns eftersom en dispens enligt avfallsföreskrifterna för eget omhändertagande inte släcker ut ett villkor i ett tillståndsbeslut.
Däremot kan ett villkor om att anläggningen ska vara åtkomlig för slamtömning vara relevant (efter att man försäkrat sig om att det finns farbar väg) i betydelsen att slamavskiljaren inte ska täckas över eller på annat sätt göras oåtkomlig. Även villkor om att instruktion för slamtömning bör finnas förminireningsverk är viktigt eftersom olika fabrikat kan ha olika instruktioner.
Anläggningen ska vara åtkomlig för slamtömning vilket innebär att den inte får täckas över eller på annat sätt göras oåtkomlig.
Minireningsverket ska vara märkt med instruktion för slamtömning.
Filtermaterial i fosforfällan ska bytas enligt tillverkarens anvisningar vilket innebär xxx.
Om avloppsanläggningen läggs i ett känsligt område där formellt skydd saknas kan särskilda villkor för att skydda naturmiljön behövas.
Grävarbeten i diket till vilket det renade avloppsvattnet ska avledas, ska utföras under 15 juli – 15 september då risken är minst för påverkan på öring i den nedströms liggande x-ån.
Det är lämpligt att denna typ av villkor utformas i samråd med länsstyrelsen.
Här bör miljöförvaltningen beskriva ärendet i en bakgrund som kan innehålla till exempel kortfattade uppgifter om vad som har hänt i ärendet, hur utredningen har gått till och vilka grundläggande förutsättningar som finns i ärendet. Till bakgrunden hör uppgifter om dricksvattentäkter, recipientstatus samt andra specifika förutsättningar somtill exempel förekomst av fornlämningar eller biotopskydd.
Här bör miljöförvaltningen redogöra för hur kommuniceringen med berörda parter har gått till, vilka synpunkter som har inkommit och hur de har hanterats.
Under bedömning bör relevanta stycken om på vilka grunder ansökan beviljas finnas med, till exempel bedömning av
Det behöver även finns med en motivering till hur bedömningen har gjorts. Att beslut som kan antas påverka någons situation på ett inte obetydligt sätt ska innehålla en klargörande motivering framgår av 32 § FL. En sådan motivering ska innehålla uppgifter om vilka föreskrifter som har tillämpats och vilka omständigheter som varit avgörande för myndighetens ställningstagande. Motiveringen bör på ett konkret plan beskriva vilka värderingar, överväganden och bedömningar som gjorts av de faktiska omständigheterna i ärendet med utgångspunkt från rättsläget (se JO:s uttalande i ärenden 1831-2015). Kravet på att en motivering ska vara klargörande innebär att beslutet inte enbart bör innehålla de skäl som har bestämt utgången i ärende utan dessa skäl bör också presenteras på ett sådant sätt att de blir begripliga för den enskilde (se sid 193 i förarbetena till 32 § FL prop. 2016/17:180). En utförlig motivering ger verksamhetsutövaren och de berörda parterna större möjlighet att förstå på vilka grunder beslutet har tagits och minskar därmed risken för överklaganden på grund av missförstånd. Om beslutet ändå skulle bli överklagat så ökar en genomtänkt motivering möjligheten att beslutet håller vid en överprövning. Eventuella synpunkter som kommit in ska också bemötas under bedömningen. Slutligen bör miljöförvaltningen sammanfatta bedömningen av ansökan och motiveringen för beslutet.
Ansökan innehåller de uppgifter som vi behöver för att bedöma att anläggningen uppfyller miljöbalkens krav. Vi bedömer att kraven inte leder till orimliga kostnader.
Miljöförvaltningen bör ange vilka bestämmelser som beslutet grundar sig på, till exempel
Under denna rubrik kan det vara bra att ta med olika bestämmelser och krav som tillståndshavaren behöver känna till men som inte regleras genom själva tillståndet.
Exempelvis så anges i 22 kap. 25 § 2 st, sista meningen MB att i ett tillståndsbeslut ska framgå den tid inom vilken verksamheten ska ha satts igång. Men eftersom detta regleras specifikt för små avloppsanläggningar i 19 § FMH: Ett tillstånd enligt 13 eller 17 § gäller i fem år men förfaller om arbetet med anordningen eller anläggningen inte har påbörjats inom två år, så räcker det att ange detta under rubriken ”Information”.
Andra punkter som kan vara viktiga att ha med som information är till exempel
En dispens för eget omhändertagande är personlig och om fastigheten byter ägare kommer tillståndet därmed inte att kunna utnyttjas utan en ny prövning om dispens.
Det kan också i de lokala avfallsföreskrifterna finnas bestämmelser om till exempel barnsäkerhet för brunnslock, åtkomlighet för hämtningsfordon mm som kan vara viktigt att lägga med som information.
I beslutet bör anges vilka som ska delges beslutet utöver den sökande, det vill säga de som är berörda och därmed har rätt att ta del av beslutet och att överklaga det. Här bör också anges om beslutet ska skickas till någon annan för kännedom, men inte med delgivning och överklagandehänvisning.
Det är även lämpligt att skicka tillståndet och slamtömningsinstruktioner till den avfallsansvarige.
Slutligen behöver miljöförvaltningen redogöra för vilka handlingar som följer med beslutet, till exempel:
Vid anläggande av infiltrationer bör sökande installera ett grundvattenrör eftersom avståndet till grundvattenytan under drift är ett viktigt kriterium för anläggningens funktion.
Placering och utformning av grundvattenröret bör finnas med i ansökan, exempelvis genom att grundvattenröret är markerat i situationsplanen och tydligt redovisat i profilritningen över anläggningen.
I undantagsfall, då man kan belägga att avståndet till grundvatten är så stort att det är helt uppenbart att infiltrationen inte riskerar att påverkas av höga nivåer, krävs inte något grundvattenrör. Det senare kan anses uppfyllt om avståndet mellan infiltrationsnivå och grundvattennivå är större än 5 meter i grus eller större än 8 meter i morän.
Ska grundvattenröret endast användas för tillfällig mätning av nivå i samband med bestämning av dimensionerande grundvattennivå, gradient eller flödesriktning gäller följande:

Figur 30. Anvisning för grundvattenrör.
Grundvattnets fluktuationer beror till stor del av väder och klimat (nederbörd och avdunstning) men också av de geologiska förutsättningarna som påverkar flödeshastigheter och avrinningsmönster. I så kallade stora grundvattenmagasin sker nivåförändringar relativt långsamt. I små magasin blir förändringarna istället snabba, se tabell 1.
Stora magasin utgörs främst av isälvsavlagringar (och i mindre utsträckning sedimentärt berg). Isälvsavlagringarna är gröna på SGU:s jordartskarta. Stora grundvattenmagasin kan också finnas redovisade i SGU:s magasinskartering.
I övriga fall bör man utgå från att man befinner sig i ett litet snabbreagerande magasin, även om jordarten är sandig eller grusig, till exempel vid infiltration i svallgrus. Notera att i anslutning till stora magasin som karterats av SGU kan även små grundvattenmagasin finnas överlagrade över det större magasinet (med tätande jordlager mellan). Att anläggningsplatsen ligger inom begränsningslinjerna för ett större grundvattenmagasin betyder inte nödvändigtvis att den kommer att ha direktkontakt med det större magasinet. I osäkra fall rekommenderas att man utgår ifrån att det rör sig om ett litet magasin.
Magasinstyp | Egenskaper |
|---|---|
Stort långsamtreagerande magasin – främst större sammanhängande isälvsavlagringar (grus och sand) | Måttliga men förhållandevis långsamma nivåförändringar |
Litet snabbreagerande magasin - morän och finare jordarter | Stora och snabbt ombytliga nivåförändringar |
Snabbreagerande grundvattenmagasin finns bland annat i morän. Eftersom 70% av Sveriges yta är moränmark ligger många av de små markbaserade avloppsanläggningarna i små snabbreagerande grundvattenmagasin. De små grundvattenmagasinen kan karaktäriseras med hjälp av regimkurvor som visar när under året det normalt sett bildas grundvatten och när det sker en avsänkning av grundvattennivåerna. Regimkurvornas utseende beror av hydrogeologi och klimat vilket gör att regimkurvorna ser olika ut beroende på var i landet man befinner sig. En sammanställning som utfördes för perioden 1981–2010 uppvisar fyra regioner med olika regimer (Vikberg, Thunholm, Thorsbrink, & Dahné, 2015) se figur 1 nedan.
Regimkurvorna är mycket generella och bygger på sammanställd statistik från SGU:s grundvattenövervakning i stationer (grundvattenrör) utplacerade över hela landet.

Figur 1. Grundvattennivåns genomsnittliga variationsmönster under året (regimer i olika delar av landet under perioden 1981-2010. Redovisningen avser snabbreagerande (”små”) grundvattenmagasin som vanligtvis finns i jordarten morän och i berggrunden. (Vikberg, Thunholm, Thorsbrink, & Dahné, 2015)
För de mindre och snabbreagerande grundvattenmagasinen, som alltså dominerar ytmässigt i Sverige, sker betydande årstidsväxlingar i grundvattennivån. Det är inte ovanligt att grundvattennivån varierar mer än två meter under ett år.
Förstora bildenFigur 2. Exempel på data från en av SGU:s övervakningsstationer (SGU, Kartvisare och diagram för mätstationer, 2024)
En sammanställning av SGU:s nivåmätningar i moränområden visar att djupet till grundvattennivån från markytan åtminstone vid något mättillfälle har varit mindre än 1 meter vid 85 % av stationerna i de områden som bedömts vara s.k. inströmningsområden, dvs. områden med ett relativt högt terrängläge. På lägre nivåer i terrängen är djupet till grundvattennivån ofta mindre än 1 meter under någon del av året varje år. Detta innebär sammantaget att i områden med morän, andra finkorniga jordarter eller ytligt bergläge kan det vara svårt att uppnå minst 1 meters skyddsavstånd till högsta grundvattennivå, även i områden som bedöms vara huvudsakliga inströmningsområden. Detta innebär att om inte förhållandena är ovanligt gynnsamma är det osannolikt att ett vertikalt skyddsavstånd mellan infiltrationsnivå och grundvattennivå på en meter kan upprätthållas i moränområden under perioder med hög grundvattenbildning, om inte infiltrationen lägges upphöjd. (Naturvårdsverket, 2008)
De stora långsamreagerande grundvattenmagasinen utgörs främst av större, sammanhängande sand- och grusavlagringar med god genomsläpplighet. De har inte samma stora variationer över året som de mindre magasinen, och det är främst mellanårsvariationerna som har betydelse för grundvattennivåerna. Det är exempelvis normalt att grundvattennivåerna kan stiga eller sjunka under flera år i rad.
Skillnaderna mellan låg- och hög nivå är mindre i grusåsar och andra långsamtreagerande magasin men i dessa är förändringarna långsamma vilket innebär att en förhöjd nivå ligger kvar under lång tid.
Provgropen fyller flera viktiga funktioner vid anläggande av markbaserade avloppssystem. Genom provgropen kan sökanden (och handläggaren) observera
Sökanden, eller den sökanden anlitar, kan i en provgrop ta ut prover för bedömning av jordens lämplighet som infiltrationsmaterial (i de fall den planerade anläggningen till någon del ska utnyttja infiltration). Om en markbaserad anläggning planeras är det rimligt att åtminstone en provgrop utförs. Utförs flera provgropar kan sökanden även undersöka den horisontella utbredningen av berggrundsytan och jordlagren nedströms planerad anläggning. Detta kan vara angeläget under vissa förutsättningar.
Även om man väljer tekniken markbädd för att ” man vet att det är lera på platsen” kan det finnas det anledning att gräva provgrop. Skälen för detta kan precis som för infiltrationer vara att kontrollera avstånd till berg och hur jordlagrens sammansättning ser ut. Med okända förhållanden på platsen är det svårt att veta om markbädd är lämplig teknik på platsen, det skulle t ex kunna vara mer genomsläppliga marklager än förutsatt vilket i sin tur kan påverka erforderliga skyddsavstånd till dricksvattentäkter.
Det är inte ovanligt att lera är skiktad med grövre material ( t ex sand). I dessa lager kan vatten röra på sig. Vattentransporten i själva leran är dock extremt långsam. Byggs det en markbädd i lera utan mäktiga vattenförande skikt kommer bottendräneringen i markbädden att avleda eventuellt tillskottsvatten så att bädden hålls omättad. Finns det däremot mäktiga vattenförande skikt i leran behöver man ta hänsyn till detta vid projekteringen av anläggningen, eftersom det finns risk för att nivån stiger i bädden och påverkar dess funktion. Inträngande vatten kan också påverka ett efterföljande reningssteg om bädden inte utförts tät. Beroende på den efterkommande reningens känslighet för ovidkommande vatten behöver man i dessa fall överväga att utföra markbädden med tätskikt.
Säkraste sättet att avläsa grundvattennivån i provgropen är att använda grundvattenrör som kan sättas ner i samband med att provgrop grävs eller borras. Fördelarna med detta är flera:
Provgropen får inte göras för grund eftersom man alltid ska sträva efter att lokalisera läget för såväl grundvattennivån som berggrundsytan. En observation ner till 2.5 meter under planerad infiltrationsnivå kan i de flesta fall accepteras även om berg och/eller grundvattennivå ej lokaliseras. Ur grundvattensynpunkt behövs inte lika djupa gropar under perioder med höga grundvattenförhållanden. Vet man att berget ligger djupt kan det vara rimligt att anpassa gropens djup efter förväntad grundvattenförhöjning vid rådande fyllnadsgradsförhållanden, se figur 46 i Bestämning av dimensionerande grundvattennivå.
Vid avläsning av nivå är det viktigt att grundvattennivån fått tid att ställa in sig. I finkorniga jordar bör du vänta 3-5 dagar. I grovkorniga jordar räcker det med att läsa av grundvattennivån dagen efter.
Sker avläsningen i öppen provgrop bör den ske vid ett tillfälle då det inte har kommit någon betydande nederbörd under de senaste 3 dygnen. Orsaken är helt enkelt att vatten kan ansamlas i provgropen (gäller speciellt i finkorniga jordar). Avläsning av grundvattennivåer bör ske vid minst två tillfällen med minst en veckas mellanrum för att högsta dimensionerande grundvattennivå ska kunna uppskattas.
Ansvaret för utredning av grundvattennivåer ligger på den sökande. Miljöförvaltningen ansvarar för att det finns ett tillräckligt och tillförlitligt underlag för att ansökan ska kunna prövas. Det innebär att miljöförvaltningen i varje enskilt behöver avgöra om och hur många platsbesök som behöver göras. Se även Bestämning av dimensionerande grundvattennivå.
Vid syn av provgrop ska sökanden eller sakkunnig som sökande anlitar undersöka och dokumentera jordlagerföljden. Synliga karaktärsskiftningar i jordens egenskaper vid olika djup såsom jordart, packning, m.m. dokumenteras (exempelvis genom fotografering eller filmning med synliga måttuppgifter, se även exempel på protokoll sist i denna bilaga). Provtagning ska ske på samma plats som anläggningen ska placeras och prov för siktanalys eller perkolationsprov ska tas ut vid en nivå som hamnar under planerad infiltrationsnivå.
I de fall det förekommer flera karaktärskilda jordlager under planerad infiltrationsnivå ska uttaget av material ske från det material som förväntas ha sämst infiltrationsförmåga. Antalet prover som krävs beror på hur infiltrationsförmågan ska fastställas, vilken analysmetod som används, se Siktanalys och perkolationsprov, samt hur stor osäkerheten är kring hur infiltrationskapaciteten varierar i jordlagren. Ofta krävs flera prov. Speciellt om materialet är skiktat och det råder osäkerhet kring vilka lager som har sämst kapacitet. Det är materialet med sämst infiltrationsförmåga som i regel ska ligga till grund för dimensionering och utförande av anläggning.
Dokumentationen av provgropen ska bifogas ansökan. Handläggaren bedömer om dokumentationen är tillräcklig för att ligga till grund för att behandla ansökan.
I vissa fall är det av speciellt intresse att undersöka den horisontella utbredningen av olika jordlager. Detta gäller exempelvis om området präglas av tunna jordlager, se figur nedan, eller om man misstänker stora lokala skillnader i jordartsgeologin.
Figur 33. Om det är begränsat djup till berg finns anledning att undersöka den horisontella utbredningen av olika jordlager. Klicka på bilden för en större version.
Det är också nödvändigt om den sökande planerar att förlägga infiltrationen i ett jordlager med ett tätande lerlager (eller motsvarande) under, se figur 34.
Figur 34. Planerar man att förlägga infiltrationen i ett jordlager med ett tätande lerlager (eller motsvarande) under måste sökande kontrollera nedströms mäktighet på det jordlager som ska ta emot vattnet och bedöma om det finns risk att det tränger ut i exempelvis en sluttning eller riskerar att ge upphov till funktionsproblem/översvämning i anläggningen. Klicka på bilden för en större version.
I dessa fall måste sökanden eller sakkunnig som sökande anlitar kontrollera nedströms mäktighet på det jordlager som ska ta emot vattnet samt bedöma ske av om det finns risk att det tränger ut i exempelvis en sluttning i närheten eller riskerar att hindras från vidare transport och ge upphov till översvämning i anläggningen. En sådan dokumentation av nedströms recipientområde bör bifogas en avloppsansökan. Se även Jordlagrets mäktighet och förmåga att transportera bort tillfört vatten och avsnittet Korta avstånd till berg i Bestämning av dimensionerande grundvattennivå. (SGU, 2018)
Provgropsprotokoll. Klicka på bilden för en större version.
Ibland kan en utökad undersökning av grundvattnets strömningsriktning behövas. Grundvattennivåerna bestäms då i minimum tre punkter inom recipientområdet nedanför den planerade infiltrationen. Dessa punkter väljs ut så att de är representativa för grundvattenmagasinet och bildar hörnen i en trekant, se figur 35.
Grundvattennivåerna kan fastställas på liknande sätt som vid grundvattenobservationer i provgrop. I detta fall rekommenderas dock att sökande ser till att tillfälliga grundvattenrör grävs ner. Avståndet mellan dem rekommenderas att vara runt 20 meter men bör inte understiga 10 meter och inte överstiga 50 meter. En punkt bör utgöras av grundvattennivån vid anläggningsplatsen medan övriga punkter placeras triangulärt i riktning mot skyddsobjektet, som kan vara en dricksvattentäkt.
Sökanden, eller sakkunnig som sökanden anlitar, fastställer grundvattennivåerna utifrån en gemensam referensnivå. För inmätningen av nivåer är det praktiskt med en planlaser. Avvägningen ska ske vid samma tidpunkt för alla mätpunkter.
Figur 35. Grundvattnets strömningsriktning kan bestämmas med en så kallad ”hydraulisk trekant” där nivåerna mäts i tre punkter. Klicka på bilden för en större version.
Så kallade ekvipotentiallinjer förbinder punkter på grundvattenmagasinet som har samma nivå (höjd). För konstruktion av linjerna används ”den hydrauliska trekanten”, vilket innebär att de tre platserna där grundvattennivån är inmätt markeras på en karta. De relativa höjderna anges sedan i varje punkt. Varje sida i trekanten delas upp i hela meter eller decimeter genom interpolering. Förbindelselinjen mellan punkter med samma nivå utgör en ekvipotentiallinje. Grundvattnets strömningsriktning motsvaras av linjen vinkelrätt mot ekvipotentiallinjerna. Med kännedom om dricksvattentäkterna i närheten av den planerade avloppsanläggningen är det möjligt att avgöra om det finns risk för förorening eller ej. Eventuellt behöver den sökande genomföra noggrannare undersökningar för att risk slutligt ska kunna avgöras.
Dokumentationen av grundvattnets strömningsriktning bör finnas bifogad ansökan. Handläggaren bedömer om dokumentationen är tillräcklig för att ligga till grund för att behandla ansökan.
Ibland kan lutningen på grundvattenytan också vara viktig att undersöka, till exempel för att bedöma skyddsavstånd till vattentäkter. Lutningen (gradienten) är förändringen i höjd under en viss sträcka. Till exempel, om avståndet mellan första ekvipotentiallinjen (höjden 40 m i figur 35) och sista ekvipotentiallinjen (höjden 36 m i figur 35) är 40 meter och grundvattenytans nivå faller 4 meter över det avståndet, beräknas lutningen genom att dividera minskningen med avståndet, vilket ger 0,10 eller 10 procent (4/40= 0,10).
Figur 22 Recipientområdet nedströms behöver ha förmåga att transportera bort det infiltrerade vattnet. Klicka på bilden för en större version. Bilden är inte skalenlig.
Vid komplicerade ärenden, till exempel vid risk för påverkan på dricksvattentäkt, kan ansökan behöva kompletteras med en mer avancerad hydrogeologisk utredning. I en sådan utredning kan till exempel ingå
Vilken kompetens konsulten har för att göra bedömningen ska framgå genom att CV bifogas. Bedömningen av vad som är tillräcklig kompetens inom området får bedömas från fall till fall med utgångspunkt från vilken kompletterande information som efterfrågas.
SGU:s metod för kartläggning och påverkansbedömning av grundvatten.
Vid projektering av en markbaserad avloppsanläggning behövs ofta en undersökning av jordmaterialet med avseende på genomsläpplighet. Det kan finnas olika syften med undersökningen och olika metoder passar bäst i olika situationer, se tabell 1. De tre syften som undersökning av jordmaterialet kan utgå ifrån är behovet av uppgifter för att
Metoder för uttag av prov och siktanalys finns beskrivna i både faktablad 8147 och i EN 12566-2, Teknisk rapport om infiltrationer. Observera att det finns tekniska skillnader mellan utförandet av infiltrationer enligt EN 12566-2 och enligt faktablad 8147.
I Sverige brukar undersökning av jordmaterialet ske på i huvudsak två sätt, genom siktanalys, som är en indirekt mätmetod, eller genom perkolationstest, som är en direkt mätmetod. Vid mätning av genomsläpplighet (hydraulisk konduktivitet) i syfte att bedöma skyddsavstånd är direkta mätmetoder såsom perkolationstest rekommenderade framför exempelvis bestämning med hjälp av siktanalys.
Oavsett metod är det viktigt att jordprov och mätningar är representativa för jordarten. Detta innebär att den som ansvarar för uttag och bedömning av jordprov, det vill säga sökande eller sakkunnig som sökande anlitar, bör ha minst grundläggande geologisk kompetens. Dokumentation av uttag av prover, uppgift om testmetod och bedömning av resultat av provtagningen bör bifogas ansökan. Handläggaren bedömer om dokumentationen är tillräcklig för att ligga till grund för att behandla ansökan.
Prov för både perkolationstest och siktanalys kan tas ut i provgrop, se avsnitt Provgrop.
Syfte | Metod | Redovisning | Avsnitt i vägledningen |
|---|---|---|---|
Dimensionera infiltrationsyta | Perkolationstest som tillhandahålls av branschen för respektive avloppsprodukt. | LTAR (l/ m2 d) uppskattat utifrån empiriska samband som till viss del kan variera mellan olika leverantörer. | Uppskattning av LTAR-värde i syfte att dimensionera infiltrationsyta |
Perkolationstest, Tube permeameter EN 12566–2, Annex B, avsnitt B.3.2.2. | LTAR (l/ m2 d) uppskattat utifrån tabell 1 och figur 1 i EN 12566–2. | Uppskattning av LTAR-värde i syfte att dimensionera infiltrationsyta | |
Siktanalys, Faktablad 8147, avsnitt Förunder-sökningar. | Beräkning av infiltrationsyta utifrån hur siktkurvan faller inom fält A och B i ett kornfördelnings-diagram. | ||
Bedöma skyddsavstånd | Perkolationstest enligt SGU:s anvisning. | Hydraulisk konduktivitet i m/s (k-värde). | |
Bedöma lokal förhöjning av grundvattenytan under en infiltration i låggenomsläpplig mark | Perkolationstest enligt SGU:s anvisning | Hydraulisk konduktivitet i m/s (k-värde). | |
Siktanalys utifrån anvisningar i faktablad 8147, avsnitt Förunder-sökningar. | Jordart, vilket kan användas för en översiktlig uppskattning av ungefärligt k-värde. |
Bedömning av lokal förhöjning av grundvattenytan utifrån siktanalys |
Vid perkolationstest erhålls ett värde på jordens initiala vattengenomsläpplighet under vattenmättade förhållanden. En finare term för detta är den mättade hydrauliska konduktiviteten, det vill säga vattenflödeshastigheten genom jorden under ett tillstånd då jorden är vattenmättad. Värdet på den mättade hydrauliska konduktiviteten (eller förkortat k-värdet) redovisas vanligen i (m/s).
Perkolationstest kan användas både när man avser att uppskatta jordens genomsläpplighet (hydraulisk konduktivitet) i syfte att bedöma skyddsavstånd till dricksvattentäkt och lokal förhöjning av grundvattenytan under avloppsanläggningen samt i syfte att uppskatta LTAR-värde för att dimensionera infiltrationsyta.
Uttag av prov och utförande av perkolationstest skiljer sig åt beroende på i vilket av dessa syften provtagningen görs.
LTAR (Long Term Acceptance Rate) är ett mått på den långsiktiga infiltrationsförmågan i marken vid belastning med slamavskilt hushållsspillvatten (liter per kvadratmeter och dygn). LTAR-värdet motsvarar de dimensioneringsunderlag som traditionellt tagits fram med hjälp av siktanalys.
Det går inte att mäta LTAR direkt i jorden. LTAR måste uppskattas utifrån empiriska (uppmätta) samband. Det finns egentligen inget givet sätt att fastställa LTAR för en jord men i Sverige tillämpas oftast perkolationstest i rör för att mäta och beräkna LTAR för dimensionering av infiltrationsyta. Metod för perkolationstest i rör finns bland annat beskriven i EN 12566–2, Teknisk rapport om infiltrationer, där även andra liknande metoder beskrivs.
Vid avläsning av ett kommersiellt perkolationsprov som tillhandahålls av branschen blir resultatet ofta presenterat som ett LTAR-värde (liter per m2 och dygn) som omräknats från det uppmätta k-värdet. LTAR (l/ m2 d) uppskattat utifrån empiriska samband kan till viss del variera mellan olika kommersiella leverantörer. LTAR-värdet ska inte förväxlas med k-värdet som redovisas i meter per sekund eller centimeter per dygn.
Det är marklagret som är minst genomsläppligt som är avgörande för bedömningen av den hydrauliska kapaciteten vid dimensionering och som sålunda är mest relevant att provta. En mindre genomsläpplig mark kräver en större infiltrationsyta där belastningen av avloppsvatten per ytenhet är lägre. Flera prover behöver i regel tas ut och testerna behöver upprepas för att resultaten ska bli tillförlitliga.
Platsen för provtagningen bör markeras på karta. I protokoll för provgrop anges på vilken nivå provet tagits ut.
Dimensionering av infiltrationsyta utifrån perkolationstest och bedömt LTAR-värde beskrivs i EN 12566–2. LTAR-värdet anger hur många liter slamavskilt hushållsspillvatten per kvadratmeter och dygn som infiltrationsytan kan belastas med. Infiltrationsyta beräknas genom att mängden spillvatten per dygn som anläggningen avses belastas med divideras med LTAR-värdet. I avsnittet Bedömning av dimensionering behandlas bedömningsgrunder för spillvattenmängder närmare.
Till skillnad från metoden för dimensionering utifrån siktanalys (faktablad 8147) så har man i EN 12566–2 angivit en betydligt mindre mängd hushållsspillvatten per kvm och dygn vid täta jordarter. Infiltrationsytan blir istället större eftersom tätare jordarter har ett lägre LTAR-värde och alltså tillåts belastas med mycket mindre mängder spillvatten. Observera att tekniskt utförande av en anläggning enligt EN 12566–2 skiljer sig från en anläggning utförd enligt faktablad 8147. Vid LTAR -värden under 10 anger EN-12566-2 att direkt infiltration inte är möjlig.
För andra anläggningstyper än infiltrationsanläggningar enligt EN 12566–2 och där dimensioneringen av ytbelastning avviker från EN 12566–2 bör ansökan innefatta en redovisning av vilka egenskaper hos anläggningen och förhållandena på platsen det är som motiverar att ytbelastningen avviker.
Räkneexempel:
Ett hushåll 5 pe med dimensionerande flöde av hushållsspillvatten motsvarande 170 liter per person och dygn -> 850 liter /dygn ska belasta anläggningen
Perkolationstest ger ett beräknat LTAR-värde på 30 l/kvm och dygn
850 liter/p d
___________________ = 28 kvm
30 l/ kvm d
Uttag av prov och utförande av perkolationstest för bestämning av genomsläpplighet (hydraulisk konduktivitet) för bedömning av skyddsavstånd och lokal förhöjning av grundvattenytan under avloppsanläggningen skiljer sig åt jämfört med om syftet är att uppskatta LTAR för bedömning av dimensionering.
Vid uttag av perkolationsprov för bedömning av den lokala förhöjningen bör detta ske i de jordlager under planerad infiltrationsnivå som har lägst genomsläpplighet. I grövre jordarter (motsvarande fält A vid siktanalys) finns inget behov av perkolationsprov eftersom förhöjningen i grövre jordarter är försumbar.
Uttag av prov kan ske utifrån SGU:s metod för provtagning och perkolationstest i syfte att bestämma mättad hydraulisk konduktivitet.
Vid uttag av perkolationsprov för bedömning av skyddsavstånd är det viktigt att ha ett annat tankesätt än det man har när man tar perkolationsprov för att bestämma LTAR. Vid perkolationstest i syfte att dimensionera en anläggning utifrån jordens genomsläpplighet söker man efter det minst genomsläppliga (lågkonduktiva) skiktet som kan utgöra ett hinder vid infiltration. Vid skyddsavståndsbedömning i en situation när en brunn ligger i grundvattnets strömningsriktning från ett avloppsutsläpp i mark är det omvänt så att man söker efter det mest genomsläppliga (högkonduktiva) skiktet.
Uttag av prov bör ske på ett djup där man förväntar sig en grundvattenrörelse. I regel bör prover på hydraulisk konduktivitet alltså tas från minst 0,5 meter under planerat läge för spridarrör och neråt.
Det är inte ovanligt att det i jordprofilen uppträder skiktningar med inslag av sand och grus. Detta kan uppträda både i lera och morän och kan då få stor betydelse för markens förmåga att transportera vatten. Ett mer vattenförande skikt kan också återfinnas i övergången mellan jord och bergöveryta. Förekommer det skikt som har hög genomsläpplighet och är sammanhängande över större områden så är det avgörande för bedömningen att den hydrauliska konduktiviteten fastställs i dessa och att det mest genomsläppliga skiktet får bli avgörande vid bedömningen av behovet av skyddsavstånd. Detta förutsatt att dessa skikt inte ligger ovan den zon där den förväntade grundvattentransporten sker.
Om det finns morän inom området så kan man utgå ifrån att det inte finns någon annan underliggande jordart (övriga jordarter har som regel bildats under en senare period). Finner man däremot exempelvis sand kan det vara flera andra underliggande jordarter som lera med mycket låg genomsläpplighet eller isälvsavlagring med mycket hög genomsläpplighet. En grov överblick av jordartsutbredningen i området kan hämtas från SGU:s webbplats (Kartvisaren Jordarter), men kartvisaren ger ingen information om det finns flera lager.
Osäkerheter som är kopplade till rumslig variation och analysmetoder kan alltid minskas genom att utföra flera provtagningar inom samma jordlager i provgropen eller ännu bättre – i flera provgropar i strömningsriktningen från anläggningen.
Ett generellt förhållningssätt vid upprepad provtagning kan vara att utgå från det högst uppmätta värdet (tillämpning av ett ”worst case scenario”).
Platsen för provtagningen bör markeras på karta. I protokoll för provgrop anges på vilken nivå provet tagits ut.
Genomsläpplighet kan mätas som mättad hydraulisk konduktivitet. En viktig förutsättning vid mätning av mättad hydraulisk konduktivitet i syfte att bedöma skyddsavstånd och lokal förhöjning av grundvattennivå, är att provet är vattenmättat när testet utförs. Vattengenomströmningen är snabbast under mättade förhållanden och det är dessa förutsättningar som råder vid grundvattentransport. Rekommendationen är därför att väta provet genom att låta det stå i vatten så att vattnet får möjlighet att trycka upp i provet underifrån. Fördelen med detta är att man får en fullständig genomvätning samt att man inte rör upp finpartiklar från provets ytskikt i samma utsträckning som när vatten tillförs ovanifrån.
De handledningar som branschen tillhandahåller för perkolationstester rekommenderar ofta flera upprepningar av testet (vattenbegjutning och tidtagning) vilket kan bero på att man genom upprepningarna vill försäkra sig om ett mättat flöde. Detta arbetssätt är mindre lämpligt vid mätning av mättad hydraulisk konduktivitet. Om genomvätning sker genom blötläggning av provet innan testutförande behövs ingen upprepning om testet som sådant faller väl ut. Gör man flera test bedöms att resultat från första testet är det mest pålitliga (om genomvätning utförts på förhand).
Den mätutrustning som tillhandahålls av branschen för att dimensionera infiltrationsyta innehåller vanligtvis inte information om hur den kan användas för att mäta mättad hydraulisk konduktivitet för bedömning av skyddsavstånd eller lokal förhöjning av grundvattennivå.
En beskrivning av rekommenderad mätmetod för bedömning av skyddsavstånd finns i avsnittet SGU:s metod för provtagning och perkolationstest i syfte att bestämma mättad hydraulisk konduktivitet. Samma metod kan användas för att bestämma hydraulisk konduktivitet i syfte att uppskatta lokal förhöjning av grundvattennivå.
Metod för uttag av prov och siktanalys finns beskriven i både faktablad 8147 och i EN 12566–2, Teknisk rapport om infiltrationer. Observera att det finns tekniska skillnader mellan utförandet av infiltrationer enligt EN 12566–2 och enligt faktablad 8147.
Det är det marklager som är minst genomsläppligt som är avgörande för den hydrauliska kapaciteten och som sålunda är mest relevant att provta för siktanalys, om syftet är dimensionering av infiltrationsyta eller bedömning av lokal förhöjning av grundvattenytan. Siktanalys rekommenderas inte för bedömning av skyddsavstånd.
Tas flera prover ut för analys så är det det minst gynnsamma provet som ska siktas. Vid osäkerhet kan flera prover behöva tas ut. Ett prov bör ha en volym av minst 0,5 l. Stenar större än ca 20 mm tas bort.
Platsen för provtagningen bör markeras på karta. I protokoll för provgrop anges på vilken nivå provet tagits ut.

Det är det minst genomsläppliga lagret som är avgörande för infiltrationskapaciteten. I det här fallet ligger ett lager finkornigare material mellan två grövre lager. Foto: Kungsbacka kommun
Resultatet av en siktanalys redovisas lämpligen i ett kornfördelningsdiagram där kravgränser för fält A respektive fält B är inlagda, se figur 1.
Förstora bildenFigur 1. Kornfördelningsdiagram med kravgränser för fält A och B inlagda. Klicka på bilden för en större version.
En siktanalys ger en god bild av fördelningen av kornstorlek men ger inget besked om packningen av materialet vilket kan påverka genomsläppligheten. Framförallt är det jordens innehåll av finpartiklar som är begränsande för genomsläppligheten varför en analys bör omfatta både siktning och sedimentationsanalys (”slamning”) så att förekomsten av finpartiklar är angiven i siktkurvan.
Dimensionering utifrån siktanalys utgår traditionellt ifrån NV faktablad 8147. Om siktkurvan faller helt och hållet inom fält A och/eller B kan infiltration vara möjligt (om alla övriga kriterier med avstånd till grundvattennivå m.m. är uppfyllda). Belastningen för en konventionell infiltration kan som högst uppgå till 50-60 liter per kvadratmeter och dygn, medan belastningen bör ligga på högst 30-40 liter per kvadratmeter och dygn om siktkurvan ligger helt eller delvis inom fält B. Vilken dimensionerande ytbelastning som väljs beror på siktkurvans utseende. Erforderlig infiltrationsyta beräknas genom att mängden spillvatten per dygn som anläggningen avses belastas med divideras med ytbelastningen. I Bedömning av dimensionering behandlas närmare bedömningsgrunder för spillvattenmängder.
Om siktkurvan faller till någon del utanför fält A och/eller fält B är materialet för grovt och/eller för fint för infiltration.En annan teknisk lösning bör övervägas. Förstärkning kan vara ett alternativ i grova jordar men kan även vara en förutsättning för att kunna infiltrera i delar av fält B där genomsläppligheten är begränsad. Se Förstärkt infiltration och material i markbäddar.
Det rekommenderas att man undviker infiltrationslösningar när det naturliga markmaterialet har hydraulisk konduktivitet i storleksordningen 10 -6 och lägre, vilket ungefärligen motsvarar den vänstra begränsningslinjen för fält B.
Räkneexempel:
Ett hushåll 5 pe med dimensionerande flöde av hushållsspillvatten motsvarande 170 liter per person och dygn -> 850 liter /dygn ska belasta anläggningen.
Siktanalys visar att materialet ligger inom fält A. Ytbelastningen ansätts till 50 liter/ kvm och dygn.
850 liter/p d
___________________ = 17 kvm
50 l/ kvm d
Förstora bildenFigur 2. Exempel på siktkurvor för några vanliga jordarter 1) siltig morän 2) sandig morän 3) grusig morän och deras förhållande till fält A och fält B vid siktanalys. Klicka på bilden för en större version.
För andra anläggningstyper än konventionell infiltration eller markbädd enligt faktablad 8147 och där dimensioneringen av ytbelastning avviker från värdena ovan bör ansökan innefatta en redovisning av vilka egenskaper hos anläggningen och förhållandena på platsen det är som motiverar att ytbelastningen avviker.
Den lokala förhöjningen under infiltrationsanläggningen är beroende av den hydrauliska konduktiviteten, k-värdet. En siktanalys ger svar på jordart, vilket, vilket kan användas för en översiktlig uppskattning av ungefärligt k-värde, se tabell 2 och 3. En översiktlig uppskattning kan vara fullt tillräckligt för att beräkna lokal förhöjning, men tabell 2 och 3 bör inte användas för att ”översätta” siktanalys till hydraulisk konduktivitet i syfte att bedöma skyddsavstånd.
Moräner | K-värde m/s |
|---|---|
Grusig morän | 10-5 – 10-7 |
Sandig morän | 10-6 - 10-8 |
Siltig morän | 10-7 - 10-9 |
Sediment | K-värde m/s |
|---|---|
Fingrus | 10-1 - 10-3 |
Grovsand | 10-2 - 10-4 |
Mellansand | 10-3 - 10-4 |
Finsand | 10-4 - 10-6 |
Grovsilt | 10-5 - 10-7 |
Förstärkning av en infiltrationsbädd kan göras med två syften:
Genom att byta ut bäddens översta skikt med ett grövre material minskar man de naturliga igensättningseffekterna som uppstår av biohudsutveckling och belastning med onedbrytbart partikulärt material. Genomsläppligheten i det finare materialet som ligger under kan då upprätthållas under bäddens livstid. Förstärkningslagret bör vara minst 30 cm tjockt för en infiltration dimensionerad med utgångspunkt från faktablad 8147.
Förstärkning ska inte ses som ett sätt att möjliggöra infiltration i de fall redovisade kornstorlekskurvor hamnar utanför fält B. Istället kan förstärkning vara en förutsättning för att kunna infiltrera i delar av fält B där genomsläppligheten är begränsad. Egenskaper i kornstorlekskurvan som kännetecknar dålig infiltrationsförmåga är hög andel finmaterial och svag lutning (flack kurva). Observera att detta är en rekommendation som är mer restriktiv än rekommendationen i faktablad 8147. (SGU, 2018)
Dimensioneras en markbaserad anläggning för 30 l/m2 och dygn krävs teoretiskt att jordlagren har en vattengenomsläpplighet på minst 3,5 x 10-7 m/s för att det dimensionerande flödet skall kunna passera jordlagret under mättade förhållanden. Denna vattengenomsläpplighet utgör alltså en absolut undre gräns för underliggande material. I praktiken ska infiltrationen ske under omättade förhållanden (vilket försämrar genomsläppligheten) och dessutom bör man förutsätta att genomsläppligheten i materialet kommer att försämras något med tiden. Därför rekommenderas att man undviker infiltrationslösningar när det naturliga markmaterialet har k-värden i storleksordningen 10-6 och lägre, vilket ungefärligen motsvarar den vänstra begränsningslinjen för fält B. Man kan med fördel genomföra perkolationstester för att få en bättre bild av materialets genomsläpplighet, se Siktanalys och perkolationsprov. (SGU, 2018)
I EN 12566-2, Teknisk rapport om infiltrationer, finns exempel på andra tekniska lösningar för att förbättra infiltrationsförmågan i täta jordarter.

Figur 40. Principen för förstärkt infiltration i finkorniga jordar med utgångspunkt från faktablad 8147. (Naturvårdsverket, 1987) Klicka på bilden för en större version.
Hamnar kornstorleksfördelningen något utanför fält A måste en förstärkning göras för att bädden ska ge en fullgod rening och utgöra en fullgod barriär mot underliggande grundvatten, se figur 41. Förstärkningslagret bör vara 50-80 cm. (Eveborn, 2019)

Figur 41. Principen för förstärkt infiltration i grovkorniga jordar med utgångspunkt från faktablad 8147. (Naturvårdsverket, 1987). Klicka på bilden för en större version.
I EN 12566-2, Teknisk rapport om infiltrationer, finns exempel på andra tekniska lösningar för att bromsa infiltrationshastigheten i grova jordarter.
Vid val av förstärkningslager till infiltrationsanläggningar behöver materialet ligga inom gränserna i figur 42.
Figur 42. Nya rekommenderade kornstorleksgränser för markbäddssand för filtermaterial i markbäddar och förstärkningsmaterial vid infiltration (Ulinder m.fl., 2019). Klicka på bilden för en större version.
Även sandmaterialet till markbäddar bör väljas så att det ligger inom gränserna i figur 42.
Naturgrus används oftast som filtermaterial i markbäddar, men är en begränsad resurs. Det finns därför miljömässiga och ekonomiska skäl att hitta ersättningsmaterial. Bergkross kan under vissa förutsättningar vara ett ersättningsmaterial, se rapporten Kvalitetssäkring av bergkross och naturgrus som filtermaterial i markbäddar. De förutsättningar under vilka bergkross kan användas i markbäddar är bland annat att bergkrosset har en kornstorlekskurva motsvarande rekommendationen för naturgrus i markbäddar och att det har en vattengenomsläpplighet som ligger inom vissa rekommenderade gränser.
Vid prövning av små avloppsanläggningar rekommenderar HaV nedanstående beslutsmodell för skydd av dricksvattentäkter. Modellen har tagits fram med stöd av SGU (SGU del 1, 2023). Beslutsmodellen är avsedd för markbaserade avloppsanläggningar, såväl infiltrationer som otäta markbäddar. Resonemangen kring skyddsavstånd för markbaserade anläggningar kan vara tillämpliga även för andra typer av avloppsteknik, till exempel då infiltration används som efterpolering efter ett minireningsverk.
Beslutsmodellen bör endast användas för att uppskatta skyddsavstånd för dricksvattentäkter som försörjer ett eller ett fåtal hushåll. Större vattenuttag kräver mer noggranna undersökningar.
Huvudkravet för horisontellt skyddsavstånd är att detta ska motsvara grundvattnets transportsträcka under minst 2–3 månader (Havs- och vattenmyndigheten, 2016). Avloppsanläggningar ska som huvudregel i största möjligaste mån lokaliseras så att dricksvattentäkter inte ligger i strömningsriktningen från infiltrerat avloppsvatten, se avsnitt Grundprinciper för lokalisering.
Skillnaden i utformningen mellan bergborrade brunnar och grävda brunnar gör att riskerna för kontaminering skiljer sig åt. Beslutsmodellen är därför uppdelad i två delar – del A för bergborrade brunnar och del B för grävda brunnar.
Dokumentationen av hur bedömningen av skyddsavstånd har skett bör bifogas ansökan. Handläggaren bedömer om dokumentationen är tillräcklig.
Handläggaren bedömer om dokumentationen är tillräcklig.
Om det är ett osäkert läge ur risksynpunkt så kan det finnas behov av fördjupad lokal information. Eventuellt kan en hydrogeologisk utredning bli aktuell för att beslutsunderlaget ska vara tillräckligt.
Se även avsnitt Komplettering av ansökan.
Borrad brunn: En bergborrad brunn hämtar dricksvattnet från sprickor i berggrunden som fungerar som vattenmagasin. Skyddsavstånd till bergborrade brunnar beskrivs i del A.
Grävd brunn: En grävd brunn hämtar dricksvattnet från ett vattenförande grundvattenmagasin i marken. Som grävd brunn räknas också filterbrunnar och rörspetsbrunnar eftersom dessa typer av dricksvattenbrunnar också hämtar sitt vatten från grundvattnet i marken. Skyddsavstånd till grävda brunnar beskrivs i del B.
Läs mer hos Livsmedelsverket om olika typer av dricksvattenbrunnar.
Huvudkravet för horisontellt skyddsavstånd är att detta ska motsvara grundvattnets transportsträcka under minst 2–3 månader (Havs- och vattenmyndigheten, 2016). Oregelbundna spricknätverk i berget och att vattenuttag i en borrad brunn kan orsaka stor avsänkning av grundvattnet innebär att man inte kan garantera att en bergborrad brunn är skyddad oavsett om den befinner sig högre eller lägre i terrängen jämfört med en avloppsanläggning. Att placera avloppsanläggningen lägre i terrängen jämfört med brunnen är dock en generell huvudprincip för såväl grävda som för bergborrade brunnar.
Statistiskt sett är bergborrade brunnar dock mer skyddade från kontaminering än grävda brunnar (det är vanligare med förekomst av fekala indikatorbakterier i grävda brunnar) (SGU del 1, 20). Med utgångspunkt från översiktliga uppskattningar av skyddsavstånd baserade på de modelleringar SGU har gjort för borrade brunnar (inklusive en modell med förhållandevis tunt jordlager) samt spårförsök så rekommenderas följande skyddsavstånd mellan markbaserade anläggningar och bergborrad dricksvattenbrunn:
Rekommenderade intervall kan inte ge några faktiska garantier utan ska ses som stöd för bedömningen.
Lokala förhållanden i det enskilda ärendet behöver vägas in när man bedömer vilket skyddsavstånd som behövs till den bergborrade brunnen. Bedömningen av den sammantagna riskbilden får avgöra om man bör ligga närmare det högsta eller det lägsta avståndet i det rekommenderade skyddsavståndsintervallet. Nedan listas en rad faktorer som påverkar risken för kontaminering av en bergborrad dricksvattenbrunn och som är lämpliga att ta hänsyn till i riskbedömningen. För närmare beskrivning klicka på länken till varje riskfaktor.
Om grundvattennivån under infiltrationen är lägre än medelnivån i bergborrhålet vid normalt uttag (Figur 1) bör det inte kunna ske någon transport från avloppsanläggningen till bergborrhålet. Om avsänkningen i bergborrhålet blir stor vid normalt uttag kan man däremot få en stor tryckskillnad från infiltrationen till bergborrhålet vilket ökar risken för en snabb transport och kontaminering. En tids kontinuerlig mätning av nivån i bergborrhålet (under normalanvändning av brunnen) krävs för att få en bild av medelnivån i brunnen. Automatisk loggerutrustning kan då vara till stor hjälp.

Figur 1. Grundvattennivån under infiltrationen är lägre än medelnivån i bergborrhålet vid normalt uttag vilket innebär att någon transport från avloppsanläggningen till bergborrhålet inte bör kunna ske.
Bergets förmåga att släppa igenom vatten mäts som hydraulisk konduktivitet. Om bergets hydrauliska konduktivitet är låg, det vill säga bergets förmåga att släppa igenom vatten är liten, innebär det en förhöjd risk för snabb transport i sprickorna. Detta beror på att transportvolymen i sprickorna ofta är mindre än i berg med högre hydraulisk konduktivitet, det vill säga mer genomsläppligt berg.
Vid samma mängd vattenuttag från brunn X som ligger i berg med låg hydraulisk konduktivitet jämfört med brunn Y som ligger i berg med hög hydraulisk konduktivitet, kommer transporthastigheten alltså att bli högre till brunn X, eftersom sprickorna som vattnet ska transporteras i till brunn X är färre och mindre.
Vid vattenuttag i en borrad brunn blir avsänkningen också större om bergets hydrauliska konduktivitet är lägre. Detta sammantaget ger en ökad risk för kontaminering om bergets hydrauliska konduktivitet är låg. Hydraulisk konduktivitet kan utvärderas från pumptest i brunnen eller översiktligt bedömas från SGU:s kartvisare för hydraulisk konduktivitet.
Avloppsvattnets transport genom jordlagren utgör en barriär innan berggrundvatten kan bildas. Ökat jorddjup minskar risken för kontaminering av en bergborrad brunn. Ett användbart stöd är SGU:s kartvisare Jorddjup.
Tätare jordar fördröjer transporten ner till berggrundens yta mer än de mer genomsläppliga jordarna och utgör därför en bättre barriär mot kontaminering av bergborrad brunn. För att kunna bedöma transporthastigheten i marken och därmed tillräckliga skyddsavstånd behövs kunskap om jordens genomsläpplighet (hydraulisk konduktivitet). Prover på markmaterialet kan behöva tas ut, se avsnittet Markundersökningar.
För att kunna göra relevanta bedömningar av genomsläpplighet i det område som berörs, det vill säga kring avloppsanläggning och aktuella brunnar, är det dock viktigt att beakta de hydrogeologiska förutsättningarna på platsen som helhet och inte okritiskt använda sig av enstaka uppmätta värden på hydraulisk konduktivitet. För bedömning se avsnittet Siktanalys och perkolationstest.
Risken för kontaminering ökar ju snabbare och ju närmare kontaminerat grundvatten kommer den bergborrade brunnen. Riktning och gradient (lutning) på grundvattnet i jordlagren styr på detta sätt risken på liknande sätt som för grävda brunnar. För bedömning se Bestämning av grundvattnets strömningsriktning.
Om grundvattentillgången är begränsad i närområdet ökar det risken för att infiltrationsvattnet återcirkuleras till uttagsbrunnen eftersom det inte finns så mycket annat vatten att tillgå. Om grundvattentillgången är stor ökar möjligheten att infiltrationsvattnet späds ut mer innan det eventuellt når brunnen. En bedömning av grundvattentillgången för små grundvattenmagasin redovisas översiktligt i SGU:s kartvisare Grundvattentillgång i små magasin.
Risken för kontaminering styrs som diskuterats ovan mycket av de lokala geologiska egenskaperna men de kan ofta vara svåra att bestämma. Ibland kan dock närområdet ge värdefull information som kan användas för att bedöma risken för kontaminering. Några exempel:
En uppstickande berghäll mellan infiltration och brunn kan vara en fördel då den håller infiltrerat avloppsvatten borta från området nära brunnen vilket ger ökad säkerhet (Figur 2). I exemplet bör det vara större risk för kontaminering i brunnen från infiltration B än A om situationen i övrigt är likvärdig.

Figur 2. Uppstickande berg mellan avloppsanläggning och brunn ger mindre risk.
Om det finns berghällar i området kan det vara möjligt att se om det finns någon sprickriktning som dominerar och utnyttja det i bedömningen. I exemplet i figur 3 visas synliga sprickor som svarta streck. Då bör det vara större risk för kontaminering i brunnen från infiltration B än A om situationen i övrigt är likvärdig.

Figur 3. Dominerande sprickriktning i synliga berghällar kan ge ledning i vilken placering av avlopp som innebär minst risk för kontaminering. Risken är större för kontaminering i brunnen från infiltration B än A om situationen i övrigt är likvärdig.
Lokala höjdryggar och dalar kan vara ett tecken på att det finns fler eller större bergssprickor i en viss riktning. I figur 4 syns några höjdryggar som kan tyda på att det underliggande berget har mer eller större sprickor från vänster till höger (snarare än uppifrån och ner). Det bör då vara större risk för kontaminering i brunnen från infiltration A än B om situationen i övrigt är likvärdig.

Figur 4. Viss ledning om bergets sprickighet kan höjdryggar i närområdet ge. Höjdryggarna tyder på en högre sannolikhet för större sprickor i berggrunden i samma riktning (från vänster till höger, snarare än uppifrån och ner). Det bör då vara större risk för kontaminering i brunnen från infiltration A än B om situationen i övrigt är likvärdig.
Figur 5–7 illustrerar tre exempel med gradvis försämrade förhållanden. En rimlig skyddsavståndsbedömning för dessa tre fall kan vara

Figur 5. Bergborrad brunn med få riskfaktorer. Brunnen ligger tydligt högre i terrängen i förhållande till avloppet. Nivåskillnaden mellan brunnen och grundvattnet under avloppet är på rätt håll och betryggande. Bergets konduktivitet är hög (större sprickighet och god tillrinning i brunnen). Jorddjup och grundvattentillgång är betryggande. En rimlig skyddsavståndsbedömning för detta fall kan vara 30–40 m.

Figur 6. Bergborrad brunn i ett läge som balanserar mellan hög och låg risk. Brunnen ligger inte tydligt i avloppsvattnets strömningsriktning. Nivåskillnaden mellan brunnen och grundvattnet under avloppet är obetydlig. Bergets hydrauliska konduktivitet ligger någonstans mellan låg och hög (större sprickighet och god tillrinning i brunnen). Det finns ett visst jorddjup och grundvattentillgången är varken liten eller stor. En rimlig skyddsavståndsbedömning för detta fall kan vara 40–60 m.

Figur 7. Bergborrad brunn med många riskfaktorer. Brunnen ligger i avloppsvattnets strömningsriktning, jorddjupet är dåligt, nivåskillnaderna mellan brunnen och grundvattnet under avloppsanläggningen är stort och omvänt mot vad som är önskvärt. Bergets konduktivitet är låg (begränsad sprickighet och dålig tillrinning i brunnen) och grundvattentillgången i jordlagren är sparsam. En rimlig skyddsavståndsbedömning för detta fall kan vara 80–100 m.
För grävda brunnar kan en bedömning göras stegvis (Figur 8). Först görs en översiktlig bedömning av om det finns en risk för påverkan på dricksvattentäkten baserat på jordart och avstånd (påverkansområde). Ligger dricksvattentäkten inom påverkansområdet och i grundvattenflödets riktning (spridningsområde) måste en bedömning av skyddsavstånd göras som noga säkerställer att kravet om 2–3 månaders transporttid uppfylls.
Även i de fall dricksvattentäkten ligger utanför spridningsområdet så behöver bedömning göras av skyddsavstånd eftersom det finns en risk för att ett vattenuttag ändrar strömningsriktningen så att den går från avloppsanläggningen mot dricksvattenbrunnen (sänktratt). Vilka steg som utredningen behöver omfatta beror på avloppsanläggningens placering i förhållande till närliggande brunnar (Figur 8).
Steg 1 -> Steg 2-> Steg 3
Förstora bildenFigur 8. Översikt över beslutsmodell för skydd av grävda brunnar. Röd, streckad linje = nej. Grön linje = ja. Bilden ska läsas från vänster till höger.
I normalfallet får det anses säkerställt att det inte finns risk för påverkan på brunn med dricksvattenuttag för ett eller ett fåtal hushåll om det saknas brunnar inom 150 meters avstånd från avloppsutsläppet i sand, moränmark eller finkorniga jordar och inom 300 meters avstånd i grusavlagringar, se tabell 1.
Jordart | Riktvärde för potentiellt påverkansområde |
|---|---|
Sand, morän och finkorniga jordarter | 150 m |
Grusavlagringar | 300 m |
Rent grus (k-värde > 4 x 10-4 m/s) | - |
Med normalfall avses inte områden med mycket tunna jordlager. Potentiellt påverkansområde är huvudsakligen baserat på Blaschke, o.a., (2016).
Sker utsläppet i högkonduktivt grus (k-värde > 4 x 10-4 m/s) är det inte möjligt att ansätta ett rimligt potentiellt påverkansavstånd från avloppsanläggningen så länge man uppehåller sig inom samma grundvattenförekomst. Det är dock ovanligt med större utbredning av grus med sådana egenskaper. (Blaschke, o.a., 2016)
Förstora bildenFigur 9. Brunn (röd punkt) utanför potentiellt påverkansområde kräver endast steg 1, så länge som jordarten utgörs av grusavlagringar, sand, morän och liknande med en hydraulisk konduktivitet lägre än 4 x 10-4 m/s. Se även tabell 1.
Är avståndet till dricksvattentäkt längre än angivet riktvärde för potentiellt påverkansområde, se tabell 1 och figur 9, krävs ingen fortsatt utredning gällande risken för påverkan på brunn. Finns det brunnar närmare anläggningen än vad föreslagna riktvärden anger, är det viktigt att man på ett tillförlitligt sätt kan bedöma grundvattnets strömningsriktning, se steg 2.
Steg 2 syftar till att avgöra om dricksvattenbrunnen ligger inom spridningsområdet (grå zon, Figur 10), det vill säga i grundvattnets naturliga strömningsriktning. För att avgöra strömningsriktning kan det ibland krävas hydrogeologiska fältmätningar, se avsnitt Bedömning av grundvattnets naturliga strömningsriktning och bakgrundsgradient.
Spridningsområdets storlek (vinkel) kan variera beroende på bland annat grundvattenytans lutning. Stor lutning ger ett mindre spridningsområde än liten lutning. En bedömning får göras i det enskilda fallet.

Figur 10. I figuren visas exempel på en brunn (röd punkt) som efter undersökningar konstateras ligga utanför spridningsområdet (grå zon) även om den ligger inom det potentiella påverkansområdet i steg 1 (i detta exempel inom 300 m i grus med hydraulisk konduktivitet lägre än 4 x 10-4 m/s). Lokaliseringen kräver en bedömning enligt steg 3 a.

Figur 11. I figuren visas exempel på en brunn (röd punkt) som efter undersökningar konstateras ligga inom såväl spridningsområdet (grå zon) som inom det potentiella påverkansområdet (i detta exempel inom 300 m i grus med hydraulisk konduktivitet lägre än 4 x 10-4 m/s). Lokaliseringen kräver en bedömning enligt steg 3 b.
Om dricksvattenbrunnen ligger utanför spridningsområdet, se figur 10, behöver ändå en bedömning av skyddsavstånd göras. Bedömningen syftar till att utesluta risk för påverkan på grund av att grundvattnets strömningsriktning ändras vid vattenuttag, så kallad sänktratt, se steg 3a.
I det fall dricksvattenbrunnen konstateras ligga inom spridningsområdet, se figur 11, behöver en bedömning göras av om det avloppspåverkade grundvattnets transporttid till dricksvattenbrunnen uppgår till minst 2–3 månader. Transporttiden påverkas av de aktuella mark- och grundvattenförhållandena, se steg 3 b.
Vanligtvis bedöms strömningsriktning översiktligt utifrån platsens topografi kombinerat med hällkartering (översyn av synliga bergsstråk). Berg i dagen kan i regel betraktas som vattendelare som styr vattenströmningen i någon riktning.
Speciellt i genomsläppliga jordar kan man behöva anta att brunnen ligger inom spridningsområdet (grå zon) och gå vidare till bedömning av om 2–3 månaders transporttid kan garanteras, steg 3b. Exempel på områden med svårbedömd strömningsriktning är flack terräng eller områden med jordarter med grov textur (framförallt rullstensåsar) där man inte kan räkna med en strömningsriktning som följer topografin.
I grundvattenförekomster som karterats av SGU är det vanligt att strömningsriktningen redan fastställts. Informationen finns tillgänglig i SGU:s karttjänster (kartvisaren Grundvattenförekomster) och/eller i de fördjupade beskrivningar som kan laddas ned eller beställas genom Geolagret. Det är dock viktigt att förvissa sig om informationens tillämplighet för det enskilda ärendet. SGU:s grundvattenkartering har genom åren utförts i flera olika skalor. Metoderna för fastställande av strömningsriktning varierar mellan dessa skalor.
Råder det osäkerheter om grundvattnets strömningsriktning kan det krävas hydrogeologiska fältmätningar. Den sökande, eller sakkunnig som sökanden anlitar, kan göra fältmätningar av strömningsriktningar genom avvägning av nivåer. Mätningen görs med hjälp av upprättande av en så kallad hydrologisk triangel, se Bestämning av grundvattnets strömningsriktning. Det finns samtidigt möjlighet att bestämma grundvattenytans lutning (gradient), vilket också kan påverka risken för en dricksvattenbrunn.
Utförs ingen hydrogeologisk fältmätning kan fuktiga områden, nivåmätning i närliggande brunnar, utströmning av grundvatten i diken med mera ge översiktligt stöd för bedömning av grundvattenytans läge och därmed också ge underlag för skattning av gradient.
Dokumentationen av hur bedömningen av grundvattnets strömningsriktning har skett bör bifogas ansökan. Handläggaren bedömer om dokumentationen är tillräcklig för att ligga till grund för att behandla ansökan.
Steg 3 syftar till att avgöra om avloppsanläggningens tänkta lokalisering är säker i förhållande till en grävd dricksvattenbrunn. Här finns två alternativ, a och b, beroende på dricksvattenbrunnens placering:
3a När dricksvattenbrunnen ligger utanför spridningsområdet (utanför grå zon)
Här handlar det om skyddsavstånd på grund av risken för att vattenuttaget ändrar strömningsriktningen så att den går från avloppsanläggningen mot dricksvattenbrunnen (sänktratt). Skyddsavståndet gäller avståndet till såväl anläggningen som avståndet till spridningsområdet (grå zon). Se figur 10.
3b När dricksvattenbrunnen ligger inom spridningsområdet (innanför grå zon)
Här handlar det om att skyddsavståndet från avloppsutsläppet till dricksvattenbrunnen ska vara tillräckligt. Se figur 11.
Ligger dricksvattentäkten inom påverkansområdet men utanför spridningsområdet behöver man undersöka risken för att ett vattenuttag ändrar strömningsriktningen så att den går från avloppsanläggningen mot dricksvattenbrunnen (sänktratt), se figur 12.
Förstora bildenFigur 12. Vattenuttag och avloppsanläggning kan ändra grundvattnets strömningsriktning. Klicka på bilden för en större version.
I detta fall finns riktlinjer för minsta skyddsavstånd i tabell 2. Skyddsavståndet gäller avståndet till anläggningen såväl som avståndet till anläggningens spridningsområde (grå zon).
För att bedöma skyddsavstånd behövs kännedom om jordens genomsläpplighet mellan brunn och avloppsanläggningens utsläppspunkt och grundvattnets gradient, se Fastställande av hydraulisk konduktivitet. Ett skyddsavstånd på 40 m är som regel tillräckligt oavsett jord under förutsättning att detta avstånd hålls till både brunn och spridningsområde, se figur 13. Detta gäller dock inte för dricksvattenbrunnar i genomsläpplig jord och flack terräng, se avsnitt nedan.
Förstora bildenTabell 2. Riktlinjer för minsta skyddsavstånd (m) till grävda brunnar då brunnen bedöms ligga utanför avloppsanläggningens fastställda spridningsområde (grå zon) men innanför potentiellt påverkansområde. Skyddsavståndet gäller avståndet till anläggningen såväl som avståndet till anläggningens spridningsområde (grå zon). Tabellen utgår från grundvattenytans naturliga lutning (bakgrundsgradient) i kombination med genomsläppligheten i vattenförande jordlager. Observera att tätare mark kräver större skyddsavstånd. Raster i tredje kolumnen från vänster åskådliggör jordens genomsläpplighet.

Figur 13. Brunn (röd punkt) ligger utanför spridningsområdet (grå zon) och mer än 40 m från såväl avloppsanläggning som spridningsområde. Ett skyddsavstånd på 40 m är i denna situation som regel tillräckligt oavsett jord under förutsättning att detta avstånd hålls till både brunn och spridningsområde, med undantag för dricksvattenbrunnar i genomsläpplig jord och flack terräng, se tabell 2.
Av tabell 2 framgår att en låg genomsläpplighet (låg hydraulisk konduktivitet) ger längre skyddsavstånd än om jorden är mer genomsläpplig. Om genomsläppligheten är låg innebär det en förhöjd risk för påverkan på brunnen. Förklaringen till detta är att grundvattennivåerna i den lågkonduktiva jorden påverkas i högre grad av både vattenuttag från brunnen och vattentillförseln vid avloppsanläggningen. Den lågkonduktiva jorden har en låg porositet. Detta tvingar fram stora nivåförändringar i jorden när de porerna tillförs vatten eller dräneras på vatten. Därmed är risken för att vända grundvattenflödet så att brunnen suger till sig avloppsvatten högre i den lågkonduktiva jorden än i den högkonduktiva.
Om den grävda brunnen ligger i genomsläppligt material i flack terräng där det är osäkert åt vilket håll grundvattenytan lutar så befinner sig brunnen i ett riskfyllt läge. I tabell 2 hänvisas till tabell 3 för dessa situationer.
Eftersom gradienten kan vara svårbestämd och dessutom kan variera över tid finns det en fara i att anta nollgradient i genomsläppliga (högkonduktiva) jordar. Brunnen skulle då kunna befinna sig såväl inom som utanför avloppsanläggningens spridningsområde (grå zon). Man får då utgå från det mest riskfyllda läget och anta att den kommer att kunna befinna sig inom avloppsanläggningens spridningsområde.
Om den fastställda strömningsriktningen innebär att dricksvattenbrunnen finns i avloppsanläggningens spridningsområde måste det noga säkerställas att kravet om 2–3 månaders transporttid uppfylls. Detta ställer högre krav på underlag från sökanden. Tillförlitlig information krävs gällande
I regel kan merparten av den information som krävs erhållas genom provtagning och undersökning i provgropar.
En bedömning av skyddsavstånd kan göras med utgångspunkt från de platsspecifika uppgifterna om grundvattenytans lutning och jordens genomsläpplighet i avloppets strömningsriktning, se Fastställande av hydraulisk konduktivitet och Fastställande av grundvattenytans lutning. Som stöd i bedömningen kan tabell 3 användas. Tabell 3 redovisar skyddsavstånd för grävda brunnar och har beräknats med hjälp av en förenklad hydraulisk beräkningsmodell (SGU del 1, 2023).
Förstora bildenTabell 3. Riktlinjer för minsta skyddsavstånd (m) till grävda brunnar då brunn bedöms ligga inom avloppsanläggningens spridningsområde. Tabellen utgår från grundvattenytans lutning (bakgrundsgradient) i kombination med genomsläppligheten i vattenförande jordlager. Raster i tredje kolumnen från vänster åskådliggör jordens genomsläpplighet.
Generellt så är mycket hög genomsläpplighet, konduktiviteter i storleksordningen 4–5*10-4 m/s, svåra att hantera i kontexten skyddsavstånd eftersom påverkansområdet blir mycket stort.
För att kunna bedöma transporthastigheten i marken och därmed skyddsavstånd till grävda brunnar behövs kunskap om jordens genomsläpplighet (hydraulisk konduktivitet). Fastställande av hydraulisk konduktivitet kan ske med hjälp av perkolationstest, se avsnitt Perkolationstest, eller andra hydrauliska tester, exempelvis provpumpning i dricksvattenbrunn.
För att kunna göra relevanta bedömningar av genomsläpplighet i det område som berörs, det vill säga kring avloppsanläggning och aktuella brunnar, är det viktigt att beakta de hydrogeologiska förutsättningarna på platsen som helhet och inte okritiskt använda sig av enstaka uppmätta värden på hydraulisk konduktivitet.
Siktanalys är i regel inte tillräckligt eftersom det finns osäkerheter i att översätta information från siktanalys till hydraulisk konduktivitet. Uttag av prov för test av hydraulisk konduktivitet bör ske i de marklager där transporten sker snabbast (vilket kan skifta beroende på om det handlar om situation 3 a eller 3 b, jämför tabell 2 och 6.) I regel krävs ett flertal prover för att få en acceptabel bild av jordens hydrauliska egenskaper. Notera också att värden på hydraulisk konduktivitet som ska ligga till grund för bedömning av skyddsavstånd enligt den här beskrivna förenklade metoden måste representera hela zonen mellan utsläppspunkt och dricksvattenbrunn. Den rumsliga variationen i hydraulisk konduktivitet mellan avloppsanläggning och brunn kan vara betydande. Denna variation är vanligtvis en större osäkerhetsfaktor än den som uppträder på grund av osäkerheterna i själva analysen och provtagningsförfarandet.
Ett generellt förhållningssätt vid bedömning av testresultaten kan vara att utgå från ett ”worst case scenario”. Man dock behöva reflektera över om någon mätning kan ha blivit felaktig på grund av mätmetoden/mätutförandet och om ett nytt prov behöver tas ut på samma ställe.
Fastställande av grundvattenytans lutning (bakgrundsgradient) kan göras med hjälp av upprättande av en så kallad hydrologisk triangel, se Bestämning av grundvattnets strömningsriktning.
Dokumentation av hur bedömningen av transporttid har skett bör bifogas ansökan. Handläggaren bedömer om dokumentationen är tillräcklig för att ligga till grund för att behandla ansökan.
Markbaserade avloppsanläggningar måste alltid utformas med hänsyn till höga grundvattennivåer. Den dimensionerande nivån bör väljas så att kravet om en meters omättad zon uppfylls under år med normalt grundvattentillstånd. Se även Vertikalt avstånd mellan infiltrationsnivå och grundvatten.
För att underlätta projektering av små avlopp avsedda för ett eller några hushåll har SGU tagit fram en metod för beräkning av dimensionerande grundvattennivå för små avlopp, GVdim. Metoden är approximativ (ungefärlig) och endast avsedd att tillämpas i samband med byggande av små avlopp. Den ska alltså inte förväxlas med metoder för bedömning av dimensionerande grundvattennivåer i samband med till exempel infrastrukturprojekt.
Metoden bygger på att den sökande, eller den som den sökande anlitar, först genomför grundvattenobservationer i fält och sedan gör en korrektion baserat på de allmänna grundvattenförhållandena samt i förekommande fall ytterligare en korrektion för den lokala förhöjningen som kan uppstå vid infiltration av avloppsvatten.
En redogörelse för hur den dimensionerande grundvattenytan beräknats bör finnas med i en ansökan, inklusive dokumentation av provgrop/ar (se även Provgrop). Handläggaren bedömer om dokumentationen är tillräcklig för att ligga till grund för att behandla ansökan.
Metoden innefattar 6 steg:
Generellt bör undersökningar av grundvattennivå i första hand ske vid tillfällen på året då grundvattennivån kan förväntas vara nära sina högsta nivåer. När detta inträffar varierar från år till år men är också beroende på var i landet man befinner sig. Se Stora och små grundvattenmagasin.
Metoden som beskrivs i denna bilaga är tillämplig för konventionella infiltrerande tekniker dimensionerade för upp till och med 25 pe där kravet på skyddsavstånd till grundvattenytan är 1 meter. För information om markbäddar och grundvattennivåer, se avsnitt Provgrop.
Observationer av grundvattennivå bör göras i omedelbar närhet till avloppsanläggningen (inom 5 meter från platsen där anläggningen avses placeras).
Då det är svårt att med mindre grävmaskiner gräva djupare än 2-3 meter så är det inte alltid säkert att man stöter på grundvatten i provgropen. Man kan då montera ett observationsrör, fylla igen gropen och invänta högre grundvattennivåer.
En möjlighet är också att ansätta grundvattennivån i botten av gropen och på så sätt uppskatta ett värsta scenario. Man bör dock tänka på att man med all sannolikhet överskattar den dimensionerande grundvattennivån med denna metod.
Vid påträffande av berg bör bergnivån ansättas som en observerad grundvattenyta.
Grundvattennivån observeras minst två gånger med minst en veckas mellanrum. Observation kan göras med hjälp av (tillfälligt) grundvattenrör, se Anvisningar för grundvattenrör eller direkt i provgrop, se Provgrop.
Avgörande för hur grundvattennivån fluktuerar är vilken typ av magasin det handlar om; ett stort långsamtreagerande eller ett litet snabbreagerande, se tabell 1.
Magasinstyp | Egenskaper |
|---|---|
Stort långsamtreagerande magasin – främst större sammanhängande isälvsavlagringar (grus och sand) | Måttliga och förhållandevis långsamma nivåförändringar |
Litet snabbreagerande magasin - morän och finare jordarter | Stora och snabbt ombytliga nivåförändringar |
Stora magasin utgörs främst av isälvsavlagringar (och i mindre utsträckning sedimentärt berg). Isälvsavlagringarna är gröna på SGU:s jordartskartan. Stora grundvattenmagasin kan också finnas redovisade i SGU:s magasinskartering. I övriga fall bör man utgå från att man befinner sig i ett litet snabbreagerande magasin, även om jordarten är sandig eller grusig, t.ex. vid infiltration i svallgrus. Notera att i anslutning till stora magasin som karterats av SGU kan även små grundvattenmagasin finnas överlagrade över det större magasinet (med tätande jordlager mellan). Att anläggningsplatsen ligger inom begränsningslinjerna för ett större grundvattenmagasin betyder inte nödvändigtvis att den kommer att ha direktkontakt med det större magasinet. I osäkra fall rekommenderas att man utgår ifrån att det rör sig om ett litet magasin. Se även Stora och små grundvattenmagasin.
Grundvattnets fyllnadsgrad vid tidpunkten för observationen av grundvattennivån kan hämtas från SGU:s webbplats (www.sgu.se). I verktyget Kartvisare och diagram för beräknade nivåer så redovisas beräknad fyllnadsgrad i rutor om 4x4 km över hela landet. I detta verktyg kan man genom att markera en position på kartbilden få detaljerad information om både nuläge och historik avseende beräknad fyllnadsgrad i såväl stora som små magasin på den aktuella platsen (Figur 1). Valet av vilken magasinstyp man är intresserad av görs i menyn uppe till vänster. Notera att uppgifter om fyllnadsgrad i stora magasin endast erbjuds i områden där SGU bedömer att sådana förekommer. (SGU del 2, 2023)

Figur 1. Utsnitt från SGU:s verktyg Kartvisare och diagram för beräknade nivåer där beräknad fyllnadsgrad kan hämtas för olika områden och tidpunkter.
Korrektionen för avläsning vid låga nivåer görs genom att addera ett tillägg (FHmag) som beror på den aktuella fyllnadsgraden vid tillfället för avläsning av grundvattennivån. Tillägget erhålls ur Tabell 2. Tabellen har tagits fram av SGU och är baserad på modelldata och statistik från SGU:s långvariga grundvattenövervakning. FHmag har anpassats för att den dimensionerande grundvattennivån inte frekvent ska underskattas. Statistiskt sett är tabellen utformad så att tillägget är tillräckligt stort att ge en godtagbar dimensionerande nivån för 75% av de platser som ingår i SGU:s övervakning. I praktiken betyder det samtidigt att förhöjningen överskattas för många platser. (SGU del 2, 2023)
Det finns stora fördelar med att bestämning av grundvattennivå görs vid en tidpunkt då fyllnadsgraden i magasinet är hög. Då blir påslaget lägre och man får en större säkerhet i projekteringen.

Tabell 2. Grundvattnets nivåförhöjning FHmag vid olika fyllnadsgrad. Kompensation för observation vid låg fyllnadsgrad
Vid infiltration av avloppsvatten kan även en lokal förhöjning av grundvattennivån (FH inf) uppstå under anläggningen. För att säkerställa att kravet på omättad zon uppfylls är det angeläget att man uppskattar hur kraftig den lokala förhöjningen blir.
Generellt så är höjningen försumbar i grövre jordarter (inom fält A) men den kan vara av avgörande betydelse i finare, speciellt vid tunna jordlager. (Finnemore, 1993) Se figur 2.

Figur 2 Principskiss för grundvattennivåns förhöjning i olika jordarter.
Jordens förmåga att leda vatten i marken kommer i stor utsträckning att bestämma hur mycket grundvattennivån rakt under infiltrationsanläggningen kommer att höjas. Markens vattengenomsläpplighet (hydrauliska konduktivitet) kan uttryckas genom det så kallade k-värdet, se avsnittet Perkolationstest och siktanalys.
Även tjockleken på det grundvattenförande lagret under infiltration är av avgörande betydelse. Sambandet mellan lokal förhöjning under infiltrationen och det grundvattenförande lagrets tjocklek vid olika k-värden anges i figur 3.

Figur 3. Grundvattennivåns förhöjning (FHinf ) som funktion av grundvattenförande lagrets tjocklek vid några olika k-värden. Kurvorna är beräknade baserat på metod beskriven av Finnemore (Finnemore, 1993). Utgångspunkten har varit en infiltrationsanläggning som varit i drift i 10 år och som har ytan 2 x 17 meter och en belastning av 30 liter/kvm d. Det är den hydrauliska konduktiviteten som ger störst utslag i beräkningarna av förhöjningen. Övriga parametrar har mycket liten påverkan. (SGU, 2018)

Figur 4. Principskiss över grundvattenförande lager.
Bedömning av lokal förhöjning FH inf görs med utgångspunkt från beräknad högsta nivå i grundvattenmagasinet (resultatet av steg 4). Först ansätts det grundvattenförande lagrets tjocklek som avståndet mellan berg (eller tätt jordlager) och den beräknade högsta nivån i magasinet. Därefter bedöms jordens hydrauliska konduktivitet och den lokala förhöjningen avläses ur figur 3. Vid jordarter inom fält A (se Perkolationstest och siktanalys) behöver inte särskild hänsyn tas till förhöjningen på grund av infiltration.
Ibland saknas uppgift om avstånd till berg eller tätt jordlager eller uppgift om k-värde. I dessa fall får sökanden, eller den som sökanden anlitar för projektering, göra rimliga ansatser och bedöma utfallet, till exempel börja med att ansätta berg i botten av provgropen och utgå ifrån att det är ett lågt k-värde för att se om den dimensionerande grundvattennivån under sådana förhållanden får konsekvenser för projekteringen.. Behöver man gå vidare kan man som stöd för en bedömning av avstånd till berg använda sig av SGU:s jorddjupsmodell eller göra en fördjupad provgrop. Det kan också bli aktuellt att göra ett perkolationsprov eller en siktanalys för att bestämma den hydrauliska konduktiviteten. Uttag av prover för detta ändamål bör ske i de jordlager under planerad infiltrationsnivå som har lägst genomsläpplighet. Se avsnitt Perkolationstest och siktanalys
För anläggningar dimensionerade för mer än ett eller några hushåll kan förhöjningen bli betydligt större än för en anläggning för ett hushåll, varför inrättandet av en sådan anläggning behöver föregås av en noggrann projektering och utredning av grundvattennivåer.
Slutligen beräknas den dimensionerande grundvattennivå GVdim genom att addera resultaten från steg 4 och 5 till den observerade nivån:
GVdim = GVobs + FH mag + FHinf
| Definition | Kommentar |
|---|---|---|
GVdim
| Dimensionerande grundvattennivå för små avlopp. Utifrån denna nivå bör infiltrationen projekteras och byggas. Anges i meter från befintlig markyta. (gäller för konventionella infiltrationer <25 pe) | Befintlig markyta fungerar som referensnivå (nollnivå). GVdim blir därmed i allmänhet negativt och anger avståndet från markytan ner till dimensionerande grundvattennivå. Positiva värden på GVdim innebär att dimensionerande grundvattenyta beräknats till en nivå ovan markytan. Detta indikerar att det kan finnas tidpunkter på året då grundvattennivån ligger mycket nära eller t.o.m. över markytan. (Observera dock att för dimensionerande magasinsnivå som beräknas i länsstyrelsens GIS-stöd har man vänt på detta så att negativa nivåer motsvarar nivåer ovan mark.) |
GVobs | Observerad grundvattennivå, meter under befintlig markyta | Bestäms genom minst två observationer i grundvattenrör eller provgrop med minst 1 veckas mellanrum (se Steg 1), företrädesvis vid en tidpunkt då grundvattennivåerna allmänt är höga. Befintlig markyta anges som nollnivå och GVobs blir därmed ett negativt värde under mark. (Observera att det omvända gäller i länsstyrelsens GIS-stöd.) |
FHmag | Grundvattnets förhöjning (m) som en funktion av magasinets fyllnadsgrad | FHmag hämtas ur tabell 2 (se Steg 4) där fyllnadsgrad kan hämtas från SGU:s webbplats (www.sgu.se) i verktyget Kartvisare och diagram för beräknade nivåer. |
FHinf | Grundvattnets lokala förhöjning (m) under infiltrationen som en funktion av den hydrauliska konduktiviteten (K-värde) och det grundvattenförande lagrets tjocklek.
| FHinf hämtas ur figur 3 (se Steg 5). K-värdet är avhängigt resultatet av siktanalys/ perkolationsprov. Se Siktanalys och perkolationsprov. Som grundvattenförande lagers tjocklek ansätts avståndet mellan observerat berg (eller tätt jordlager) och beräknad högsta grundvattennivå i magasinet. Vid jordart inom fält A behöver ingen hänsyn tas till FHinf. |
Redovisning av bedömning av dimensionerande grundvattenyta inklusive underlagen, bör bifogas en ansökan. Handläggaren bedömer om underlaget är tillräckligt för att ansökan ska kunna behandlas.
Specialfallet då berg konstateras i en provgrop är problematisk, speciellt om berg påträffas nära gränsen på 1 meter under spridningsytan. I praktiken får det anses troligt att grundvattennivån kommer att uppträda ovan bergytan i dessa fall. Avloppsanläggningen kommer också kontinuerligt att tillföra vatten till marken ovan berget. Ett poröst och sprickigt berg kan eventuellt ta emot detta men är det underliggande berget tätt så kommer nivån att stiga i samband med att vattnet avleds horisontellt. Beroende på bergets utbredning, topografi, eventuella trösklar m.m. kan denna avrinning också hindras.
Grundvattennivåns stigning under en avloppsanläggning är starkt beroende av det grundvattenbärande lagrets tjocklek samt konduktiviteten i jorden. I specialfallet med berg direkt efter en meter omättad zon är det grundvattenbärande lagret till en början obetydligt vilket bör framtvinga en betydande stigning av grundvattennivån direkt under anläggningen. Jordens konduktivitet blir också avgörande för stigningen. Det är därför sannolikt att kravet på 1 meter omättad zon inte kommer uppfyllas om berg påträffas nära en meter under tilltänkt infiltrationsnivå.
Vid projekteringen av en infiltration under beskrivna förhållande (kort avstånd till berg och framförallt täta jordarter) måste risken för kraftig lokal förhöjning och även ytlig uppträngning noga beaktas. En ansökan kan behöva innehålla tydlig dokumentation av materialets genomsläpplighet – perkolationsprov eller liknande, samt en bedömning av risken för ytuppträngning. Man kan behöva göra ytterligare provgropar för att undersöka jordlagrens horisontella utbredning för att säkerställa att det renade spillvattnet kan avrinna utan ytuppträngning. Finns det uppenbara risker för problem med avrinning av vatten bör markbäddskonstruktion övervägas. Se Hydrogeologisk utredning och Provgrop. (SGU, 2018) (SGU, 2018)
Nedan följer några beräkningsexempel för att illustrera hur beräkningen sker i praktiken och vad konsekvensen kan bli. Beräkningsexemplen avser anläggningar avsedda för ett eller ett fåtal hushåll där avstånd till grundvattenytan bör uppgå till minst 1 m.

Steg 1 - observation av grundvattennivå
Grundvattennivån observeras vid två tillfällen med en vecka emellan. Den ligger vid båda tillfällena på 2,3 m under befintlig markyta.
Steg 2 - jordart, magasinstyp och fyllnadsgrad
På jordartskartan anges området som isälvsavlagring (grönt). Magasinet är alltså ett stort långsamreagerande magasin. Siktanalysen visar att det är en grovsand.
SGU:s verktyg Kartvisare och diagram för beräknade nivåer anger 90% fyllnadsgrad vid tidpunkten för nivåobservationerna.
Steg 3 – beräkning av nivåhöjning pga. av fluktuationer över tid, FHmag
Vi avläser i diagrammet att 0,8 meter behöver läggas till till den observerade grundvattennivån.

Tabell 2. Grundvattnets nivåförhöjning FHmag vid olika fyllnadsgrad. Kompensation för observation vid låg fyllnadsgrad
Steg 4 - beräkning av den lokala nivåhöjningen pga. infiltration, FH inf
Siktanalysen har visat att det är en grovsand inom fält A. Inget tillägg FH inf behöver göras.
Steg 5 - beräkning av GVdim
Den dimensionerande grundvattenytan beräknas sålunda ligga 1,5 meter under befintlig markyta. Anläggningen bör därför projekteras så att infiltrationsnivån inte ligger djupare än 0,5 meter under befintlig markyta.

Steg 1 - observation av grundvattennivå
Grundvattennivån observeras vid två tillfällen med en vecka emellan. Den ligger på 1,5 meter vid ena tillfället och 1,6 m under befintlig markyta vid andra tillfället. Den högsta nivån väljs som utgångsvärde. Provgropen är tämligen grund, 2 m.
Steg 2 – jordart, magasinstyp och fyllnadsgrad
Magasinet är ett litet magasin. I detta fall har den sökande låtit göra både siktanalys och perkolationsprov. Siktanalysen visar att det är en grusig morän inom fält B. Det lägsta värdet på konduktivitet utifrån perkolationsproverna är 10 -6 m/s
SGU:s verktyg Kartvisare och diagram för beräknade nivåer anger 50% fyllnadsgrad vid tidpunkten för nivåobservationerna.
Steg 3 - beräkning av nivåhöjning pga. av fluktuationer över tid, FHmag
Vi avläser i diagrammet att ca 1 meter behöver läggas till till grundvattennivån som kompensation för att fyllnadsgraden bara var 50% när den högsta grundvattennivån 1,5 m under markytan observerades.

Tabell 2. Grundvattnets nivåförhöjning FHmag vid olika fyllnadsgrad. Kompensation för observation vid låg fyllnadsgrad
Steg 4 - beräkning av den lokala nivåhöjningen pga. infiltration, FH inf
Moräner | K-värde m/s |
|---|---|
Grusig morän | 10-5 - 10-7 |
Sandig morän | 10-6 - 10-8 |
Siltig morän | 10-7 - 10-9 |
Siktanalysen har visat att det är en grusig morän. K-värdet för grusig morän är ungefärligen ca 10-5 - 10-7 m/s. Resultatet av perkolationsproverna som tagits ut ligger i samma storleksordning, med ett lägsta värde på 10-6 m/s.
Det grundvattenförande lagret är åtminstone 2 - 1,50 = 50 cm, plus FHmag som fastställts till 1 m vilket blir 1,5 m.
Av diagrammet nedan framgår att FH inf ligger på minst 1,1 m utifrån tillgänglig data.
Steg 5 - beräkning av GVdim

Värdet blev positivt vilket indikerar att detta är en plats där det finns en risk för att det periodvis blir så höga grundvattennivåer att grundvattnet ligger i närheten av markytan. Exempel på några handlingsalternativ:
Exempel 3: 2 meter djup provgrop i sandig morän, inget berg, 10% fyllnadsgrad, ingen grundvattenyta lokaliserad.

Steg 1 - observation i provgrop
Provgropen observeras vid två tillfällen med en vecka emellan. Ingen grundvattenyta observeras.
Steg 2 - jordart, magasinstyp och fyllnadsgrad
Siktanalysen visar att det är en sandig morän. Magasinet är ett litet snabbreagerande magasin.
SGU:s verktyg Kartvisare och diagram för beräknade nivåer anger 10% fyllnadsgrad vid tidpunkten för nivåobservationerna.
Steg 3 – beräkning av nivåhöjning på grund av av fluktuationer över tid, FHmag
Vi avläser i diagrammet att 1,7 meter behöver läggas till till den observerade grundvattennivån. Men eftersom ingen grundvattennivå kunnat observeras så ansätts botten på gropen till observerad grundvattennivå, 2 m.

Tabell 2. Grundvattnets nivåförhöjning FHmag vid olika fyllnadsgrad. Kompensation för observation vid låg fyllnadsgrad.
Steg 4 - beräkning av den lokala nivåhöjningen på grund av infiltration, FH inf
Siktanalysen har visat att det är en sandig morän med delar av siktkurvan inom fält B. Tillägg FH inf behöver därmed göras.
K-värden | |
Moräner | K-värde m/s |
Grusig morän | 10-5 - 10-7 |
Sandig morän | 10-6 - 10-8 |
Siltig morän | 10-7 - 10-9 |
Siktanalysen har visat att det är en sandig morän. K-värdet för sandig morän är ungefärligen ca 10-6 - 10-8 m/s. Resultatet av perkolationsproverna som tagits ut ligger i samma storleksordning, med ett lägsta värde på 10-6 m/s.
För att beräkna FHinf ansätts det grundvattenförande lagrets tjocklek som avståndet mellan berg (eller tätt jordlager) och den beräknade högsta nivån i magasinet. Eftersom ingen grundvattennivå kunnat observeras så ansätts botten på gropen till observerad grundvattennivå, 2 m. FHmag är beräknad till 1,7.meter.

Det grundvattenförande lagret är åtminstone FHmag = 1,7 m. Vad som finns under botten på provgropen har vi ingen kännedom om eftersom vi inte vet var grundvattenytan ligger.
Av diagrammet nedan framgår att FH inf kan uppskattas till 1 m utifrån tillgänglig data.

Steg 5 - beräkning av GVdim

Den dimensionerande grundvattenytan beräknas sålunda ligga 0,7 meter över befintlig markyta.
Värdet blev positivt vilket indikerar att detta är en plats där det finns en risk för att det periodvis blir så höga grundvattennivåer att grundvattnet ligger i närheten av markytan, men beräkningen är sannolikt inte representativ för förhållandena vid en högre fyllnadsgrad i magasinet. Man bör alltid göra en rimlighetsbedömning av det beräknade resultatet med utgångspunkt från lokala förhållanden.
Exempel på några handlingsalternativ